Suppr超能文献

针对脑肿瘤患者中癌症干细胞样细胞的化疗预测检测

Chemo-predictive assay for targeting cancer stem-like cells in patients affected by brain tumors.

作者信息

Mathis Sarah E, Alberico Anthony, Nande Rounak, Neto Walter, Lawrence Logan, McCallister Danielle R, Denvir James, Kimmey Gerrit A, Mogul Mark, Oakley Gerard, Denning Krista L, Dougherty Thomas, Valluri Jagan V, Claudio Pier Paolo

机构信息

Department of Biochemistry and Microbiology, Joan C. Edwards School of Medicine, Marshall University, Huntington, West Virginia, United States of America; Translational Genomic Research Institute, Marshall University, Huntington, West Virginia, United States of America.

Department of Neurosurgery, Joan C. Edwards School of Medicine, Marshall University, Huntington, West Virginia, United States of America.

出版信息

PLoS One. 2014 Aug 21;9(8):e105710. doi: 10.1371/journal.pone.0105710. eCollection 2014.

Abstract

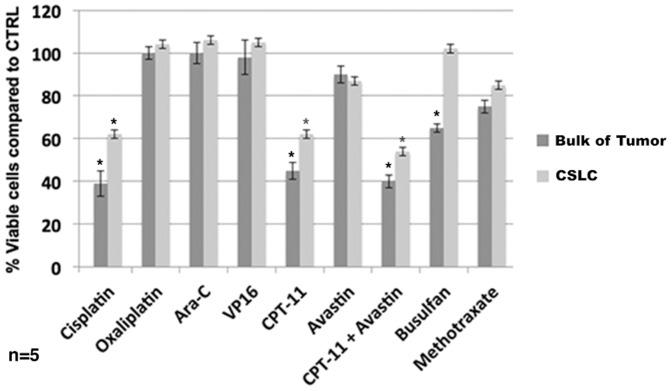
Administration of ineffective anticancer therapy is associated with unnecessary toxicity and development of resistant clones. Cancer stem-like cells (CSLCs) resist chemotherapy, thereby causing relapse of the disease. Thus, development of a test that identifies the most effective chemotherapy management offers great promise for individualized anticancer treatments. We have developed an ex vivo chemotherapy sensitivity assay (ChemoID), which measures the sensitivity of CSLCs as well as the bulk of tumor cells to a variety of chemotherapy agents. Two patients, a 21-year old male (patient 1) and a 5-month female (patient 2), affected by anaplastic WHO grade-III ependymoma were screened using the ChemoID assay. Patient 1 was found sensitive to the combination of irinotecan and bevacizumab, which resulted in a prolonged disease progression free period of 18 months. Following recurrence, the combination of various chemotherapy drugs was tested again with the ChemoID assay. We found that benzyl isothiocyanate (BITC) greatly increased the chemosensitivity of the ependymoma cells to the combination of irinotecan and bevacizumab. After patient 1 was treated for two months with irinotecan, bevacizumab and supplements of cruciferous vegetable extracts containing BITC, we observed over 50% tumoral regression in comparison with pre-ChemoID scan as evidenced by MRI. Patient 2 was found resistant to all treatments tested and following 6 cycles of vincristine, carboplatin, cyclophosphamide, etoposide, and cisplatin in various combinations, the tumor of this patient rapidly progressed and proton beam therapy was recommended. As expected animal studies conducted with patient derived xenografts treated with ChemoID screened drugs recapitulated the clinical observation. This assay demonstrates that patients with the same histological stage and grade of cancer may vary considerably in their clinical response, suggesting that ChemoID testing which measures the sensitivity of CSLCs as well as the bulk of tumor cells to a variety of chemotherapy agents could lead to more effective and personalized anticancer treatments in the future.

摘要

给予无效的抗癌治疗会带来不必要的毒性,并导致耐药克隆的产生。癌症干细胞样细胞(CSLCs)对化疗具有抗性,从而导致疾病复发。因此,开发一种能够确定最有效化疗方案的检测方法,为个体化抗癌治疗带来了巨大希望。我们开发了一种体外化疗敏感性检测方法(ChemoID),该方法可测量CSLCs以及大部分肿瘤细胞对多种化疗药物的敏感性。使用ChemoID检测方法对两名患有间变性世界卫生组织III级室管膜瘤的患者进行了筛查,一名21岁男性(患者1)和一名5个月大的女性(患者2)。发现患者1对伊立替康和贝伐单抗的联合治疗敏感,这导致疾病无进展期延长了18个月。复发后,再次使用ChemoID检测方法测试了各种化疗药物的联合治疗。我们发现异硫氰酸苄酯(BITC)大大提高了室管膜瘤细胞对伊立替康和贝伐单抗联合治疗的化疗敏感性。在患者1接受伊立替康、贝伐单抗以及含BITC的十字花科蔬菜提取物补充剂治疗两个月后,与ChemoID检测前的MRI扫描相比,我们观察到肿瘤消退超过50%。发现患者2对所有测试治疗均耐药,在接受了6个周期的长春新碱、卡铂、环磷酰胺、依托泊苷和顺铂的各种联合治疗后,该患者的肿瘤迅速进展,因此建议进行质子束治疗。正如预期的那样,对用ChemoID筛选的药物治疗的患者来源异种移植进行的动物研究重现了临床观察结果。该检测方法表明,具有相同组织学分期和癌症分级的患者,其临床反应可能有很大差异,这表明测量CSLCs以及大部分肿瘤细胞对多种化疗药物敏感性的ChemoID检测,未来可能会带来更有效和个性化的抗癌治疗。

https://cdn.ncbi.nlm.nih.gov/pmc/blobs/012f/4140819/4f8976be9e13/pone.0105710.g001.jpg

文献AI研究员

20分钟写一篇综述,助力文献阅读效率提升50倍。

立即体验

用中文搜PubMed

大模型驱动的PubMed中文搜索引擎

马上搜索

文档翻译

学术文献翻译模型,支持多种主流文档格式。

立即体验