• 文献检索
  • 文档翻译
  • 深度研究
  • 学术资讯
  • Suppr Zotero 插件Zotero 插件
  • 邀请有礼
  • 套餐&价格
  • 历史记录
应用&插件
Suppr Zotero 插件Zotero 插件浏览器插件Mac 客户端Windows 客户端微信小程序
定价
高级版会员购买积分包购买API积分包
服务
文献检索文档翻译深度研究API 文档MCP 服务
关于我们
关于 Suppr公司介绍联系我们用户协议隐私条款
关注我们

Suppr 超能文献

核心技术专利:CN118964589B侵权必究
粤ICP备2023148730 号-1Suppr @ 2026

文献检索

告别复杂PubMed语法,用中文像聊天一样搜索,搜遍4000万医学文献。AI智能推荐,让科研检索更轻松。

立即免费搜索

文件翻译

保留排版,准确专业,支持PDF/Word/PPT等文件格式,支持 12+语言互译。

免费翻译文档

深度研究

AI帮你快速写综述,25分钟生成高质量综述,智能提取关键信息,辅助科研写作。

立即免费体验

灰叶属的天然产物。

Natural products from the genus tephrosia.

作者信息

Chen Yinning, Yan Tao, Gao Chenghai, Cao Wenhao, Huang Riming

机构信息

Key Laboratory of Plant Resources Conservation and Sustainable Utilization, South China Botanical Garden, Chinese Academy of Sciences, Guangzhou 510650, China.

South China Sea Institute of Oceanology, Chinese Academy of Sciences, Guangzhou 510301, China.

出版信息

Molecules. 2014 Jan 27;19(2):1432-58. doi: 10.3390/molecules19021432.

DOI:10.3390/molecules19021432
PMID:24473207
原文链接:https://pmc.ncbi.nlm.nih.gov/articles/PMC6271695/
Abstract

The genus Tephrosia, belonging to the Leguminosae family, is a large pantropical genus of more than 350 species, many of which have important traditional uses in agriculture. This review not only outlines the source, chemistry and biological evaluations of natural products from the genus Tephrosia worldwide that have appeared in literature from 1910 to December 2013, but also covers work related to proposed biosynthetic pathways and synthesis of some natural products from the genus Tephrosia, with 105 citations and 168 new compounds.

摘要

灰叶属属于豆科,是一个泛热带大属,有350多种,其中许多在农业上有重要的传统用途。本综述不仅概述了1910年至2013年12月期间文献中出现的全球灰叶属天然产物的来源、化学和生物学评价,还涵盖了与灰叶属一些天然产物的拟议生物合成途径和合成相关的工作,有105篇参考文献和168种新化合物。

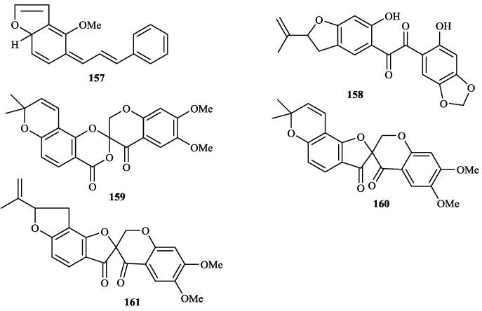
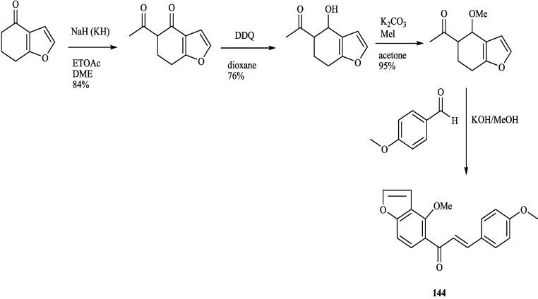
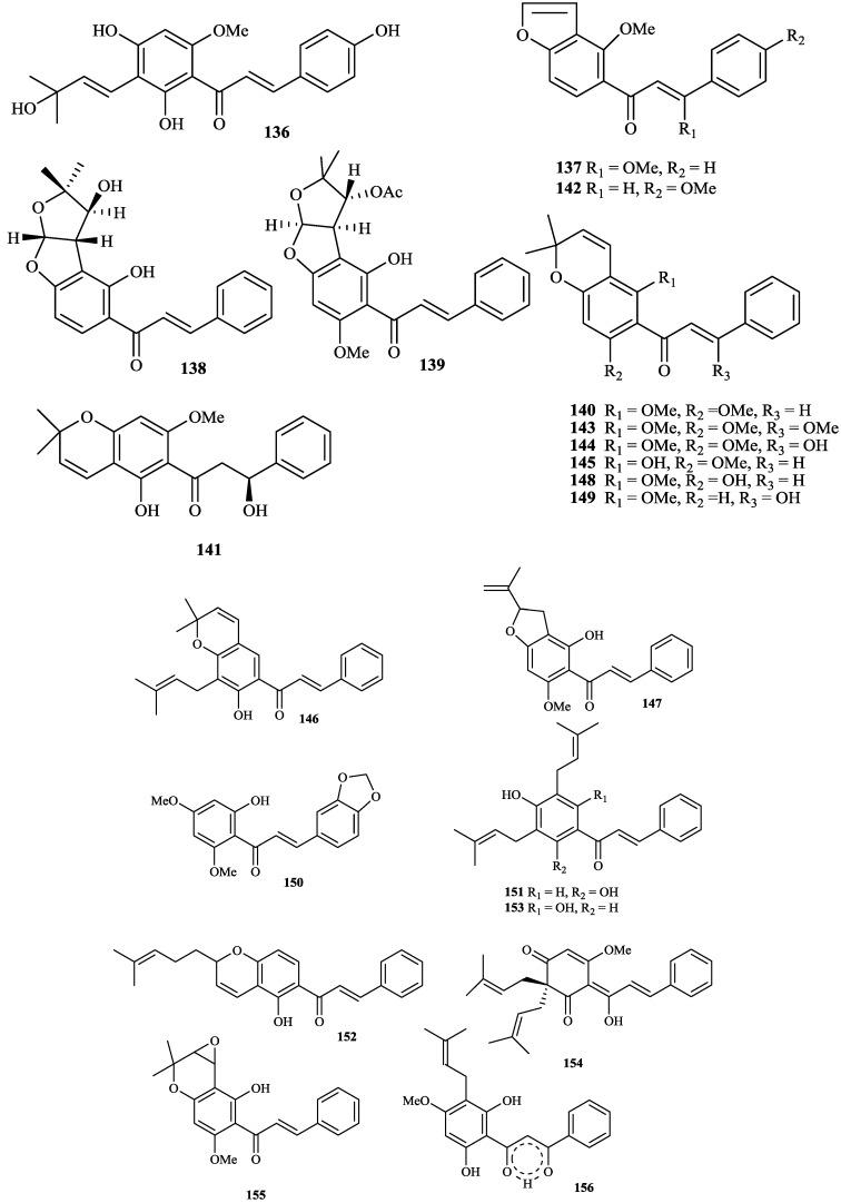
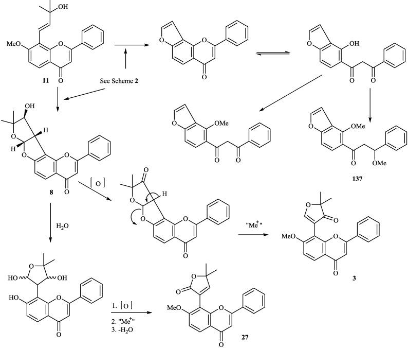
https://cdn.ncbi.nlm.nih.gov/pmc/blobs/0108/6271695/3bc6a773b675/molecules-19-01432-g016.jpg
https://cdn.ncbi.nlm.nih.gov/pmc/blobs/0108/6271695/8629982da0d4/molecules-19-01432-g001.jpg
https://cdn.ncbi.nlm.nih.gov/pmc/blobs/0108/6271695/4a4b480fa2f0/molecules-19-01432-g002.jpg
https://cdn.ncbi.nlm.nih.gov/pmc/blobs/0108/6271695/f1600e55743d/molecules-19-01432-g003.jpg
https://cdn.ncbi.nlm.nih.gov/pmc/blobs/0108/6271695/6d6c09823f93/molecules-19-01432-g004.jpg
https://cdn.ncbi.nlm.nih.gov/pmc/blobs/0108/6271695/f7e8cb38f4ca/molecules-19-01432-g005.jpg
https://cdn.ncbi.nlm.nih.gov/pmc/blobs/0108/6271695/6815971a1a7f/molecules-19-01432-g006.jpg
https://cdn.ncbi.nlm.nih.gov/pmc/blobs/0108/6271695/d4d939ce6a44/molecules-19-01432-g007.jpg
https://cdn.ncbi.nlm.nih.gov/pmc/blobs/0108/6271695/5b393b840758/molecules-19-01432-g008.jpg
https://cdn.ncbi.nlm.nih.gov/pmc/blobs/0108/6271695/9a7d1dc9e53c/molecules-19-01432-g009.jpg
https://cdn.ncbi.nlm.nih.gov/pmc/blobs/0108/6271695/5e13bb2c1416/molecules-19-01432-g010.jpg
https://cdn.ncbi.nlm.nih.gov/pmc/blobs/0108/6271695/322c84fc0626/molecules-19-01432-g011.jpg
https://cdn.ncbi.nlm.nih.gov/pmc/blobs/0108/6271695/27a468f49a0d/molecules-19-01432-g012.jpg
https://cdn.ncbi.nlm.nih.gov/pmc/blobs/0108/6271695/f5fa8c18e71b/molecules-19-01432-g013.jpg
https://cdn.ncbi.nlm.nih.gov/pmc/blobs/0108/6271695/488021338ad7/molecules-19-01432-g014.jpg
https://cdn.ncbi.nlm.nih.gov/pmc/blobs/0108/6271695/f3cb8848c56a/molecules-19-01432-g015.jpg
https://cdn.ncbi.nlm.nih.gov/pmc/blobs/0108/6271695/3bc6a773b675/molecules-19-01432-g016.jpg
https://cdn.ncbi.nlm.nih.gov/pmc/blobs/0108/6271695/8629982da0d4/molecules-19-01432-g001.jpg
https://cdn.ncbi.nlm.nih.gov/pmc/blobs/0108/6271695/4a4b480fa2f0/molecules-19-01432-g002.jpg
https://cdn.ncbi.nlm.nih.gov/pmc/blobs/0108/6271695/f1600e55743d/molecules-19-01432-g003.jpg
https://cdn.ncbi.nlm.nih.gov/pmc/blobs/0108/6271695/6d6c09823f93/molecules-19-01432-g004.jpg
https://cdn.ncbi.nlm.nih.gov/pmc/blobs/0108/6271695/f7e8cb38f4ca/molecules-19-01432-g005.jpg
https://cdn.ncbi.nlm.nih.gov/pmc/blobs/0108/6271695/6815971a1a7f/molecules-19-01432-g006.jpg
https://cdn.ncbi.nlm.nih.gov/pmc/blobs/0108/6271695/d4d939ce6a44/molecules-19-01432-g007.jpg
https://cdn.ncbi.nlm.nih.gov/pmc/blobs/0108/6271695/5b393b840758/molecules-19-01432-g008.jpg
https://cdn.ncbi.nlm.nih.gov/pmc/blobs/0108/6271695/9a7d1dc9e53c/molecules-19-01432-g009.jpg
https://cdn.ncbi.nlm.nih.gov/pmc/blobs/0108/6271695/5e13bb2c1416/molecules-19-01432-g010.jpg
https://cdn.ncbi.nlm.nih.gov/pmc/blobs/0108/6271695/322c84fc0626/molecules-19-01432-g011.jpg
https://cdn.ncbi.nlm.nih.gov/pmc/blobs/0108/6271695/27a468f49a0d/molecules-19-01432-g012.jpg
https://cdn.ncbi.nlm.nih.gov/pmc/blobs/0108/6271695/f5fa8c18e71b/molecules-19-01432-g013.jpg
https://cdn.ncbi.nlm.nih.gov/pmc/blobs/0108/6271695/488021338ad7/molecules-19-01432-g014.jpg
https://cdn.ncbi.nlm.nih.gov/pmc/blobs/0108/6271695/f3cb8848c56a/molecules-19-01432-g015.jpg
https://cdn.ncbi.nlm.nih.gov/pmc/blobs/0108/6271695/3bc6a773b675/molecules-19-01432-g016.jpg

相似文献

1
Natural products from the genus tephrosia.灰叶属的天然产物。
Molecules. 2014 Jan 27;19(2):1432-58. doi: 10.3390/molecules19021432.
2
Two New Secondary Metabolites from Tephrosia purpurea.来自紫穗槐的两种新次生代谢产物。
Nat Prod Commun. 2015 Jun;10(6):921-2.
3
Flavonoids from Tephrosia calophylla.来自美丽灰叶的黄酮类化合物。
Nat Prod Commun. 2009 Jan;4(1):59-62.
4
Estrogenic activity of chemical constituents from Tephrosia candida.Tephrosia candida 化学成分的雌激素活性。
J Nat Prod. 2011 May 27;74(5):937-42. doi: 10.1021/np100378d. Epub 2011 Apr 21.
5
Unequivocal assignments of flavonoids from Tephrosia sp. (Fabaceae).灰叶属(豆科)黄酮类化合物的确切归属。
Magn Reson Chem. 2009 Jun;47(6):537-40. doi: 10.1002/mrc.2422.
6
Three Chalconoids and a Pterocarpene from the Roots of Tephrosia aequilata.来自等叶灰叶根部的三种查耳酮类化合物和一种紫檀烯
Molecules. 2017 Feb 20;22(2):318. doi: 10.3390/molecules22020318.
7
Four Prenylflavone Derivatives with Antiplasmodial Activities from the Stem of Tephrosia purpurea subsp. leptostachya.从 Tephrosia purpurea subsp. leptostachya 的茎中分离得到的具有抗疟活性的四个prenylflavone 衍生物。
Molecules. 2017 Sep 10;22(9):1514. doi: 10.3390/molecules22091514.
8
The isolation and synthesis of a novel benzofuran compound from Tephrosia purpurea, and the synthesis of several related derivatives, which suppress histamine H1 receptor gene expression.从紫穗槐中分离并合成一种新型苯并呋喃化合物,以及几种抑制组胺H1受体基因表达的相关衍生物的合成。
Bioorg Med Chem. 2015 Nov 1;23(21):6869-74. doi: 10.1016/j.bmc.2015.09.049. Epub 2015 Oct 21.
9
(+)-Apollineanin: a new flavanone from Tephrosia apollinea.(+)-阿波林宁:一种来自沙靛草的新黄烷酮。
Nat Prod Res. 2006 Oct;20(12):1046-52. doi: 10.1080/14786410500399714.
10
A new 1,2-ethanedione benzofurane derivative from Tephrosia purpurea.一种来自紫穗槐的新型1,2 - 乙二酮苯并呋喃衍生物。
Nat Prod Res. 2014;28(20):1705-8. doi: 10.1080/14786419.2014.940587. Epub 2014 Aug 12.

引用本文的文献

1
New flavonoids with multiple bronchodilator activity pathways from L. (Pers.) growing in Saudi Arabia.从生长于沙特阿拉伯的L.(Pers.)中提取的具有多种支气管扩张活性途径的新型黄酮类化合物。
Saudi Pharm J. 2024 Apr;32(4):101992. doi: 10.1016/j.jsps.2024.101992. Epub 2024 Feb 15.
2
Phytochemical Analysis and Profiling of Antioxidants and Anticancer Compounds from (L.) subsp. Family Fabaceae.(L.)subsp. 科豆科植物的抗氧化剂和抗癌化合物的植物化学分析与剖析。
Molecules. 2023 May 7;28(9):3939. doi: 10.3390/molecules28093939.
3
The Anti- Activity of Is More Superiorly Attributed to a Novel Steroidal Compound with Selective Targeting.

本文引用的文献

1
Highly variable insect control efficacy of Tephrosia vogelii chemotypes.Tephrosia vogelii 化学型的昆虫防治效果高度可变。
J Agric Food Chem. 2012 Oct 10;60(40):10055-63. doi: 10.1021/jf3032217. Epub 2012 Sep 28.
2
Distinct chemotypes of Tephrosia vogelii and implications for their use in pest control and soil enrichment.Tephrosia vogelii 的不同化学型及其在害虫防治和土壤增肥中的应用意义。
Phytochemistry. 2012 Jun;78:135-46. doi: 10.1016/j.phytochem.2012.02.025. Epub 2012 Apr 4.
3
Chemical constituents of Tephrosia purpurea.
的抗活性更优越地归因于一种具有选择性靶向作用的新型甾体化合物。
Plants (Basel). 2022 Aug 15;11(16):2120. doi: 10.3390/plants11162120.
4
Plants in the Genus : Valuable Resources for Botanical Insecticides.该属植物:植物源杀虫剂的宝贵资源。
Insects. 2020 Oct 21;11(10):721. doi: 10.3390/insects11100721.
5
Prenylated Flavonoids from the Roots of .从. 的根部分离得到的香叶木素类化合物
J Nat Prod. 2020 Aug 28;83(8):2390-2398. doi: 10.1021/acs.jnatprod.0c00245. Epub 2020 Aug 13.
6
Experimental therapeutic assays of Tephrosia vogelii against Leishmania major infection in murine model: in vitro and in vivo.非洲山毛豆对小鼠模型中硕大利什曼原虫感染的实验性治疗测定:体外和体内研究
BMC Res Notes. 2017 Dec 6;10(1):698. doi: 10.1186/s13104-017-3022-x.
7
Three Chalconoids and a Pterocarpene from the Roots of Tephrosia aequilata.来自等叶灰叶根部的三种查耳酮类化合物和一种紫檀烯
Molecules. 2017 Feb 20;22(2):318. doi: 10.3390/molecules22020318.
8
Deciphering the role of phytoalexins in plant-microorganism interactions and human health.解析植物抗毒素在植物 - 微生物相互作用及人类健康中的作用。
Molecules. 2014 Nov 5;19(11):18033-56. doi: 10.3390/molecules191118033.
紫穗槐的化学成分。
Pharmacognosy Res. 2010 Mar;2(2):72-5. doi: 10.4103/0974-8490.62951.
4
Profiling of phenolics from Tephrosia cinerea.从 Tephrosia cinerea 中分析酚类物质。
Planta Med. 2011 Nov;77(16):1861-4. doi: 10.1055/s-0030-1271190. Epub 2011 Jun 15.
5
Estrogenic activity of chemical constituents from Tephrosia candida.Tephrosia candida 化学成分的雌激素活性。
J Nat Prod. 2011 May 27;74(5):937-42. doi: 10.1021/np100378d. Epub 2011 Apr 21.
6
Two new geranyl flavanones from Tephrosia villosa.薇甘菊中二种新的香叶基黄酮。
Nat Prod Res. 2010 May;24(8):743-9. doi: 10.1080/14786410903020560.
7
Rare prenylated flavonoids from Tephrosia purpurea.紫葳科蓝花楹属植物中的罕见类异戊烯基黄酮。
Phytochemistry. 2009 Jul-Aug;70(11-12):1474-7. doi: 10.1016/j.phytochem.2009.08.001. Epub 2009 Sep 3.
8
Flavonoids from Tephrosia calophylla.来自美丽灰叶的黄酮类化合物。
Nat Prod Commun. 2009 Jan;4(1):59-62.
9
Cytotoxic benzil and coumestan derivatives from Tephrosia calophylla.
Phytochemistry. 2009 Jan;70(1):95-9. doi: 10.1016/j.phytochem.2008.10.009. Epub 2008 Dec 4.
10
A new di-O-prenylated isoflavone from Tephrosia tinctoria.
J Asian Nat Prod Res. 2008 Sep-Oct;10(9-10):953-5. doi: 10.1080/10286020802217630.