Suppr超能文献

再探乙二醇:液体及其氢键网络的分子动力学模拟与可视化

Ethylene glycol revisited: Molecular dynamics simulations and visualization of the liquid and its hydrogen-bond network.

作者信息

Kaiser Alexander, Ismailova Oksana, Koskela Antti, Huber Stefan E, Ritter Marcel, Cosenza Biagio, Benger Werner, Nazmutdinov Renat, Probst Michael

机构信息

Institute for Ion-Physics and Applied Physics, University of Innsbruck, 6020, Technikerstraße 25/3, Austria.

Institute for Ion-Physics and Applied Physics, University of Innsbruck, 6020, Technikerstraße 25/3, Austria ; Institute Ion-Plasma and Laser Technology of Uzbekistan Academy Sciences, Uzbekistan.

出版信息

J Mol Liq. 2014 Jan;189(100):20-29. doi: 10.1016/j.molliq.2013.05.033.

Abstract

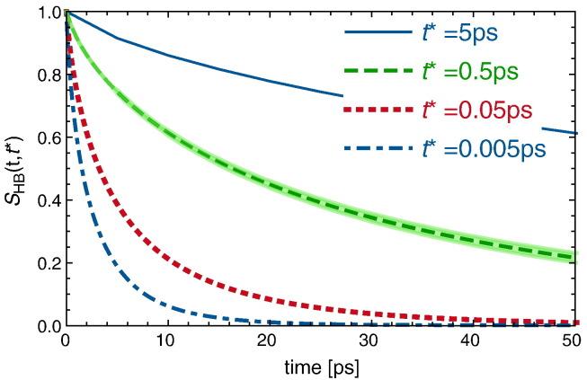
Molecular dynamics simulations of liquid ethylene glycol described by the OPLS-AA force field were performed to gain insight into its hydrogen-bond structure. We use the population correlation function as a statistical measure for the hydrogen-bond lifetime. In an attempt to understand the complicated hydrogen-bonding, we developed new molecular visualization tools within the Visualization shell and used it to visualize the life of each individual hydrogen-bond. With this tool hydrogen-bond formation and breaking as well as clustering and chain formation in hydrogen-bonded liquids can be observed directly. Liquid ethylene glycol at room temperature does not show significant clustering or chain building. The hydrogen-bonds break often due to the rotational and vibrational motions of the molecules leading to an H-bond half-life time of approximately 1.5 ps. However, most of the H-bonds are reformed again so that after 50 ps only 40% of these H-bonds are irreversibly broken due to diffusional motion. This hydrogen-bond half-life time due to diffusional motion is 80.3 ps. The work was preceded by a careful check of various OPLS-based force fields used in the literature. It was found that they lead to quite different angular and H-bond distributions.

摘要

为深入了解乙二醇的氢键结构,我们采用OPLS - AA力场对液态乙二醇进行了分子动力学模拟。我们使用种群相关函数作为氢键寿命的统计量度。为了理解复杂的氢键作用,我们在可视化框架内开发了新的分子可视化工具,并利用它来可视化每个氢键的寿命。借助该工具,可以直接观察到氢键的形成与断裂,以及氢键液体中的聚集和链状形成。室温下的液态乙二醇未表现出明显的聚集或链状结构。由于分子的旋转和振动运动,氢键经常断裂,导致氢键半衰期约为1.5皮秒。然而,大多数氢键会再次形成,因此在50皮秒后,只有40%的氢键因扩散运动而不可逆地断裂。这种由扩散运动导致的氢键半衰期为80.3皮秒。这项工作之前仔细检查了文献中使用的各种基于OPLS的力场。结果发现,它们会导致截然不同的角度和氢键分布。

https://cdn.ncbi.nlm.nih.gov/pmc/blobs/7af7/3990454/1166fb1ce5a1/fx1.jpg

文献AI研究员

20分钟写一篇综述,助力文献阅读效率提升50倍。

立即体验

用中文搜PubMed

大模型驱动的PubMed中文搜索引擎

马上搜索

文档翻译

学术文献翻译模型,支持多种主流文档格式。

立即体验