Sonnemann Uwe, Scherner Olaf, Werkhäuser Nina
Private Health Centre, Institute for ENT Elmshorn, Hermann-Ehlers-Weg 4, 25337 Elmshorn, Germany.
Bitop AG, Stockumer Street 28, 58453 Witten, Germany.
J Allergy (Cairo). 2014;2014:273219. doi: 10.1155/2014/273219. Epub 2014 Apr 13.
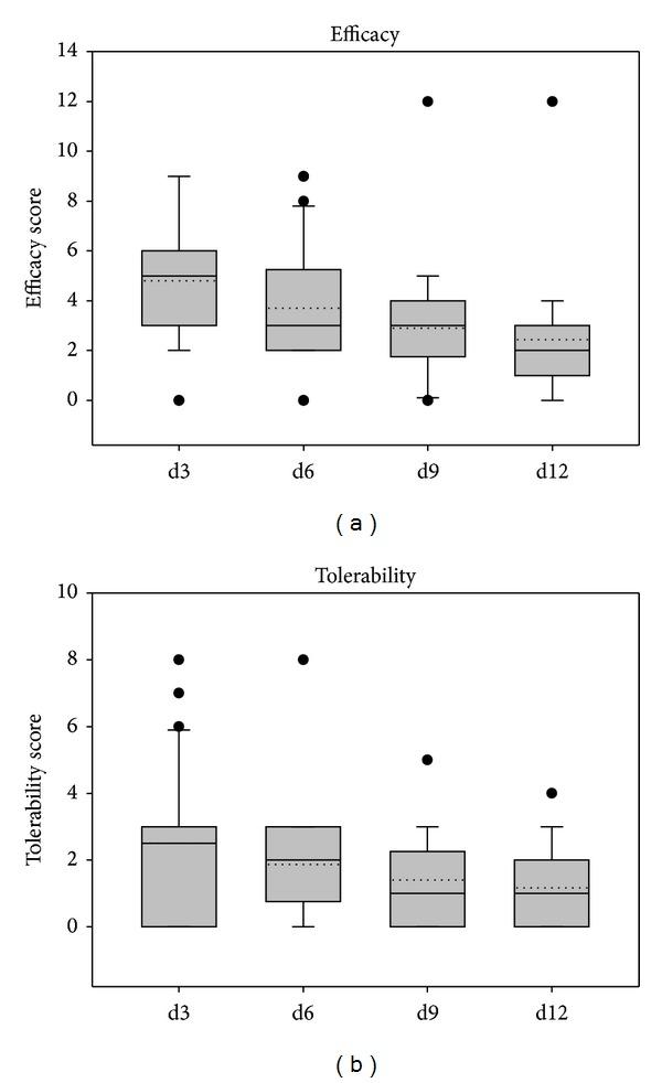
Objectives. The safety and efficacy of ectoine nasal spray and ectoine nasal spray with dexpanthenol in the treatment of rhinitis sicca were evaluated in two studies. Design and Methods. Two noninterventional observational studies were performed to evaluate the efficacy and safety of a nasal spray containing ectoine (study 1) and ectoine/dexpanthenol (study 2) over a period of two weeks including comparable numbers of patients suffering from rhinitis sicca anterior. Patients and physicians were asked to rate the efficacy in reducing symptoms and the tolerability over the treatment phase. Results. The treatment in both studies resulted in a clinical and statistical significant reduction of the main diagnosis parameters, nasal airway obstruction, and crust formation. There was also a significant reduction in the secondary diagnosis parameters in both studies. Importantly, the tolerability was very good. During the whole observational study, neither patients nor doctors stopped the medication due to unwanted effects. Conclusion. Rhinitis sicca could be successfully treated with a nasal spray containing ectoine and a nasal spray combining ectoine with dexpanthenol. The combination of both substances led to slight advantages.
目的。在两项研究中评估了依克多因鼻腔喷雾剂及含泛醇的依克多因鼻腔喷雾剂治疗干燥性鼻炎的安全性和有效性。设计与方法。进行了两项非干预性观察性研究,以评估含依克多因的鼻腔喷雾剂(研究1)和依克多因/泛醇(研究2)在两周时间内对患有前位干燥性鼻炎的相当数量患者的疗效和安全性。要求患者和医生对治疗阶段减轻症状的疗效和耐受性进行评分。结果。两项研究中的治疗均使主要诊断参数、鼻气道阻塞和结痂形成在临床和统计学上显著降低。两项研究中的次要诊断参数也有显著降低。重要的是,耐受性非常好。在整个观察性研究期间,患者和医生均未因不良反应而停药。结论。含依克多因的鼻腔喷雾剂以及依克多因与泛醇联用的鼻腔喷雾剂能够成功治疗干燥性鼻炎。两种物质联用有轻微优势。