• 文献检索
  • 文档翻译
  • 深度研究
  • 学术资讯
  • Suppr Zotero 插件Zotero 插件
  • 邀请有礼
  • 套餐&价格
  • 历史记录
应用&插件
Suppr Zotero 插件Zotero 插件浏览器插件Mac 客户端Windows 客户端微信小程序
定价
高级版会员购买积分包购买API积分包
服务
文献检索文档翻译深度研究API 文档MCP 服务
关于我们
关于 Suppr公司介绍联系我们用户协议隐私条款
关注我们

Suppr 超能文献

核心技术专利:CN118964589B侵权必究
粤ICP备2023148730 号-1Suppr @ 2026

文献检索

告别复杂PubMed语法,用中文像聊天一样搜索,搜遍4000万医学文献。AI智能推荐,让科研检索更轻松。

立即免费搜索

文件翻译

保留排版,准确专业,支持PDF/Word/PPT等文件格式,支持 12+语言互译。

免费翻译文档

深度研究

AI帮你快速写综述,25分钟生成高质量综述,智能提取关键信息,辅助科研写作。

立即免费体验

用于癌症诊疗应用的共价IR820-聚乙二醇-二胺纳米共轭物

Covalent IR820-PEG-diamine nanoconjugates for theranostic applications in cancer.

作者信息

Fernandez-Fernandez Alicia, Manchanda Romila, Carvajal Denny A, Lei Tingjun, Srinivasan Supriya, McGoron Anthony J

机构信息

Biomedical Engineering Department, Florida International University, Miami, FL, USA ; Physical Therapy Department, Nova Southeastern University, Fort Lauderdale, FL, USA.

Biomedical Engineering Department, Florida International University, Miami, FL, USA ; Chemistry Department, Galgotias University, Greater Noida, UP, India.

出版信息

Int J Nanomedicine. 2014 Oct 6;9:4631-48. doi: 10.2147/IJN.S69550. eCollection 2014.

DOI:10.2147/IJN.S69550
PMID:25336944
原文链接:https://pmc.ncbi.nlm.nih.gov/articles/PMC4200025/
Abstract

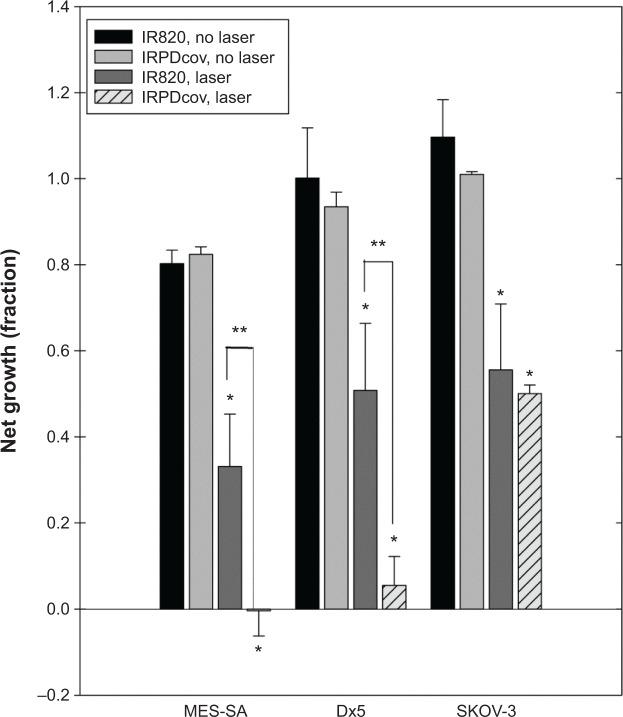
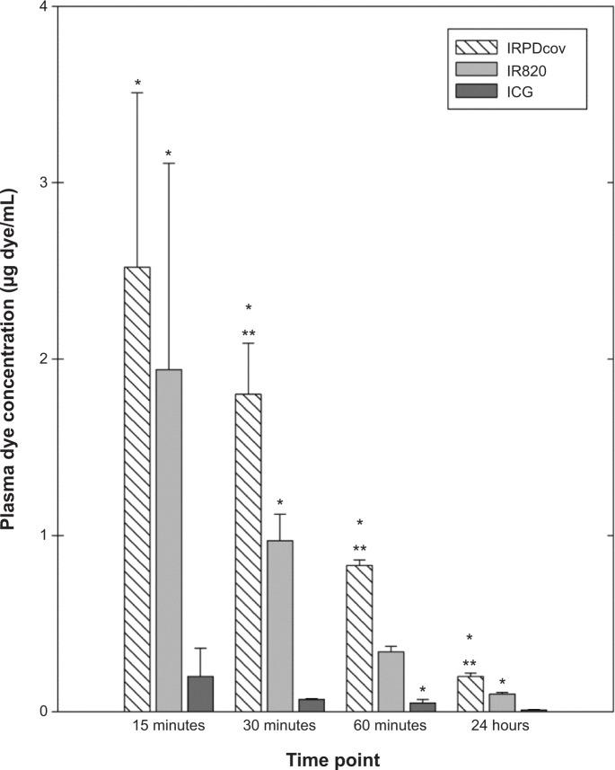
Near-infrared dyes can be used as theranostic agents in cancer management, based on their optical imaging and localized hyperthermia capabilities. However, their clinical translatability is limited by issues such as photobleaching, short circulation times, and nonspecific biodistribution. Nanoconjugate formulations of cyanine dyes, such as IR820, may be able to overcome some of these limitations. We covalently conjugated IR820 with 6 kDa polyethylene glycol (PEG)-diamine to create a nanoconjugate (IRPDcov) with potential for in vivo applications. The conjugation process resulted in nearly spherical, uniformly distributed nanoparticles of approximately 150 nm diameter and zeta potential -0.4±0.3 mV. The IRPDcov formulation retained the ability to fluoresce and to cause hyperthermia-mediated cell-growth inhibition, with enhanced internalization and significantly enhanced cytotoxic hyperthermia effects in cancer cells compared with free dye. Additionally, IRPDcov demonstrated a significantly longer (P<0.05) plasma half-life, elimination half-life, and area under the curve (AUC) value compared with IR820, indicating larger overall exposure to the theranostic agent in mice. The IRPDcov conjugate had different organ localization than did free IR820, with potential reduced accumulation in the kidneys and significantly lower (P<0.05) accumulation in the lungs. Some potential advantages of IR820-PEG-diamine nanoconjugates may include passive targeting of tumor tissue through the enhanced permeability and retention effect, prolonged circulation times resulting in increased windows for combined diagnosis and therapy, and further opportunities for functionalization, targeting, and customization. The conjugation of PEG-diamine with a near-infrared dye provides a multifunctional delivery vector whose localization can be monitored with noninvasive techniques and that may also serve for guided hyperthermia cancer treatments.

摘要

基于其光学成像和局部热疗能力,近红外染料可作为癌症治疗诊断剂用于癌症管理。然而,它们的临床可转化性受到诸如光漂白、循环时间短和非特异性生物分布等问题的限制。花青染料的纳米共轭制剂,如IR820,可能能够克服其中一些限制。我们将IR820与6 kDa聚乙二醇(PEG)-二胺共价共轭,以制备具有体内应用潜力的纳米共轭物(IRPDcov)。共轭过程产生了直径约150 nm、zeta电位为-0.4±0.3 mV的近球形、均匀分布的纳米颗粒。IRPDcov制剂保留了荧光能力和引起热疗介导的细胞生长抑制的能力,与游离染料相比,其内化增强,在癌细胞中的细胞毒性热疗效果显著增强。此外,与IR820相比,IRPDcov的血浆半衰期、消除半衰期和曲线下面积(AUC)值显著更长(P<0.05),表明小鼠体内对治疗诊断剂的总体暴露量更大。IRPDcov共轭物与游离IR820的器官定位不同,在肾脏中的蓄积可能减少,在肺部中的蓄积显著更低(P<0.05)。IR820-PEG-二胺纳米共轭物的一些潜在优势可能包括通过增强的渗透和滞留效应被动靶向肿瘤组织、延长循环时间从而增加联合诊断和治疗的时间窗,以及进一步的功能化、靶向和定制机会。PEG-二胺与近红外染料的共轭提供了一种多功能递送载体,其定位可以通过非侵入性技术进行监测,并且还可用于引导性热疗癌症治疗。

https://cdn.ncbi.nlm.nih.gov/pmc/blobs/37f3/4200025/59f2f8b4ccea/ijn-9-4631Fig10.jpg
https://cdn.ncbi.nlm.nih.gov/pmc/blobs/37f3/4200025/40f4684dbf86/ijn-9-4631Fig1.jpg
https://cdn.ncbi.nlm.nih.gov/pmc/blobs/37f3/4200025/8b5fd0ec4daa/ijn-9-4631Fig2.jpg
https://cdn.ncbi.nlm.nih.gov/pmc/blobs/37f3/4200025/05906bb96f95/ijn-9-4631Fig3.jpg
https://cdn.ncbi.nlm.nih.gov/pmc/blobs/37f3/4200025/da6da8d1bb96/ijn-9-4631Fig4.jpg
https://cdn.ncbi.nlm.nih.gov/pmc/blobs/37f3/4200025/2dc2dacf45b6/ijn-9-4631Fig5.jpg
https://cdn.ncbi.nlm.nih.gov/pmc/blobs/37f3/4200025/a83ed2a98b89/ijn-9-4631Fig6.jpg
https://cdn.ncbi.nlm.nih.gov/pmc/blobs/37f3/4200025/69db3a699f25/ijn-9-4631Fig7.jpg
https://cdn.ncbi.nlm.nih.gov/pmc/blobs/37f3/4200025/4e47e50f3d02/ijn-9-4631Fig8.jpg
https://cdn.ncbi.nlm.nih.gov/pmc/blobs/37f3/4200025/2339efff4552/ijn-9-4631Fig9.jpg
https://cdn.ncbi.nlm.nih.gov/pmc/blobs/37f3/4200025/59f2f8b4ccea/ijn-9-4631Fig10.jpg
https://cdn.ncbi.nlm.nih.gov/pmc/blobs/37f3/4200025/40f4684dbf86/ijn-9-4631Fig1.jpg
https://cdn.ncbi.nlm.nih.gov/pmc/blobs/37f3/4200025/8b5fd0ec4daa/ijn-9-4631Fig2.jpg
https://cdn.ncbi.nlm.nih.gov/pmc/blobs/37f3/4200025/05906bb96f95/ijn-9-4631Fig3.jpg
https://cdn.ncbi.nlm.nih.gov/pmc/blobs/37f3/4200025/da6da8d1bb96/ijn-9-4631Fig4.jpg
https://cdn.ncbi.nlm.nih.gov/pmc/blobs/37f3/4200025/2dc2dacf45b6/ijn-9-4631Fig5.jpg
https://cdn.ncbi.nlm.nih.gov/pmc/blobs/37f3/4200025/a83ed2a98b89/ijn-9-4631Fig6.jpg
https://cdn.ncbi.nlm.nih.gov/pmc/blobs/37f3/4200025/69db3a699f25/ijn-9-4631Fig7.jpg
https://cdn.ncbi.nlm.nih.gov/pmc/blobs/37f3/4200025/4e47e50f3d02/ijn-9-4631Fig8.jpg
https://cdn.ncbi.nlm.nih.gov/pmc/blobs/37f3/4200025/2339efff4552/ijn-9-4631Fig9.jpg
https://cdn.ncbi.nlm.nih.gov/pmc/blobs/37f3/4200025/59f2f8b4ccea/ijn-9-4631Fig10.jpg

相似文献

1
Covalent IR820-PEG-diamine nanoconjugates for theranostic applications in cancer.用于癌症诊疗应用的共价IR820-聚乙二醇-二胺纳米共轭物
Int J Nanomedicine. 2014 Oct 6;9:4631-48. doi: 10.2147/IJN.S69550. eCollection 2014.
2
Near-infrared fluorescing IR820-chitosan conjugate for multifunctional cancer theranostic applications.近红外荧光染料 IR820-壳聚糖偶联物在多功能癌症诊疗中的应用。
J Photochem Photobiol B. 2013 Feb 5;119:52-9. doi: 10.1016/j.jphotobiol.2012.12.008. Epub 2012 Dec 28.
3
Comparative study of the optical and heat generation properties of IR820 and indocyanine green.IR820 和吲哚菁绿的光学和热生成性能比较研究。
Mol Imaging. 2012 Apr;11(2):99-113.
4
IR820 covalently linked with self-assembled polypeptide for photothermal therapy applications in cancer.IR820 通过共价键与自组装多肽相连,用于癌症的光热治疗应用。
Biomater Sci. 2018 Nov 1;6(11):2925-2931. doi: 10.1039/c8bm00399h. Epub 2018 Sep 19.
5
pH- and Enzyme-Sensitive IR820-Paclitaxel Conjugate Self-Assembled Nanovehicles for Near-Infrared Fluorescence Imaging-Guided Chemo-Photothermal Therapy.pH 和酶敏感的 IR820-紫杉醇偶联物自组装纳米载体用于近红外荧光成像引导的化疗-光热治疗。
ACS Appl Mater Interfaces. 2018 Sep 12;10(36):30092-30102. doi: 10.1021/acsami.8b09098. Epub 2018 Aug 30.
6
Superstable Magnetic Nanoparticles in Conjugation with Near-Infrared Dye as a Multimodal Theranostic Platform.与近红外染料结合的超稳定磁性纳米颗粒作为多模态诊疗平台
ACS Appl Mater Interfaces. 2016 Feb;8(7):4424-33. doi: 10.1021/acsami.5b11308. Epub 2016 Feb 10.
7
Multifunctional organically modified silica nanoparticles for chemotherapy, adjuvant hyperthermia and near infrared imaging.用于化疗、辅助热疗和近红外成像的多功能有机改性二氧化硅纳米颗粒。
Colloids Surf B Biointerfaces. 2016 Nov 1;147:492-500. doi: 10.1016/j.colsurfb.2016.07.048. Epub 2016 Aug 18.
8
Nanoplexes for cell imaging and hyperthermia: in vitro studies.用于细胞成像和热疗的纳米复合物:体外研究。
J Biomed Nanotechnol. 2012 Aug;8(4):686-94. doi: 10.1166/jbn.2012.1413.
9
Polyethylene glycol modified ORMOSIL theranostic nanoparticles for triggered doxorubicin release and deep drug delivery into ovarian cancer spheroids.聚乙二醇修饰的 ORMOSIL 诊疗一体纳米粒用于触发阿霉素释放和深入递送至卵巢癌细胞球。
J Photochem Photobiol B. 2017 Sep;174:209-216. doi: 10.1016/j.jphotobiol.2017.07.020. Epub 2017 Jul 27.
10
Development of Multifunctional Polydopamine Nanoparticles As a Theranostic Nanoplatform against Cancer Cells.多功能聚多巴胺纳米粒子的开发作为一种治疗癌症的多功能纳米平台。
Langmuir. 2018 Aug 14;34(32):9516-9524. doi: 10.1021/acs.langmuir.8b01769. Epub 2018 Aug 2.

引用本文的文献

1
(Nano)biotechnological approaches in the treatment of cervical cancer: integration of engineering and biology.(纳米)生物技术在宫颈癌治疗中的应用:工程学与生物学的融合。
Front Immunol. 2024 Sep 13;15:1461894. doi: 10.3389/fimmu.2024.1461894. eCollection 2024.
2
Theranostic and Combined Approaches Exploiting Multifunctional Gold Nanoclusters in Tumoral Ecosystems: A Paradigm Shift in Precision Oncology.治疗诊断一体化及联合策略在肿瘤微环境中利用多功能金纳米簇:精准肿瘤学的范式转变。
Curr Radiopharm. 2024;17(4):330-340. doi: 10.2174/0118744710283369240328082442.
3
Theranostics: a multifaceted approach utilizing nano-biomaterials.

本文引用的文献

1
Thermal and pH Sensitive Multifunctional Polymer Nanoparticles for Cancer Imaging and Therapy.用于癌症成像与治疗的热和pH敏感多功能聚合物纳米颗粒
RSC Adv. 2014 Jan 1;4(34):17959-17968. doi: 10.1039/C4RA01112K.
2
Targeted nanoparticles for simultaneous delivery of chemotherapeutic and hyperthermia agents--an in vitro study.靶向纳米颗粒用于同时递送化疗药物和热疗药物——一项体外研究。
J Photochem Photobiol B. 2014 Jul 5;136:81-90. doi: 10.1016/j.jphotobiol.2014.04.012. Epub 2014 Apr 29.
3
Theranostic nanoparticles for future personalized medicine.
治疗诊断学:一种利用纳米生物材料的多方面方法。
Discov Nano. 2024 Feb 26;19(1):35. doi: 10.1186/s11671-024-03979-w.
4
Reduction-responsive worm-like nanoparticles for synergistic cancer chemo-photodynamic therapy.用于协同癌症化学-光动力疗法的还原响应性蠕虫状纳米颗粒。
Mater Today Bio. 2023 Jan 4;18:100542. doi: 10.1016/j.mtbio.2023.100542. eCollection 2023 Feb.
5
IR820 functionalized melanin nanoplates for dual-modal imaging and photothermal tumor eradication.用于双模态成像和光热肿瘤根除的IR820功能化黑色素纳米片
Nanoscale Adv. 2020 May 5;2(6):2587-2594. doi: 10.1039/d0na00236d. eCollection 2020 Jun 17.
6
Nanocluster-Based Drug Delivery and Theranostic Systems: Towards Cancer Therapy.基于纳米团簇的药物递送与诊疗系统:迈向癌症治疗
Polymers (Basel). 2022 Mar 16;14(6):1188. doi: 10.3390/polym14061188.
7
Magnetic-Plasmonic Heterodimer Nanoparticles: Designing Contemporarily Features for Emerging Biomedical Diagnosis and Treatments.磁等离子体异二聚体纳米颗粒:为新兴生物医学诊断与治疗设计当代特征
Nanomaterials (Basel). 2019 Jan 13;9(1):97. doi: 10.3390/nano9010097.
8
Hydrophobic binding peptide-conjugated hybrid lipid-mesoporous silica nanoparticles for effective chemo-photothermal therapy of pancreatic cancer.用于胰腺癌有效化学-光热治疗的疏水结合肽共轭杂化脂质-介孔二氧化硅纳米粒子
Drug Deliv. 2017 Nov;24(1):1690-1702. doi: 10.1080/10717544.2017.1396382.
9
Near-Infrared Heptamethine Cyanine Based Iron Oxide Nanoparticles for Tumor Targeted Multimodal Imaging and Photothermal Therapy.基于近红外七甲川菁染料的氧化铁纳米粒子用于肿瘤靶向多模态成像和光热治疗。
Sci Rep. 2017 May 18;7(1):2108. doi: 10.1038/s41598-017-01108-5.
10
Facile Fabrication of Near-Infrared-Resonant and Magnetic Resonance Imaging-Capable Nanomediators for Photothermal Therapy.用于光热疗法的近红外共振及磁共振成像纳米介质的简易制备
ACS Appl Mater Interfaces. 2015 Jun 17;7(23):12814-23. doi: 10.1021/acsami.5b01991. Epub 2015 Jun 5.
用于未来个性化医学的治疗诊断纳米颗粒。
J Control Release. 2014 Sep 28;190:477-84. doi: 10.1016/j.jconrel.2014.04.027. Epub 2014 Apr 26.
4
Near-infrared dye loaded polymeric nanoparticles for cancer imaging and therapy and cellular response after laser-induced heating.载近红外染料的聚合物纳米粒用于癌症成像和治疗以及激光诱导加热后的细胞反应。
Beilstein J Nanotechnol. 2014 Mar 18;5:313-22. doi: 10.3762/bjnano.5.35. eCollection 2014.
5
Theranostics: fusion of therapeutics and diagnostics.
Pharm Res. 2014 Jun;31(6):1355-7. doi: 10.1007/s11095-014-1343-1. Epub 2014 Mar 13.
6
Theranostic nanoparticles for cancer and cardiovascular applications.用于癌症和心血管疾病治疗的诊疗纳米颗粒。
Pharm Res. 2014 Jun;31(6):1390-406. doi: 10.1007/s11095-013-1277-z. Epub 2014 Mar 5.
7
Increasing the rate of heating: a potential therapeutic approach for achieving synergistic tumour killing in combined hyperthermia and chemotherapy.提高加热速率:联合高热与化疗实现协同肿瘤杀伤的潜在治疗方法。
Int J Hyperthermia. 2013;29(2):145-55. doi: 10.3109/02656736.2012.760757. Epub 2013 Jan 25.
8
Near-infrared fluorescing IR820-chitosan conjugate for multifunctional cancer theranostic applications.近红外荧光染料 IR820-壳聚糖偶联物在多功能癌症诊疗中的应用。
J Photochem Photobiol B. 2013 Feb 5;119:52-9. doi: 10.1016/j.jphotobiol.2012.12.008. Epub 2012 Dec 28.
9
Challenges to effective cancer nanotheranostics.癌症纳米治疗学的挑战。
J Control Release. 2012 Dec 10;164(2):177-82. doi: 10.1016/j.jconrel.2012.07.045. Epub 2012 Aug 18.
10
Nanoplexes for cell imaging and hyperthermia: in vitro studies.用于细胞成像和热疗的纳米复合物:体外研究。
J Biomed Nanotechnol. 2012 Aug;8(4):686-94. doi: 10.1166/jbn.2012.1413.