• 文献检索
  • 文档翻译
  • 深度研究
  • 学术资讯
  • Suppr Zotero 插件Zotero 插件
  • 邀请有礼
  • 套餐&价格
  • 历史记录
应用&插件
Suppr Zotero 插件Zotero 插件浏览器插件Mac 客户端Windows 客户端微信小程序
定价
高级版会员购买积分包购买API积分包
服务
文献检索文档翻译深度研究API 文档MCP 服务
关于我们
关于 Suppr公司介绍联系我们用户协议隐私条款
关注我们

Suppr 超能文献

核心技术专利:CN118964589B侵权必究
粤ICP备2023148730 号-1Suppr @ 2026

文献检索

告别复杂PubMed语法,用中文像聊天一样搜索,搜遍4000万医学文献。AI智能推荐,让科研检索更轻松。

立即免费搜索

文件翻译

保留排版,准确专业,支持PDF/Word/PPT等文件格式,支持 12+语言互译。

免费翻译文档

深度研究

AI帮你快速写综述,25分钟生成高质量综述,智能提取关键信息,辅助科研写作。

立即免费体验

采用同位素稀释液相色谱串联质谱法快速准确测定血清支链和芳香族氨基酸

Rapid and precise measurement of serum branched-chain and aromatic amino acids by isotope dilution liquid chromatography tandem mass spectrometry.

作者信息

Yang Ruiyue, Dong Jun, Guo Hanbang, Li Hongxia, Wang Shu, Zhao Haijian, Zhou Weiyan, Yu Songlin, Wang Mo, Chen Wenxiang

机构信息

The Key Laboratory of Geriatrics, Beijing Hospital and Beijing Institute of Geriatrics, Ministry of Health, Beijing, China.

出版信息

PLoS One. 2013 Dec 5;8(12):e81144. doi: 10.1371/journal.pone.0081144. eCollection 2013.

DOI:10.1371/journal.pone.0081144
PMID:24339906
原文链接:https://pmc.ncbi.nlm.nih.gov/articles/PMC3855216/
Abstract

BACKGROUND

Serum branched-chain and aromatic amino acids (BCAAs and AAAs) have emerged as predictors for the future development of diabetes and may aid in diabetes risk assessment. However, the current methods for the analysis of such amino acids in biological samples are time consuming.

METHODS

An isotope dilution liquid chromatography tandem mass spectrometry (ID-LC/MS/MS) method for serum BCAAs and AAAs was developed. The serum was mixed with isotope-labeled BCAA and AAA internal standards and the amino acids were extracted with acetonitrile, followed by analysis using LC/MS/MS. The LC separation was performed on a reversed-phase C18 column, and the MS/MS detection was performed via the positive electronic spray ionization in multiple reaction monitoring mode.

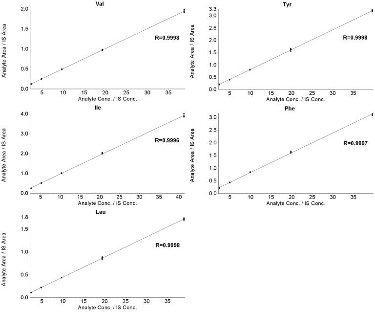
RESULTS

Specific analysis of the amino acids was achieved within 2 min. Intra-run and total CVs for the amino acids were less than 2% and 4%, respectively, and the analytical recoveries ranged from 99.6 to 103.6%.

CONCLUSION

A rapid and precise method for the measurement of serum BCAAs and AAAs was developed and may serve as a quick tool for screening serum BCAAs and AAAs in studies assessing diabetes risk.

摘要

背景

血清支链氨基酸和芳香族氨基酸(BCAAs和AAAs)已成为糖尿病未来发展的预测指标,可能有助于糖尿病风险评估。然而,目前分析生物样品中此类氨基酸的方法耗时较长。

方法

建立了一种用于血清BCAAs和AAAs的同位素稀释液相色谱串联质谱(ID-LC/MS/MS)方法。将血清与同位素标记的BCAA和AAA内标混合,用乙腈提取氨基酸,然后用LC/MS/MS进行分析。LC分离在反相C18柱上进行,MS/MS检测通过正电喷雾电离在多反应监测模式下进行。

结果

在2分钟内实现了对氨基酸的特异性分析。氨基酸的批内和总变异系数分别小于2%和4%,分析回收率在99.6%至103.(此处原文可能有误,推测应为103.6%)6%之间。

结论

开发了一种快速、精确测量血清BCAAs和AAAs的方法,可作为在评估糖尿病风险的研究中筛查血清BCAAs和AAAs的快速工具。

https://cdn.ncbi.nlm.nih.gov/pmc/blobs/71a3/3855216/1f2f2e4bdd10/pone.0081144.g004.jpg
https://cdn.ncbi.nlm.nih.gov/pmc/blobs/71a3/3855216/43384733a298/pone.0081144.g001.jpg
https://cdn.ncbi.nlm.nih.gov/pmc/blobs/71a3/3855216/7fac7cac49bf/pone.0081144.g002.jpg
https://cdn.ncbi.nlm.nih.gov/pmc/blobs/71a3/3855216/e34625c09a9e/pone.0081144.g003.jpg
https://cdn.ncbi.nlm.nih.gov/pmc/blobs/71a3/3855216/1f2f2e4bdd10/pone.0081144.g004.jpg
https://cdn.ncbi.nlm.nih.gov/pmc/blobs/71a3/3855216/43384733a298/pone.0081144.g001.jpg
https://cdn.ncbi.nlm.nih.gov/pmc/blobs/71a3/3855216/7fac7cac49bf/pone.0081144.g002.jpg
https://cdn.ncbi.nlm.nih.gov/pmc/blobs/71a3/3855216/e34625c09a9e/pone.0081144.g003.jpg
https://cdn.ncbi.nlm.nih.gov/pmc/blobs/71a3/3855216/1f2f2e4bdd10/pone.0081144.g004.jpg

相似文献

1
Rapid and precise measurement of serum branched-chain and aromatic amino acids by isotope dilution liquid chromatography tandem mass spectrometry.采用同位素稀释液相色谱串联质谱法快速准确测定血清支链和芳香族氨基酸
PLoS One. 2013 Dec 5;8(12):e81144. doi: 10.1371/journal.pone.0081144. eCollection 2013.
2
LC-MS/MS-based bioanalysis of branched-chain and aromatic amino acids in human serum.基于 LC-MS/MS 的人血清中支链和芳香族氨基酸的生物分析。
Bioanalysis. 2024;16(13):693-704. doi: 10.1080/17576180.2024.2387467. Epub 2024 Aug 19.
3
Branched chain and aromatic amino acids change acutely following two medical therapies for type 2 diabetes mellitus.支链氨基酸和芳香族氨基酸在两种 2 型糖尿病的医学疗法后会急剧变化。
Metabolism. 2013 Dec;62(12):1772-8. doi: 10.1016/j.metabol.2013.07.003. Epub 2013 Aug 15.
4
Development and validation of a simple LC-MS/MS method for the simultaneous quantitative determination of trimethylamine-N-oxide and branched chain amino acids in human serum.建立并验证一种简单的 LC-MS/MS 方法,用于同时定量测定人血清中的氧化三甲胺和支链氨基酸。
Anal Bioanal Chem. 2019 Feb;411(5):1019-1028. doi: 10.1007/s00216-018-1522-8. Epub 2018 Dec 15.
5
Plasma branched chain/aromatic amino acids, enriched Mediterranean diet and risk of type 2 diabetes: case-cohort study within the PREDIMED Trial.血浆支链/芳香族氨基酸、富含地中海饮食与 2 型糖尿病风险:PREDIMED 试验中的病例-队列研究。
Diabetologia. 2018 Jul;61(7):1560-1571. doi: 10.1007/s00125-018-4611-5. Epub 2018 Apr 16.
6
A novel liquid chromatography tandem mass spectrometry method for simultaneous determination of branched-chain amino acids and branched-chain α-keto acids in human plasma.一种同时测定人血浆中支链氨基酸和支链α-酮酸的新型液相色谱串联质谱法。
Amino Acids. 2016 Jun;48(6):1523-32. doi: 10.1007/s00726-016-2212-5. Epub 2016 Mar 16.
7
Simultaneous quantification of cardiovascular disease related metabolic risk factors using liquid chromatography tandem mass spectrometry in human serum.使用液相色谱串联质谱法同时定量检测人血清中与心血管疾病相关的代谢风险因素。
J Chromatogr B Analyt Technol Biomed Life Sci. 2016 Jan 15;1009-1010:144-51. doi: 10.1016/j.jchromb.2015.12.019. Epub 2015 Dec 12.
8
Branched-chain and aromatic amino acids and cardiometabolic risk in Black African and Asian Indian populations.支链和芳香族氨基酸与黑非洲和亚洲印度人群的心血管代谢风险。
Metabolomics. 2020 Oct 8;16(10):108. doi: 10.1007/s11306-020-01734-7.
9
An improved ultra performance liquid chromatography-tandem mass spectrometry method for the determination of alloisoleucine and branched chain amino acids in dried blood samples.一种改良的超高效液相色谱-串联质谱法,用于测定干血样中的异亮氨酸和支链氨基酸。
Ann Clin Biochem. 2011 Sep;48(Pt 5):468-70. doi: 10.1258/acb.2011.010283. Epub 2011 Jul 20.
10
Quantification of Branched-Chain Amino Acids in Plasma by High-Performance Liquid Chromatography-Tandem Mass Spectrometry (LC-MS/MS).采用高效液相色谱-串联质谱法(LC-MS/MS)定量检测血浆中的支链氨基酸。
Methods Mol Biol. 2022;2546:65-81. doi: 10.1007/978-1-0716-2565-1_7.

引用本文的文献

1
LC-MS/MS-based bioanalysis of branched-chain and aromatic amino acids in human serum.基于 LC-MS/MS 的人血清中支链和芳香族氨基酸的生物分析。
Bioanalysis. 2024;16(13):693-704. doi: 10.1080/17576180.2024.2387467. Epub 2024 Aug 19.
2
Simultaneous quantitation of multiple myeloma related dietary metabolites in serum using HILIC-LC-MS/MS.使用亲水相互作用液相色谱-串联质谱法同时定量血清中与多发性骨髓瘤相关的膳食代谢物。
Food Nutr Res. 2023 Jul 28;67. doi: 10.29219/fnr.v67.9135. eCollection 2023.
3
Quantification of Branched-Chain Amino Acids in Plasma by High-Performance Liquid Chromatography-Tandem Mass Spectrometry (LC-MS/MS).

本文引用的文献

1
Insulin resistance and the metabolism of branched-chain amino acids.胰岛素抵抗与支链氨基酸代谢。
Front Med. 2013 Mar;7(1):53-9. doi: 10.1007/s11684-013-0255-5. Epub 2013 Feb 6.
2
Branched-chain and aromatic amino acids are predictors of insulin resistance in young adults.支链氨基酸和芳香族氨基酸是年轻人胰岛素抵抗的预测因子。
Diabetes Care. 2013 Mar;36(3):648-55. doi: 10.2337/dc12-0895. Epub 2012 Nov 5.
3
Interplay between lipids and branched-chain amino acids in development of insulin resistance.脂质和支链氨基酸在胰岛素抵抗发展中的相互作用。
采用高效液相色谱-串联质谱法(LC-MS/MS)定量检测血浆中的支链氨基酸。
Methods Mol Biol. 2022;2546:65-81. doi: 10.1007/978-1-0716-2565-1_7.
4
Design, methods and baseline characteristics of the Beijing Hospital Atherosclerosis Study: a prospective dynamic cohort study.北京医院动脉粥样硬化研究的设计、方法及基线特征:一项前瞻性动态队列研究
Ann Transl Med. 2022 Jul;10(14):790. doi: 10.21037/atm-22-2834.
5
Oral administration of branched-chain amino acids ameliorates high-fat diet-induced metabolic-associated fatty liver disease gut microbiota-associated mechanisms.口服支链氨基酸可改善高脂饮食诱导的代谢相关脂肪性肝病及肠道微生物群相关机制。
Front Microbiol. 2022 Jul 22;13:920277. doi: 10.3389/fmicb.2022.920277. eCollection 2022.
6
The Role of Branched-Chain Amino Acids and Branched-Chain α-Keto Acid Dehydrogenase Kinase in Metabolic Disorders.支链氨基酸和支链α-酮酸脱氢酶激酶在代谢紊乱中的作用
Front Nutr. 2022 Jul 18;9:932670. doi: 10.3389/fnut.2022.932670. eCollection 2022.
7
A rapid LC-MS/MS assay for detection and monitoring of underivatized branched-chain amino acids in maple syrup urine disease.一种用于检测和监测枫糖尿症中未衍生化支链氨基酸的快速液相色谱-串联质谱分析法。
J Mass Spectrom Adv Clin Lab. 2022 Apr 30;24:107-117. doi: 10.1016/j.jmsacl.2022.04.003. eCollection 2022 Apr.
8
Dietary Branched-Chain Amino Acids (BCAAs) and Risk of Dyslipidemia in a Chinese Population.饮食中支链氨基酸(BCAAs)与中国人血脂异常风险的关系。
Nutrients. 2022 Apr 27;14(9):1824. doi: 10.3390/nu14091824.
9
Development of a human insulin certified reference material with SI-traceable purity.具有国际单位制(SI)可溯源纯度的人胰岛素标准物质的研制。
Anal Bioanal Chem. 2022 May;414(11):3443-3457. doi: 10.1007/s00216-022-03965-0. Epub 2022 Feb 24.
10
Determination of Branched-Chain Amino Acids in Food Supplements and Human Plasma by a CE-MS/MS Method with Enhanced Resolution.采用 CE-MS/MS 方法测定食品补充剂和人血浆中的支链氨基酸,分辨率增强。
Int J Mol Sci. 2021 Jul 31;22(15):8261. doi: 10.3390/ijms22158261.
Cell Metab. 2012 May 2;15(5):606-14. doi: 10.1016/j.cmet.2012.01.024.
4
A novel and precise method for simultaneous measurement of serum HDL and LDL subfractions and lipoprotein (a) cholesterol by ultracentrifugation and high-performance liquid chromatography.一种新颖而精确的超速离心和高效液相色谱法同时测定血清高密度脂蛋白和低密度脂蛋白亚组分及脂蛋白(a)胆固醇的方法。
Clin Chim Acta. 2012 Jul 11;413(13-14):1071-6. doi: 10.1016/j.cca.2012.02.022. Epub 2012 Mar 3.
5
Branched-chain amino acid levels are associated with improvement in insulin resistance with weight loss.支链氨基酸水平与体重减轻引起的胰岛素抵抗改善有关。
Diabetologia. 2012 Feb;55(2):321-30. doi: 10.1007/s00125-011-2356-5. Epub 2011 Nov 8.
6
Optically Gated Capillary Electrophoresis of o-Phthalaldehyde/β-Mercaptoethanol Derivatives of Amino Acids for Chemical Monitoring.用于化学监测的氨基酸邻苯二甲醛/β-巯基乙醇衍生物的光控毛细管电泳
Anal Chem. 1998 Oct 1;70(19):4015-22. doi: 10.1021/ac980324u.
7
Globalization of diabetes: the role of diet, lifestyle, and genes.糖尿病的全球化:饮食、生活方式和基因的作用。
Diabetes Care. 2011 Jun;34(6):1249-57. doi: 10.2337/dc11-0442.
8
Differential metabolic impact of gastric bypass surgery versus dietary intervention in obese diabetic subjects despite identical weight loss.尽管肥胖糖尿病患者接受胃旁路手术和饮食干预后的体重减轻相同,但胃旁路手术与饮食干预对代谢的影响存在差异。
Sci Transl Med. 2011 Apr 27;3(80):80re2. doi: 10.1126/scitranslmed.3002043.
9
Metabolite profiles and the risk of developing diabetes.代谢产物谱与糖尿病发病风险。
Nat Med. 2011 Apr;17(4):448-53. doi: 10.1038/nm.2307. Epub 2011 Mar 20.
10
Multi-tissue, selective PPARγ modulation of insulin sensitivity and metabolic pathways in obese rats.肥胖大鼠胰岛素敏感性和代谢途径的多组织、选择性 PPARγ 调节。
Am J Physiol Endocrinol Metab. 2011 Jan;300(1):E164-74. doi: 10.1152/ajpendo.00219.2010. Epub 2010 Oct 19.