Suppr超能文献

组织对 Hox 蛋白水平的敏感性的出现是适应形态特征进化的基础。

Emergence of tissue sensitivity to Hox protein levels underlies the evolution of an adaptive morphological trait.

机构信息

Institut de Génomique Fonctionnelle de Lyon, CNRS-UMR5242, Ecole Normale Supérieure de Lyon, 46 Allée d׳Italie, 69364 Lyon Cedex 07, France; Université Claude Bernard Lyon 1, 43 Boulevard du 11 Novembre 1918, 69622 Villeurbanne Cedex, France.

Institut de Génomique Fonctionnelle de Lyon, CNRS-UMR5242, Ecole Normale Supérieure de Lyon, 46 Allée d׳Italie, 69364 Lyon Cedex 07, France.

出版信息

Dev Biol. 2014 Aug 15;392(2):441-53. doi: 10.1016/j.ydbio.2014.05.021. Epub 2014 Jun 2.

Abstract

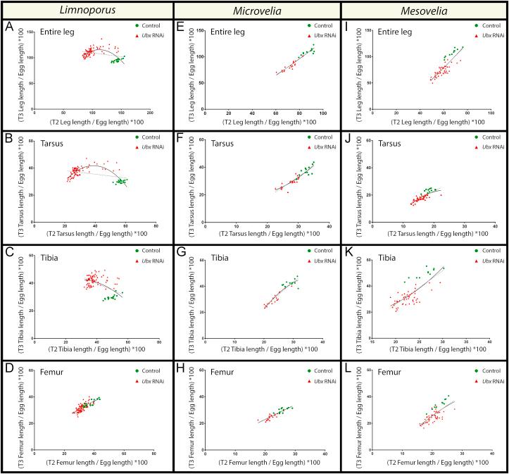
Growth control scales morphological attributes and, therefore, provides a critical contribution to the evolution of adaptive traits. Yet, the genetic mechanisms underlying growth in the context of specific ecological adaptations are poorly understood. In water striders, adaptation to locomotion on the water surface is associated with allometric and functional changes in thoracic appendages, such that T2-legs, used as propelling oars, are longer than T3-legs, used as steering rudders. The Hox gene Ubx establishes this derived morphology by elongating T2-legs but shortening T3-legs. Using gene expression assays, RNAi knockdown, and comparative transcriptomics, we demonstrate that the evolution of water surface rowing as a novel means of locomotion is associated with the evolution of a dose-dependent promoting-repressing effect of Ubx on leg growth. In the water strider Limnoporus dissortis, T3-legs express six to seven times higher levels of Ubx compared to T2-legs. Ubx RNAi shortens T2-legs and the severity of this phenotype increases with increased depletion of Ubx protein. Conversely, Ubx RNAi lengthens T3-legs but this phenotype is partially rescued when Ubx protein is further depleted. This dose-dependent effect of Ubx on leg growth is absent in non-rowing relatives that retain the ancestral relative leg length. We also show that the spatial patterns of expression of dpp, wg, hh, egfr, dll, exd, hth, and dac are unchanged in Ubx RNAi treatments. This indicates that the dose-dependent opposite effect of Ubx on T2- and T3-legs operates without any apparent effect on the spatial expression of major leg patterning genes. Our data suggest that scaling of adaptive allometries can evolve through changes in the levels of expression of Hox proteins early during ontogeny, and in the sensitivity of the tissues that express them, without any major effects on pattern formation.

摘要

生长控制影响形态特征,因此对适应特征的进化具有重要贡献。然而,特定生态适应背景下生长的遗传机制仍知之甚少。在水黾中,适应水面运动与胸部附肢的异速生长和功能变化有关,因此用作推进桨的 T2 腿比用作转向舵的 T3 腿更长。Hox 基因 Ubx 通过延长 T2 腿并缩短 T3 腿来建立这种衍生形态。通过基因表达分析、RNAi 敲低和比较转录组学,我们证明了作为一种新型运动方式的水面划桨的进化与 Ubx 对腿部生长的剂量依赖性促进-抑制作用的进化有关。在水黾 Limnoporus dissortis 中,T3 腿比 T2 腿表达高出六到七倍的 Ubx。Ubx RNAi 缩短了 T2 腿,并且随着 Ubx 蛋白的消耗增加,这种表型的严重程度也会增加。相反,Ubx RNAi 延长了 T3 腿,但当进一步耗尽 Ubx 蛋白时,这种表型会部分恢复。在不进行划桨的亲缘物种中,这种 Ubx 对腿部生长的剂量依赖性影响不存在,这些亲缘物种保留了祖先相对的腿部长度。我们还表明,在 Ubx RNAi 处理中,dpp、wg、hh、egfr、dll、exd、hth 和 dac 的表达空间模式没有变化。这表明 Ubx 对 T2 和 T3 腿的剂量依赖性相反作用在没有对主要腿部模式形成基因的空间表达产生任何明显影响的情况下发生。我们的数据表明,适应性异速生长的缩放可以通过在个体发育早期改变 Hox 蛋白的表达水平以及表达它们的组织的敏感性来实现,而不会对模式形成产生任何重大影响。

https://cdn.ncbi.nlm.nih.gov/pmc/blobs/be70/4111901/1f125fede484/gr1.jpg

文献AI研究员

20分钟写一篇综述,助力文献阅读效率提升50倍。

立即体验

用中文搜PubMed

大模型驱动的PubMed中文搜索引擎

马上搜索

文档翻译

学术文献翻译模型,支持多种主流文档格式。

立即体验