Suppr超能文献

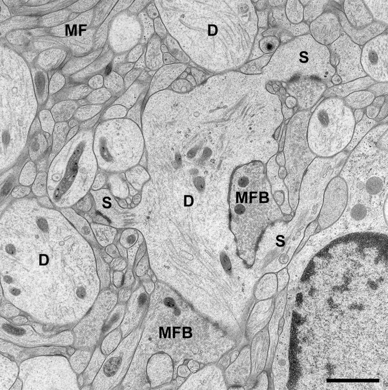
树突棘突触的精细结构。

Fine structure of synapses on dendritic spines.

机构信息

Institute for Structural Neurobiology, Center for Molecular Neurobiology Hamburg, University Medical Center Hamburg-Eppendorf Hamburg Germany.

Institute of Anatomy, University of Bern Bern Switzerland.

出版信息

Front Neuroanat. 2014 Sep 9;8:94. doi: 10.3389/fnana.2014.00094. eCollection 2014.

Abstract

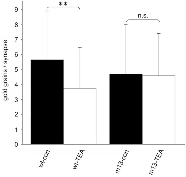
Camillo Golgi's "Reazione Nera" led to the discovery of dendritic spines, small appendages originating from dendritic shafts. With the advent of electron microscopy (EM) they were identified as sites of synaptic contact. Later it was found that changes in synaptic strength were associated with changes in the shape of dendritic spines. While live-cell imaging was advantageous in monitoring the time course of such changes in spine structure, EM is still the best method for the simultaneous visualization of all cellular components, including actual synaptic contacts, at high resolution. Immunogold labeling for EM reveals the precise localization of molecules in relation to synaptic structures. Previous EM studies of spines and synapses were performed in tissue subjected to aldehyde fixation and dehydration in ethanol, which is associated with protein denaturation and tissue shrinkage. It has remained an issue to what extent fine structural details are preserved when subjecting the tissue to these procedures. In the present review, we report recent studies on the fine structure of spines and synapses using high-pressure freezing (HPF), which avoids protein denaturation by aldehydes and results in an excellent preservation of ultrastructural detail. In these studies, HPF was used to monitor subtle fine-structural changes in spine shape associated with chemically induced long-term potentiation (cLTP) at identified hippocampal mossy fiber synapses. Changes in spine shape result from reorganization of the actin cytoskeleton. We report that cLTP was associated with decreased immunogold labeling for phosphorylated cofilin (p-cofilin), an actin-depolymerizing protein. Phosphorylation of cofilin renders it unable to depolymerize F-actin, which stabilizes the actin cytoskeleton. Decreased levels of p-cofilin, in turn, suggest increased actin turnover, possibly underlying the changes in spine shape associated with cLTP. The findings reviewed here establish HPF as an appropriate method for studying the fine structure and molecular composition of synapses on dendritic spines.

摘要

卡米洛·高尔基的“黑色反应”导致了树突棘的发现,树突棘是起源于树突干的小附属物。随着电子显微镜(EM)的出现,它们被确定为突触接触的部位。后来发现,突触强度的变化与树突棘形状的变化有关。虽然活细胞成像在监测这种棘突结构变化的时间过程方面具有优势,但 EM 仍然是同时以高分辨率可视化所有细胞成分(包括实际的突触接触)的最佳方法。用于 EM 的免疫金标记揭示了分子与突触结构的精确定位关系。以前关于棘突和突触的 EM 研究是在经过醛固定和乙醇脱水的组织中进行的,这与蛋白质变性和组织收缩有关。当将组织进行这些处理时,精细结构细节能在多大程度上得到保留仍然是一个问题。在本综述中,我们报告了使用高压冷冻(HPF)进行的棘突和突触精细结构的最新研究,HPF 避免了醛对蛋白质的变性作用,从而极好地保存了超微结构细节。在这些研究中,HPF 用于监测与化学诱导的长期增强(cLTP)相关的棘突形状的微妙精细结构变化,该变化发生在已识别的海马苔藓纤维突触上。棘突形状的变化源于肌动蛋白细胞骨架的重组。我们报告称,cLTP 与磷酸化丝切蛋白(p-cofilin)的免疫金标记减少有关,磷酸化丝切蛋白是一种肌动蛋白解聚蛋白。丝切蛋白的磷酸化使其无法解聚 F-肌动蛋白,从而稳定肌动蛋白细胞骨架。p-cofilin 水平的降低反过来表明肌动蛋白周转率增加,这可能是与 cLTP 相关的棘突形状变化的基础。这里综述的发现确立了 HPF 作为研究树突棘上突触的精细结构和分子组成的合适方法。

https://cdn.ncbi.nlm.nih.gov/pmc/blobs/aa5e/4158982/803542169b12/fnana-08-00094-g001.jpg

文献AI研究员

20分钟写一篇综述,助力文献阅读效率提升50倍。

立即体验

用中文搜PubMed

大模型驱动的PubMed中文搜索引擎

马上搜索

文档翻译

学术文献翻译模型,支持多种主流文档格式。

立即体验