Suppr超能文献

肺炎球菌定植密度:HIV感染的成年肺炎患者疾病严重程度的新标志物。

Pneumococcal colonisation density: a new marker for disease severity in HIV-infected adults with pneumonia.

作者信息

Albrich Werner C, Madhi Shabir A, Adrian Peter V, van Niekerk Nadia, Telles Jean-Noel, Ebrahim N, Messaoudi Melina, Paranhos-Baccalà Glaucia, Giersdorf Sven, Vernet Guy, Mueller Beat, Klugman Keith P

机构信息

Division of Infectious Diseases and Hospital Epidemiology, Kantonsspital St Gallen, St Gallen, Switzerland Medical Research Council: Respiratory and Meningeal Pathogens Research Unit, Faculty of Health Sciences, Chris Hani Baragwanath Hospital, University of the Witwatersrand, Johannesburg, South Africa.

Medical Research Council: Respiratory and Meningeal Pathogens Research Unit, Faculty of Health Sciences, Chris Hani Baragwanath Hospital, University of the Witwatersrand, Johannesburg, South Africa Department of Science and Technology/National Research Foundation, Vaccine Preventable Diseases University of the Witwatersrand, Johannesburg, South Africa.

出版信息

BMJ Open. 2014 Aug 11;4(8):e005953. doi: 10.1136/bmjopen-2014-005953.

Abstract

OBJECTIVE

A high genomic load of Pneumococcus from blood or cerebrospinal fluid has been associated with increased mortality. We aimed to analyse whether nasopharyngeal colonisation density in HIV-infected patients with community-acquired pneumonia (CAP) is associated with markers of disease severity or poor outcome.

METHODS

Quantitative lytA real-time PCR was performed on nasopharyngeal swabs in HIV-infected South African adults hospitalised for acute CAP at Chris Hani Baragwanath Hospital, Soweto, South Africa. Pneumonia aetiology was considered pneumococcal if any sputum culture or Gram stain, urinary pneumococcal C-polysaccharide-based antigen, blood culture or whole blood lytA real-time PCR revealed pneumococci.

RESULTS

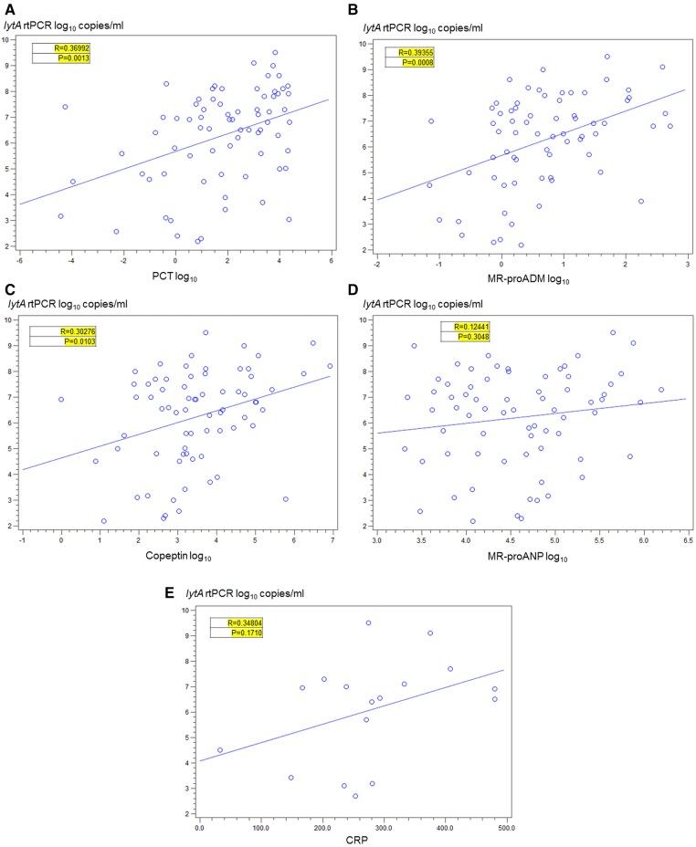
There was a moderate correlation between the mean nasopharyngeal colonisation densities and increasing CURB65 scores among all-cause patients with pneumonia (Spearman correlation coefficient r=0.15, p=0.06) or with the Pitt bacteraemia score among patients with pneumococcal bacteraemia (p=0.63). In patients with pneumococcal pneumonia, nasopharyngeal pneumococcal colonisation density was higher among non-survivors than survivors (7.7 vs 6.1 log10 copies/mL, respectively, p=0.02) and among those who had pneumococci identified from blood cultures and/or by whole blood lytA real-time PCR than those with non-bacteraemic pneumococcal pneumonia (6.6 vs 5.6 log10 copies/mL, p=0.03). Nasopharyngeal colonisation density correlated positively with the biomarkers procalcitonin (Spearman correlation coefficient r=0.37, p<0.0001), proadrenomedullin (r=0.39, p=0.008) and copeptin (r=0.30, p=0.01).

CONCLUSIONS

In addition to its previously reported role as a diagnostic tool for pneumococcal pneumonia, quantitative nasopharyngeal colonisation density also correlates with mortality and prognostic biomarkers. It may also be useful as a severity marker for pneumococcal pneumonia in HIV-infected adults.

摘要

目的

血液或脑脊液中肺炎球菌的高基因组负荷与死亡率增加相关。我们旨在分析社区获得性肺炎(CAP)的HIV感染患者的鼻咽定植密度是否与疾病严重程度标志物或不良预后相关。

方法

在南非索韦托克里斯·哈尼·巴拉格瓦纳特医院因急性CAP住院的HIV感染南非成年人中,对鼻咽拭子进行定量lytA实时PCR检测。如果任何痰培养或革兰氏染色、基于尿肺炎球菌C多糖的抗原、血培养或全血lytA实时PCR检测发现肺炎球菌,则肺炎病因被认为是肺炎球菌性的。

结果

在所有病因的肺炎患者中,平均鼻咽定植密度与CURB65评分增加之间存在中度相关性(Spearman相关系数r = 0.15,p = 0.06),在肺炎球菌菌血症患者中与皮特菌血症评分之间存在中度相关性(p = 0.63)。在肺炎球菌肺炎患者中,非幸存者的鼻咽肺炎球菌定植密度高于幸存者(分别为7.7对6.1 log10拷贝/mL,p = 0.02),从血培养和/或通过全血lytA实时PCR检测出肺炎球菌的患者的鼻咽肺炎球菌定植密度高于非菌血症性肺炎球菌肺炎患者(6.6对5.6 log10拷贝/mL,p = 0.03)。鼻咽定植密度与生物标志物降钙素原(Spearman相关系数r = 0.37,p < 0.0001)、肾上腺髓质素原(r = 0.39,p = 0.008)和 copeptin(r = 0.30,p = 0.01)呈正相关。

结论

除了其先前报道的作为肺炎球菌肺炎诊断工具的作用外,定量鼻咽定植密度还与死亡率和预后生物标志物相关。它也可能作为HIV感染成年人肺炎球菌肺炎的严重程度标志物。

https://cdn.ncbi.nlm.nih.gov/pmc/blobs/944b/4127937/39107f20270a/bmjopen2014005953f01.jpg

文献AI研究员

20分钟写一篇综述,助力文献阅读效率提升50倍。

立即体验

用中文搜PubMed

大模型驱动的PubMed中文搜索引擎

马上搜索

文档翻译

学术文献翻译模型,支持多种主流文档格式。

立即体验