Suppr超能文献

浆果发育的转录组调控在夜间比白天更重要吗?

Is transcriptomic regulation of berry development more important at night than during the day?

作者信息

Rienth Markus, Torregrosa Laurent, Kelly Mary T, Luchaire Nathalie, Pellegrino Anne, Grimplet Jérôme, Romieu Charles

机构信息

Fondation Jean Poupelain, Javrezac, France ; INRA-SupAgro, UMR AGAP, Montpellier, France.

INRA-SupAgro, UMR AGAP, Montpellier, France.

出版信息

PLoS One. 2014 Feb 13;9(2):e88844. doi: 10.1371/journal.pone.0088844. eCollection 2014.

Abstract

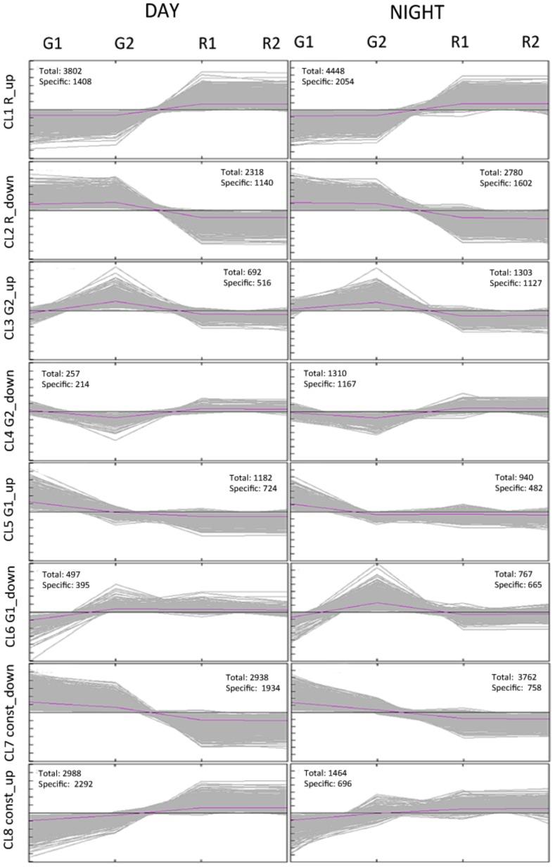
Diurnal changes in gene expression occur in all living organisms and have been studied on model plants such as Arabidopsis thaliana. To our knowledge the impact of the nycthemeral cycle on the genetic program of fleshly fruit development has been hitherto overlooked. In order to circumvent environmental changes throughout fruit development, young and ripening berries were sampled simultaneously on continuously flowering microvines acclimated to controlled circadian light and temperature changes. Gene expression profiles along fruit development were monitored during both day and night with whole genome microarrays (Nimblegen® vitis 12x), yielding a total number of 9273 developmentally modulated probesets. All day-detected transcripts were modulated at night, whereas 1843 genes were night-specific. Very similar developmental patterns of gene expression were observed using independent hierarchical clustering of day and night data, whereas functional categories of allocated transcripts varied according to time of day. Many transcripts within pathways, known to be up-regulated during ripening, in particular those linked to secondary metabolism exhibited a clearer developmental regulation at night than during the day. Functional enrichment analysis also indicated that diurnally modulated genes considerably varied during fruit development, with a shift from cellular organization and photosynthesis in green berries to secondary metabolism and stress-related genes in ripening berries. These results reveal critical changes in gene expression during night development that differ from daytime development, which have not been observed in other transcriptomic studies on fruit development thus far.

摘要

基因表达的昼夜变化存在于所有生物中,并且已在拟南芥等模式植物上进行了研究。据我们所知,昼夜循环对肉质果实发育的遗传程序的影响迄今一直被忽视。为了规避果实发育过程中的环境变化,在适应昼夜节律光照和温度变化的连续开花微型藤蔓上,同时采集了幼嫩和成熟的浆果样本。利用全基因组微阵列(Nimblegen®葡萄12x)在白天和夜间监测果实发育过程中的基因表达谱,共得到9273个受发育调控的探针集。所有在白天检测到的转录本在夜间都受到调控,而有1843个基因是夜间特有的。使用白天和夜间数据的独立层次聚类观察到非常相似的基因表达发育模式,而分配的转录本的功能类别根据一天中的时间而有所不同。许多已知在成熟过程中上调的途径中的转录本,特别是那些与次生代谢相关的转录本,在夜间比在白天表现出更明显的发育调控。功能富集分析还表明,昼夜调节基因在果实发育过程中变化很大,从绿色浆果中的细胞组织和光合作用相关基因转变为成熟浆果中的次生代谢和胁迫相关基因。这些结果揭示了夜间发育过程中基因表达的关键变化,这些变化与白天发育不同,而迄今为止在其他关于果实发育的转录组学研究中尚未观察到。

https://cdn.ncbi.nlm.nih.gov/pmc/blobs/a6d9/3923830/f2a6a80a0481/pone.0088844.g001.jpg

文献AI研究员

20分钟写一篇综述,助力文献阅读效率提升50倍。

立即体验

用中文搜PubMed

大模型驱动的PubMed中文搜索引擎

马上搜索

文档翻译

学术文献翻译模型,支持多种主流文档格式。

立即体验