Suppr超能文献

DNA 甲基化,神经退行性疾病背后的一只手。

DNA methylation, a hand behind neurodegenerative diseases.

机构信息

School of Life Science, Beijing Institute of Technology Beijing, China.

出版信息

Front Aging Neurosci. 2013 Dec 5;5:85. doi: 10.3389/fnagi.2013.00085.

Abstract

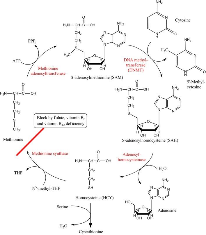
Epigenetic alterations represent a sort of functional modifications related to the genome that are not responsible for changes in the nucleotide sequence. DNA methylation is one of such epigenetic modifications that have been studied intensively for the past several decades. The transfer of a methyl group to the 5 position of a cytosine is the key feature of DNA methylation. A simple change as such can be caused by a variety of factors, which can be the cause of many serious diseases including several neurodegenerative diseases. In this review, we have reviewed and summarized recent progress regarding DNA methylation in four major neurodegenerative diseases: Alzheimer's disease (AD), Parkinson's disease (PD), Huntington's disease (HD), and amyotrophic lateral sclerosis (ALS). The studies of these four major neurodegenerative diseases conclude the strong suggestion of the important role DNA methylation plays in these diseases. However, each of these diseases has not yet been understood completely as details in some areas remain unclear, and will be investigated in future studies. We hope this review can provide new insights into the understanding of neurodegenerative diseases from the epigenetic perspective.

摘要

表观遗传改变是一种与基因组相关的功能修饰,不负责核苷酸序列的变化。DNA 甲基化是一种表观遗传修饰,在过去几十年中得到了深入研究。向胞嘧啶的 5 位转移一个甲基基团是 DNA 甲基化的关键特征。这样一个简单的变化可能是由多种因素引起的,这些因素可能是包括几种神经退行性疾病在内的许多严重疾病的原因。在这篇综述中,我们回顾和总结了 DNA 甲基化在四大神经退行性疾病中的最新进展:阿尔茨海默病(AD)、帕金森病(PD)、亨廷顿病(HD)和肌萎缩侧索硬化症(ALS)。对这四种主要神经退行性疾病的研究得出了强有力的结论,即 DNA 甲基化在这些疾病中起着重要作用。然而,这些疾病中的每一种都还没有被完全理解,因为在某些领域的细节仍不清楚,这将在未来的研究中进行调查。我们希望这篇综述能从表观遗传学的角度为理解神经退行性疾病提供新的见解。

https://cdn.ncbi.nlm.nih.gov/pmc/blobs/3472/3851782/eaf6a3349216/fnagi-05-00085-g0001.jpg

文献检索

告别复杂PubMed语法,用中文像聊天一样搜索,搜遍4000万医学文献。AI智能推荐,让科研检索更轻松。

立即免费搜索

文件翻译

保留排版,准确专业,支持PDF/Word/PPT等文件格式,支持 12+语言互译。

免费翻译文档

深度研究

AI帮你快速写综述,25分钟生成高质量综述,智能提取关键信息,辅助科研写作。

立即免费体验