Suppr超能文献

含2,6-二叔丁基苯酚部分的新型2,5-二取代1,3,4-恶二唑的合成及其抗氧化活性评估。

Synthesis of new 2,5-di-substituted 1,3,4-oxadiazoles bearing 2,6-di-tert-butylphenol moieties and evaluation of their antioxidant activity.

作者信息

Shakir Raied M, Ariffin Azhar, Abdulla Mahmood Ameen

机构信息

Department of Chemistry, Faculty of Science, University of Malaya, Kuala Lumpur 50603, Malaysia.

Department of Molecular Medicine, Faculty of Medicine, University of Malaya, Kuala Lumpur 50603, Malaysia.

出版信息

Molecules. 2014 Mar 20;19(3):3436-49. doi: 10.3390/molecules19033436.

Abstract

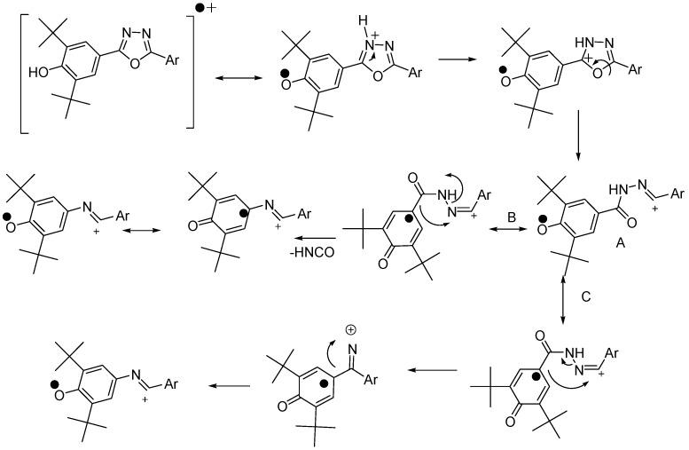
Eleven new 2,6-di-tert-butyl-4-(5-aryl-1,3,4-oxadiazol-2-yl)phenols 5a-k were synthesized by reacting aryl hydrazides with 3,5-di-tert butyl 4-hydroxybenzoic acid in the presence of phosphorus oxychloride. The resulting compounds were characterized based on their IR, ¹H-NMR, ¹³C-NMR, and HRMS data. 2,2-Diphenyl-1-picrylhydrazide (DPPH) and ferric reducing antioxidant power (FRAP) assays were used to test the antioxidant properties of the compounds. Compounds 5f and 5j exhibited significant free-radical scavenging ability in both assays.

摘要

通过使芳基酰肼与3,5-二叔丁基-4-羟基苯甲酸在三氯氧磷存在下反应,合成了11种新的2,6-二叔丁基-4-(5-芳基-1,3,4-恶二唑-2-基)苯酚5a-k。根据所得化合物的红外光谱、¹H-核磁共振谱、¹³C-核磁共振谱和高分辨质谱数据对其进行了表征。采用2,2-二苯基-1-苦基肼(DPPH)和铁还原抗氧化能力(FRAP)测定法测试了这些化合物的抗氧化性能。化合物5f和5j在两种测定法中均表现出显著的自由基清除能力。

https://cdn.ncbi.nlm.nih.gov/pmc/blobs/e592/6271237/91bafc33ddc7/molecules-19-03436-g001.jpg

文献AI研究员

20分钟写一篇综述,助力文献阅读效率提升50倍。

立即体验

用中文搜PubMed

大模型驱动的PubMed中文搜索引擎

马上搜索

文档翻译

学术文献翻译模型,支持多种主流文档格式。

立即体验