• 文献检索
  • 文档翻译
  • 深度研究
  • 学术资讯
  • Suppr Zotero 插件Zotero 插件
  • 邀请有礼
  • 套餐&价格
  • 历史记录
应用&插件
Suppr Zotero 插件Zotero 插件浏览器插件Mac 客户端Windows 客户端微信小程序
定价
高级版会员购买积分包购买API积分包
服务
文献检索文档翻译深度研究API 文档MCP 服务
关于我们
关于 Suppr公司介绍联系我们用户协议隐私条款
关注我们

Suppr 超能文献

核心技术专利:CN118964589B侵权必究
粤ICP备2023148730 号-1Suppr @ 2026

文献检索

告别复杂PubMed语法,用中文像聊天一样搜索,搜遍4000万医学文献。AI智能推荐,让科研检索更轻松。

立即免费搜索

文件翻译

保留排版,准确专业,支持PDF/Word/PPT等文件格式,支持 12+语言互译。

免费翻译文档

深度研究

AI帮你快速写综述,25分钟生成高质量综述,智能提取关键信息,辅助科研写作。

立即免费体验

尽管有效的抗逆转录病毒治疗可以控制 HIV 疾病,但 T 细胞亚群的组成和功能变化缓慢。

Composition and function of T cell subpopulations are slow to change despite effective antiretroviral treatment of HIV disease.

机构信息

Department of Medicine, Yale University, New Haven, Connecticut, United States of America.

Gladstone Institute of Virology and Immunology, San Francisco, California, United States of America.

出版信息

PLoS One. 2014 Jan 21;9(1):e85613. doi: 10.1371/journal.pone.0085613. eCollection 2014.

DOI:10.1371/journal.pone.0085613
PMID:24465619
原文链接:https://pmc.ncbi.nlm.nih.gov/articles/PMC3897457/
Abstract

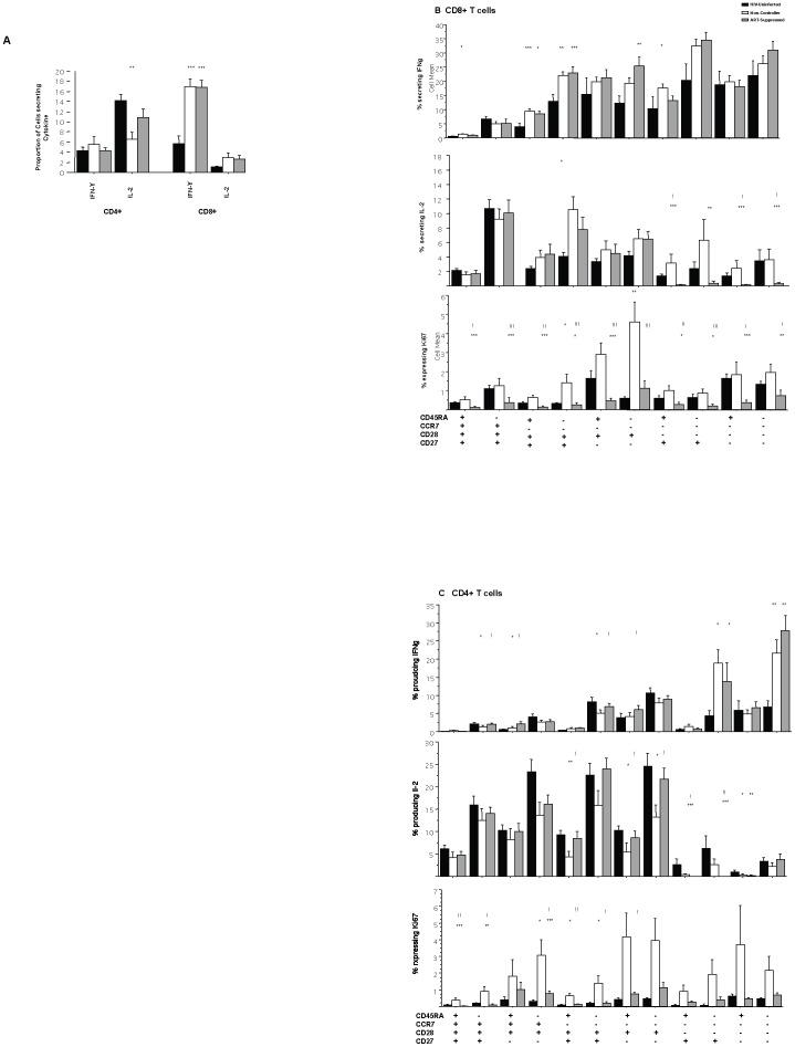
The ability to reconstitute a normal immune system with antiretroviral therapy in the setting of HIV infection remains uncertain. This study aimed to characterize quantitative and qualitative aspects of various T cell subpopulations that do not improve despite effective ART. CD4∶CD8 ratio was evaluated in HIV-infected subjects with viral loads >10,000 copies/µl ("non-controllers", n = 42), those with undetectable viral loads on ART ("ART-suppressed", n = 53), and HIV-uninfected subjects (n = 22). In addition, T cell phenotype and function were examined in 25 non-controllers, 18 ART-suppressed, and 7 HIV-uninfected subjects. CD4∶CD8 ratio in non-controllers, ART-suppressed, and HIV-uninfected subjects was 0.25, 0.48, and 1.95 respectively (P<0.0001 for all comparisons). The increased ratio in ART-suppressed compared to non-controllers was driven by an increase of CD4+ T cells, with no change in the expanded CD8+ T cell population. Expansion of differentiated (CD28-CD27-CD45RA+/-CCR7-) T cell subpopulations persisted despite ART and minimal changes were noted in naïve T cell frequencies over time. Increased number of CD8+CD28- T cells and increased CD8+ CMV-specific T cell responses were associated with a decreased CD4∶CD8 ratio. Measures of T cell function demonstrated persistence of high frequencies of CD8+ T cells producing IFN-γ. Lastly, though all CD8+ subpopulations demonstrated significantly lower Ki67 expression in ART-suppressed subjects, CD4+ T cell subpopulations did not consistently show this decrease, thus demonstrating different proliferative responses in the setting of T cell depletion. In summary, this study demonstrated that CD4∶CD8 ratios remained significantly decreased and naïve T cell numbers were slow to increase despite long-term viral suppression on ART. In addition, there is a evidence of differential regulation of the CD4+ and CD8+ T cell subpopulations, suggesting independent homeostatic regulation of the two compartments.

摘要

尽管抗逆转录病毒疗法(ART)可重建 HIV 感染者的正常免疫系统,但仍存在不确定性。本研究旨在描述尽管接受了有效的 ART,各种 T 细胞亚群的数量和质量仍未得到改善的特征。在病毒载量>10,000 拷贝/µl 的 HIV 感染者中(“非控制者”,n = 42),评估了 CD4∶CD8 比值,这些感染者的病毒载量在 ART 下无法检测到(“ART 抑制者”,n = 53),以及 HIV 未感染者(n = 22)。此外,还在 25 名非控制者、18 名 ART 抑制者和 7 名 HIV 未感染者中检查了 T 细胞表型和功能。非控制者、ART 抑制者和 HIV 未感染者的 CD4∶CD8 比值分别为 0.25、0.48 和 1.95(所有比较均 P<0.0001)。与非控制者相比,ART 抑制者的比值增加是由 CD4+ T 细胞增加引起的,而扩展的 CD8+ T 细胞群没有变化。尽管进行了 ART,但分化(CD28-CD27-CD45RA+/-CCR7-)T 细胞亚群的扩增仍然存在,并且随着时间的推移,幼稚 T 细胞频率的变化很小。增加的 CD8+CD28- T 细胞数量和增加的 CD8+CMV 特异性 T 细胞反应与 CD4∶CD8 比值降低有关。T 细胞功能的测量表明,高水平产生 IFN-γ的 CD8+ T 细胞的频率仍然很高。最后,尽管所有 CD8+亚群在 ART 抑制者中表现出明显降低的 Ki67 表达,但 CD4+ T 细胞亚群并未始终表现出这种降低,因此在 T 细胞耗竭的情况下显示出不同的增殖反应。总之,本研究表明,尽管长期接受 ART 治疗病毒得到抑制,但 CD4∶CD8 比值仍显著降低,幼稚 T 细胞数量增加缓慢。此外,有证据表明 CD4+和 CD8+ T 细胞亚群的调节存在差异,这表明两个亚群的稳态调节是独立的。

https://cdn.ncbi.nlm.nih.gov/pmc/blobs/45f8/3897457/04303aacedac/pone.0085613.g006.jpg
https://cdn.ncbi.nlm.nih.gov/pmc/blobs/45f8/3897457/dfc7aca48e0e/pone.0085613.g001.jpg
https://cdn.ncbi.nlm.nih.gov/pmc/blobs/45f8/3897457/02c8776ef668/pone.0085613.g002.jpg
https://cdn.ncbi.nlm.nih.gov/pmc/blobs/45f8/3897457/007c5c01808b/pone.0085613.g003.jpg
https://cdn.ncbi.nlm.nih.gov/pmc/blobs/45f8/3897457/1f926095513d/pone.0085613.g004.jpg
https://cdn.ncbi.nlm.nih.gov/pmc/blobs/45f8/3897457/10ccc1306667/pone.0085613.g005.jpg
https://cdn.ncbi.nlm.nih.gov/pmc/blobs/45f8/3897457/04303aacedac/pone.0085613.g006.jpg
https://cdn.ncbi.nlm.nih.gov/pmc/blobs/45f8/3897457/dfc7aca48e0e/pone.0085613.g001.jpg
https://cdn.ncbi.nlm.nih.gov/pmc/blobs/45f8/3897457/02c8776ef668/pone.0085613.g002.jpg
https://cdn.ncbi.nlm.nih.gov/pmc/blobs/45f8/3897457/007c5c01808b/pone.0085613.g003.jpg
https://cdn.ncbi.nlm.nih.gov/pmc/blobs/45f8/3897457/1f926095513d/pone.0085613.g004.jpg
https://cdn.ncbi.nlm.nih.gov/pmc/blobs/45f8/3897457/10ccc1306667/pone.0085613.g005.jpg
https://cdn.ncbi.nlm.nih.gov/pmc/blobs/45f8/3897457/04303aacedac/pone.0085613.g006.jpg

相似文献

1
Composition and function of T cell subpopulations are slow to change despite effective antiretroviral treatment of HIV disease.尽管有效的抗逆转录病毒治疗可以控制 HIV 疾病,但 T 细胞亚群的组成和功能变化缓慢。
PLoS One. 2014 Jan 21;9(1):e85613. doi: 10.1371/journal.pone.0085613. eCollection 2014.
2
HIV-1-infected children on HAART: immunologic features of three different levels of viral suppression.接受高效抗逆转录病毒治疗的HIV-1感染儿童:三种不同病毒抑制水平的免疫学特征。
Cytometry B Clin Cytom. 2007 Jan 15;72(1):14-21. doi: 10.1002/cyto.b.20152.
3
Immune Activation and HIV-Specific CD8(+) T Cells in Cerebrospinal Fluid of HIV Controllers and Noncontrollers.HIV 病毒控制者和非控制者脑脊液中的免疫激活与 HIV 特异性 CD8(+) T 细胞
AIDS Res Hum Retroviruses. 2016 Aug;32(8):791-800. doi: 10.1089/AID.2015.0313. Epub 2016 May 2.
4
Phenotypic, functional, and kinetic parameters associated with apparent T-cell control of human immunodeficiency virus replication in individuals with and without antiretroviral treatment.在接受和未接受抗逆转录病毒治疗的个体中,与人类免疫缺陷病毒复制的明显T细胞控制相关的表型、功能和动力学参数。
J Virol. 2005 Nov;79(22):14169-78. doi: 10.1128/JVI.79.22.14169-14178.2005.
5
Central memory CD4 cells are an early indicator of immune reconstitution in HIV/AIDS patients with anti-retroviral treatment.中央记忆 CD4 细胞是接受抗逆转录病毒治疗的 HIV/AIDS 患者免疫重建的早期指标。
Immunol Invest. 2012;41(1):1-14. doi: 10.3109/08820139.2011.576739. Epub 2011 May 12.
6
HIV-infected individuals with low CD4/CD8 ratio despite effective antiretroviral therapy exhibit altered T cell subsets, heightened CD8+ T cell activation, and increased risk of non-AIDS morbidity and mortality.尽管接受了有效的抗逆转录病毒治疗,但CD4/CD8比率较低的HIV感染者表现出T细胞亚群改变、CD8+T细胞活化增强,以及非艾滋病相关发病和死亡风险增加。
PLoS Pathog. 2014 May 15;10(5):e1004078. doi: 10.1371/journal.ppat.1004078. eCollection 2014 May.
7
Changes in CD4+ and CD8+ T cell subsets in response to highly active antiretroviral therapy in HIV type 1-infected patients with prior protease inhibitor experience.1型人类免疫缺陷病毒(HIV-1)感染患者既往有蛋白酶抑制剂治疗史,接受高效抗逆转录病毒治疗后CD4+和CD8+ T细胞亚群的变化
AIDS Res Hum Retroviruses. 1998 May 1;14(7):561-9. doi: 10.1089/aid.1998.14.561.
8
Immunological benefits of antiretroviral therapy in very early stages of asymptomatic chronic HIV-1 infection.无症状慢性HIV-1感染极早期抗逆转录病毒治疗的免疫学益处。
AIDS. 2000 Sep 8;14(13):1921-33. doi: 10.1097/00002030-200009080-00007.
9
Immune recovery in HIV-1 infected patients with sustained viral suppression under long-term antiretroviral therapy in Ethiopia.在埃塞俄比亚长期抗逆转录病毒治疗下病毒持续抑制的 HIV-1 感染患者中的免疫恢复。
PLoS One. 2020 Oct 22;15(10):e0240880. doi: 10.1371/journal.pone.0240880. eCollection 2020.
10
T-cell division in human immunodeficiency virus (HIV)-1 infection is mainly due to immune activation: a longitudinal analysis in patients before and during highly active antiretroviral therapy (HAART).人类免疫缺陷病毒(HIV)-1感染中T细胞分裂主要归因于免疫激活:对接受高效抗逆转录病毒治疗(HAART)之前及治疗期间患者的纵向分析
Blood. 2000 Jan 1;95(1):249-55.

引用本文的文献

1
The tumor microenvironment of non-small cell lung cancer impairs immune cell function in people with HIV.非小细胞肺癌的肿瘤微环境会损害HIV感染者体内免疫细胞的功能。
J Clin Invest. 2025 Jun 3;135(14). doi: 10.1172/JCI177310. eCollection 2025 Jul 15.
2
T Cell Homeostasis Disturbances in a Cohort of Long-Term Elite Controllers of HIV Infection.HIV 感染长期精英控制者队列中的 T 细胞动态平衡紊乱。
Int J Mol Sci. 2024 May 29;25(11):5937. doi: 10.3390/ijms25115937.
3
The immune synapses reveal aberrant functions of CD8 T cells during chronic HIV infection.

本文引用的文献

1
CD4 cell count and the risk of AIDS or death in HIV-Infected adults on combination antiretroviral therapy with a suppressed viral load: a longitudinal cohort study from COHERE.在接受联合抗逆转录病毒疗法且病毒载量得到抑制的 HIV 感染者成人中,CD4 细胞计数与艾滋病或死亡风险:来自 COHERE 的纵向队列研究。
PLoS Med. 2012;9(3):e1001194. doi: 10.1371/journal.pmed.1001194. Epub 2012 Mar 20.
2
Treatment intensification with raltegravir in subjects with sustained HIV-1 viraemia suppression: a randomized 48-week study.在HIV-1病毒血症持续抑制的受试者中使用拉替拉韦加强治疗:一项为期48周的随机研究。
Antivir Ther. 2012;17(2):355-64. doi: 10.3851/IMP1917. Epub 2011 Sep 28.
3
免疫突触揭示慢性 HIV 感染期间 CD8 T 细胞的异常功能。
Nat Commun. 2022 Oct 28;13(1):6436. doi: 10.1038/s41467-022-34157-0.
4
Predictive value of CD8+ T cell and CD4/CD8 ratio at two years of successful ART in the risk of AIDS and non-AIDS events.在成功接受 ART 治疗两年后,CD8+ T 细胞和 CD4/CD8 比值对 AIDS 和非 AIDS 事件风险的预测价值。
EBioMedicine. 2022 Jun;80:104072. doi: 10.1016/j.ebiom.2022.104072. Epub 2022 May 26.
5
Patients with HIV-associated cancers have evidence of increased T cell dysfunction and exhaustion prior to cancer diagnosis.HIV 相关癌症患者在癌症诊断前就有 T 细胞功能障碍和耗竭的证据。
J Immunother Cancer. 2022 Apr;10(4). doi: 10.1136/jitc-2022-004564.
6
Pre-cART Immune Parameters in People Living With HIV Might Help Predict CD8+ T-Cell Characteristics, Inflammation Levels, and Reservoir Composition After Effective cART.HIV感染者的抗逆转录病毒治疗前免疫参数可能有助于预测高效抗逆转录病毒治疗(cART)后的CD8 + T细胞特征、炎症水平和储存库组成。
Pathog Immun. 2021 Oct 1;6(2):60-89. doi: 10.20411/pai.v6i2.447. eCollection 2021.
7
Immune recovery in HIV-1 infected patients with sustained viral suppression under long-term antiretroviral therapy in Ethiopia.在埃塞俄比亚长期抗逆转录病毒治疗下病毒持续抑制的 HIV-1 感染患者中的免疫恢复。
PLoS One. 2020 Oct 22;15(10):e0240880. doi: 10.1371/journal.pone.0240880. eCollection 2020.
8
IL-7 induces sCD127 release and mCD127 downregulation in human CD8 T cells by distinct yet overlapping mechanisms, both of which are impaired in HIV infection.白细胞介素 7(IL-7)通过不同但重叠的机制诱导人 CD8 T 细胞释放可溶性 CD127(sCD127)并下调膜结合 CD127(mCD127),这两种机制在 HIV 感染中均受损。
Eur J Immunol. 2020 Oct;50(10):1537-1549. doi: 10.1002/eji.201948453. Epub 2020 May 27.
9
Suboptimal Immune Reconstitution among HIV-Infected Saudi Patients following Successful Antiretroviral Treatment.沙特阿拉伯艾滋病毒感染患者抗逆转录病毒治疗成功后免疫重建欠佳
Can J Infect Dis Med Microbiol. 2019 Jan 10;2019:1842106. doi: 10.1155/2019/1842106. eCollection 2019.
10
Phenotype, Polyfunctionality, and Antiviral Activity of Stimulated CD8 T-Cells From HIV Subjects Who Initiated cART at Different Time-Points After Acute Infection.急性感染后不同时间点开始 cART 的 HIV 感染者刺激 CD8 T 细胞的表型、多功能性和抗病毒活性。
Front Immunol. 2018 Oct 23;9:2443. doi: 10.3389/fimmu.2018.02443. eCollection 2018.
Reduced thymic output is a major mechanism of immune reconstitution failure in HIV-infected patients after long-term antiretroviral therapy.
长期抗逆转录病毒治疗后,HIV 感染患者免疫重建失败的主要机制是胸腺输出减少。
Clin Infect Dis. 2011 Nov;53(9):944-51. doi: 10.1093/cid/cir552. Epub 2011 Sep 29.
4
HIV persistence in the gut mucosa of HIV-infected subjects undergoing antiretroviral therapy correlates with immune activation and increased levels of LPS.接受抗逆转录病毒治疗的HIV感染者肠道黏膜中HIV的持续存在与免疫激活及脂多糖水平升高相关。
Curr HIV Res. 2011 Apr;9(3):148-53. doi: 10.2174/157016211795945296.
5
HIV disease progression despite suppression of viral replication is associated with exhaustion of lymphopoiesis.尽管病毒复制受到抑制,但 HIV 疾病仍会进展,这与淋巴细胞生成衰竭有关。
Blood. 2011 May 12;117(19):5142-51. doi: 10.1182/blood-2011-01-331306. Epub 2011 Mar 24.
6
Old age and anti-cytomegalovirus immunity are associated with altered T-cell reconstitution in HIV-1-infected patients.衰老和抗巨细胞病毒免疫与 HIV-1 感染患者 T 细胞重建的改变有关。
AIDS. 2011 Sep 24;25(15):1813-22. doi: 10.1097/QAD.0b013e32834640e6.
7
Differences in HIV burden and immune activation within the gut of HIV-positive patients receiving suppressive antiretroviral therapy.在接受抑制性抗逆转录病毒治疗的 HIV 阳性患者的肠道内,HIV 负担和免疫激活存在差异。
J Infect Dis. 2010 Nov 15;202(10):1553-61. doi: 10.1086/656722. Epub 2010 Oct 12.
8
Effect of raltegravir-containing intensification on HIV burden and T-cell activation in multiple gut sites of HIV-positive adults on suppressive antiretroviral therapy.在接受抑制性抗逆转录病毒治疗的 HIV 阳性成年人的多个肠道部位,含拉替拉韦的强化治疗对 HIV 负荷和 T 细胞激活的影响。
AIDS. 2010 Oct 23;24(16):2451-60. doi: 10.1097/QAD.0b013e32833ef7bb.
9
HIV-1 replication activates CD4+ T cells with specificities for persistent herpes viruses.HIV-1 复制激活了对持续性疱疹病毒具有特异性的 CD4+T 细胞。
EMBO Mol Med. 2010 Jun;2(6):231-44. doi: 10.1002/emmm.201000075.
10
HIV-1 replication and immune dynamics are affected by raltegravir intensification of HAART-suppressed subjects.整合酶抑制剂拉替拉韦强化治疗可影响 HIV-1 复制和免疫动力学。
Nat Med. 2010 Apr;16(4):460-5. doi: 10.1038/nm.2111. Epub 2010 Mar 14.