Suppr超能文献

使用扫描液滴池显微镜对亚微克量有机半导体进行光电化学和电化学表征

Photoelectrochemical and Electrochemical Characterization of Sub-Micro-Gram Amounts of Organic Semiconductors Using Scanning Droplet Cell Microscopy.

作者信息

Kollender Jan Philipp, Gasiorowski Jacek, Sariciftci Niyazi S, Mardare Andrei I, Hassel Achim Walter

机构信息

Institute for Chemical Technology of Inorganic Materials, Linz Institute for Organic Solar Cells (LIOS), Physical Chemistry, and Christian Doppler Laboratory for Combinatorial Oxide Chemistry at the Institute for Chemical Technology of Inorganic Materials, Johannes Kepler University Linz , Altenberger Str. 69, 4040 Linz, Austria.

出版信息

J Phys Chem C Nanomater Interfaces. 2014 Jul 31;118(30):16919-16926. doi: 10.1021/jp500423a. Epub 2014 May 19.

Abstract

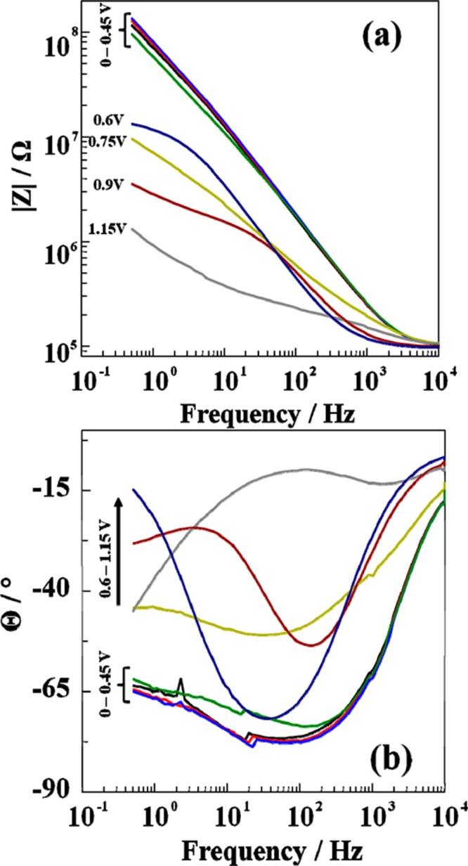
A model organic semiconductor (MDMO-PPV) was used for testing a modified version of a photoelectrochemical scanning droplet cell microscope (PE-SDCM) adapted for use with nonaqueous electrolytes and containing an optical fiber for localized illumination. The most attractive features of the PE-SDCM are represented by the possibility of addressing small areas on the investigated substrate and the need of small amounts of electrolyte. A very small amount (ng) of the material under study is sufficient for a complete electrochemical and photoelectrochemical characterization due to the scanning capability of the cell. The electrochemical behavior of the polymer was studied in detail using potentiostatic and potentiodynamic investigations as well as electrochemical impedance spectroscopy. Additionally, the photoelectrochemical properties were investigated under illumination conditions, and the photocurrents found were at least 3 orders of magnitude higher than the dark (background) current, revealing the usefulness of this compact microcell for photovoltaic characterizations.

摘要

一种典型的有机半导体(MDMO-PPV)被用于测试一种经过改进的光电化学扫描液滴池显微镜(PE-SDCM),该显微镜适用于非水电解质,并且包含一根用于局部照明的光纤。PE-SDCM最吸引人的特点在于能够对被研究的基底上的小区域进行检测,且所需的电解液量很少。由于该电池的扫描能力,极少量(纳克)的被研究材料就足以进行完整的电化学和光电化学表征。使用恒电位和动电位研究以及电化学阻抗谱详细研究了该聚合物的电化学行为。此外,在光照条件下研究了其光电化学性质,发现光电流比暗(背景)电流至少高3个数量级,这表明这种紧凑型微电池对于光伏表征是有用的。

https://cdn.ncbi.nlm.nih.gov/pmc/blobs/c0c2/4120669/20c5d47ff0ec/jp-2014-00423a_0012.jpg

文献AI研究员

20分钟写一篇综述,助力文献阅读效率提升50倍。

立即体验

用中文搜PubMed

大模型驱动的PubMed中文搜索引擎

马上搜索

文档翻译

学术文献翻译模型,支持多种主流文档格式。

立即体验