Suppr超能文献

普通人群中焦虑症与大麻使用或大麻使用障碍之间的正相关——31项研究的荟萃分析

A positive association between anxiety disorders and cannabis use or cannabis use disorders in the general population--a meta-analysis of 31 studies.

作者信息

Kedzior Karina Karolina, Laeber Lisa Tabata

机构信息

School of Humanities and Social Sciences, Jacobs University Bremen, Campus Ring 1, 28759 Bremen, Germany.

出版信息

BMC Psychiatry. 2014 May 10;14:136. doi: 10.1186/1471-244X-14-136.

Abstract

BACKGROUND

The aim of the current study was to investigate the association between anxiety and cannabis use/cannabis use disorders in the general population.

METHODS

A total of N = 267 studies were identified from a systematic literature search (any time- March 2013) of Medline and PsycInfo databases, and a hand search. The results of 31 studies (with prospective cohort or cross-sectional designs using non-institutionalised cases) were analysed using a random-effects meta-analysis with the inverse variance weights. Lifetime or past 12-month cannabis use, anxiety symptoms, and cannabis use disorders (CUD; dependence and/or abuse/harmful use) were classified according to DSM/ICD criteria or scores on standardised scales.

RESULTS

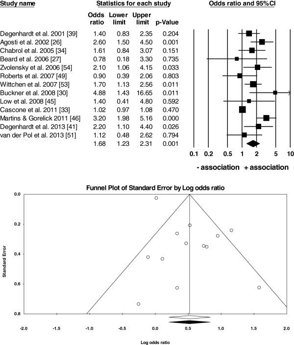
There was a small positive association between anxiety and either cannabis use (OR = 1.24, 95% CI: 1.06-1.45, p = .006; N = 15 studies) or CUD (OR = 1.68, 95% CI: 1.23-2.31, p = .001; N = 13 studies), and between comorbid anxiety + depression and cannabis use (OR = 1.68, 95% CI: 1.17-2.40, p = .004; N = 5 studies). The positive associations between anxiety and cannabis use (or CUD) were present in subgroups of studies with ORs adjusted for possible confounders (substance use, psychiatric illness, demographics) and in studies with clinical diagnoses of anxiety. Cannabis use at baseline was significantly associated with anxiety at follow-up in N = 5 studies adjusted for confounders (OR = 1.28, 95% CI: 1.06-1.54, p = .01). The opposite relationship was investigated in only one study. There was little evidence for publication bias.

CONCLUSION

Anxiety is positively associated with cannabis use or CUD in cohorts drawn from some 112,000 non-institutionalised members of the general population of 10 countries.

摘要

背景

本研究旨在调查普通人群中焦虑与大麻使用/大麻使用障碍之间的关联。

方法

通过对Medline和PsycInfo数据库进行系统文献检索(截至2013年3月的任何时间)以及手工检索,共识别出N = 267项研究。使用逆方差权重的随机效应荟萃分析对31项研究(采用前瞻性队列或横断面设计,研究对象为非机构化病例)的结果进行分析。根据DSM/ICD标准或标准化量表得分对终生或过去12个月的大麻使用、焦虑症状和大麻使用障碍(CUD;依赖和/或滥用/有害使用)进行分类。

结果

焦虑与大麻使用(OR = 1.24,95% CI:1.06 - 1.45,p = 0.006;N = 15项研究)或CUD(OR = 1.68,95% CI:1.23 - 2.31,p = 0.001;N = 13项研究)之间存在小的正相关,共病焦虑 + 抑郁与大麻使用之间也存在正相关(OR = 1.68,95% CI:1.17 - 2.40,p = 0.004;N = 5项研究)。在对可能的混杂因素(物质使用、精神疾病、人口统计学)进行OR调整的研究亚组以及有焦虑临床诊断的研究中,焦虑与大麻使用(或CUD)之间存在正相关。在N = 5项对混杂因素进行调整的研究中,基线时的大麻使用与随访时的焦虑显著相关(OR = 1.28,95% CI:1.06 - 1.54,p = 0.01)。仅在一项研究中调查了相反的关系。几乎没有证据表明存在发表偏倚。

结论

在来自10个国家约112,000名非机构化普通人群的队列中,焦虑与大麻使用或CUD呈正相关。

https://cdn.ncbi.nlm.nih.gov/pmc/blobs/3655/4032500/1165de19d468/1471-244X-14-136-1.jpg

文献AI研究员

20分钟写一篇综述,助力文献阅读效率提升50倍。

立即体验

用中文搜PubMed

大模型驱动的PubMed中文搜索引擎

马上搜索

文档翻译

学术文献翻译模型,支持多种主流文档格式。

立即体验