Suppr超能文献

巨细胞病毒血清阳性的阿尔茨海默病患者炎症反应增强。

Increased inflammatory response in cytomegalovirus seropositive patients with Alzheimer's disease.

作者信息

Westman Gabriel, Berglund David, Widén Johan, Ingelsson Martin, Korsgren Olle, Lannfelt Lars, Sehlin Dag, Lidehall Anna-Karin, Eriksson Britt-Marie

机构信息

Department of Medical Sciences, Uppsala University, Uppsala, Sweden.

Department of Immunology, Genetics and Pathology, Uppsala University, Uppsala, Sweden.

出版信息

PLoS One. 2014 May 7;9(5):e96779. doi: 10.1371/journal.pone.0096779. eCollection 2014.

Abstract

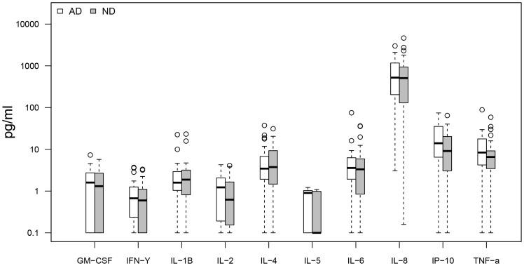
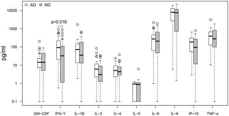
Alzheimer's disease (AD) has been associated with increased local inflammation in the affected brain regions, and in some studies also with elevated levels of proinflammatory cytokines in peripheral blood. Cytomegalovirus (CMV) is known to promote a more effector-oriented phenotype in the T-cell compartment, increasing with age. The aim of this study was to investigate the inflammatory response of peripheral blood mononuclear cells (PBMCs) from AD patients and non-demented (ND) controls. Using a multiplex Luminex xMAP assay targeting GM-CSF, IFN-γ, IL-1β, IL-2, IL-4, IL-5, IL-6, IL-8, IP-10 and TNF-α, cytokine profiles from PBMCs were analysed after stimulation with anti-CD3/CD28 beads, CMV pp65 peptide mix or amyloid β (Aβ) protofibrils, respectively. CMV seropositive AD subjects presented with higher IFN-γ levels after anti-CD3/CD28 and CMV pp65 but not after Aβ stimulation, compared to CMV seropositive ND controls. When analysing IFN-γ response to anti-CD3/CD28 stimulation on a subgroup level, CMV seropositive AD subjects presented with higher levels compared to both CMV seronegative AD and CMV seropositive ND subjects. Taken together, our data from patients with clinically manifest AD suggest a possible role of CMV as an inflammatory promoter in AD immunology. Further studies of AD patients at earlier stages of disease, could provide better insight into the pathophysiology.

摘要

阿尔茨海默病(AD)与受影响脑区局部炎症增加有关,并且在一些研究中还与外周血中促炎细胞因子水平升高有关。已知巨细胞病毒(CMV)会促进T细胞区室中更具效应器导向的表型,且随年龄增长而增加。本研究的目的是调查AD患者和非痴呆(ND)对照者外周血单个核细胞(PBMC)的炎症反应。使用针对GM-CSF、IFN-γ、IL-1β、IL-2、IL-4、IL-5、IL-6、IL-8、IP-10和TNF-α的多重Luminex xMAP检测法,分别在用抗CD3/CD28磁珠、CMV pp65肽混合物或淀粉样β(Aβ)原纤维刺激后,分析PBMC的细胞因子谱。与CMV血清阳性的ND对照相比,CMV血清阳性的AD受试者在抗CD3/CD28和CMV pp65刺激后IFN-γ水平较高,但在Aβ刺激后则不然。在亚组水平分析IFN-γ对抗CD3/CD28刺激的反应时,与CMV血清阴性的AD受试者和CMV血清阳性的ND受试者相比,CMV血清阳性的AD受试者IFN-γ水平更高。综上所述,我们来自临床确诊AD患者的数据表明CMV在AD免疫学中可能作为炎症促进剂发挥作用。对疾病早期阶段的AD患者进行进一步研究,可能会更好地洞察其病理生理学。

https://cdn.ncbi.nlm.nih.gov/pmc/blobs/7a54/4013077/544d6c2797e9/pone.0096779.g001.jpg

文献检索

告别复杂PubMed语法,用中文像聊天一样搜索,搜遍4000万医学文献。AI智能推荐,让科研检索更轻松。

立即免费搜索

文件翻译

保留排版,准确专业,支持PDF/Word/PPT等文件格式,支持 12+语言互译。

免费翻译文档

深度研究

AI帮你快速写综述,25分钟生成高质量综述,智能提取关键信息,辅助科研写作。

立即免费体验