Suppr超能文献

来自南极鳕鱼的 γS-晶状体蛋白:一个研究化学和热变性差异抗性的模型系统。

γS-crystallin proteins from the Antarctic nototheniid toothfish: a model system for investigating differential resistance to chemical and thermal denaturation.

机构信息

Department of Chemistry, University of California-Irvine , 1102 Natural Sciences 2, Irvine, California, 92697-2025, United States.

出版信息

J Phys Chem B. 2014 Nov 26;118(47):13544-53. doi: 10.1021/jp509134d. Epub 2014 Nov 18.

Abstract

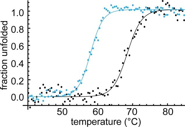
The γS1- and γS2-crystallins, structural eye lens proteins from the Antarctic toothfish (Dissostichus mawsoni), are homologues of the human lens protein γS-crystallin. Although γS1 has the higher thermal stability of the two, it is more susceptible to chemical denaturation by urea. The lower thermodynamic stability of both toothfish crystallins relative to human γS-crystallin is consistent with the current picture of how proteins from organisms endemic to perennially cold environments have achieved low-temperature functionality via greater structural flexibility. In some respects, the sequences of γS1- and γS2-crystallin are typical of psychrophilic proteins; however, their amino acid compositions also reflect their selection for a high refractive index increment. Like their counterparts in the human lens and those of mesophilic fish, both toothfish crystallins are relatively enriched in aromatic residues and methionine and exiguous in aliphatic residues. The sometimes contradictory requirements of selection for cold tolerance and high refractive index make the toothfish crystallins an excellent model system for further investigation of the biophysical properties of structural proteins.

摘要

γS1-和γS2-晶状体蛋白是来自南极牙鱼(Dissostichus mawsoni)的结构型眼晶状体蛋白,与人类晶状体蛋白 γS-晶状体蛋白具有同源性。虽然γS1 的热稳定性高于γS2,但它更容易受到尿素的化学变性。与人类γS-晶状体蛋白相比,两种牙鱼晶状体蛋白的热力学稳定性较低,这与目前关于来自常年寒冷环境的生物体的蛋白质如何通过更大的结构灵活性来实现低温功能的观点一致。在某些方面,γS1-和γS2-晶状体蛋白的序列是典型的嗜冷蛋白;然而,它们的氨基酸组成也反映了它们对高折射率增量的选择。像人类晶状体中的同类蛋白和适温鱼类的蛋白一样,两种牙鱼晶状体蛋白都相对富含芳香族残基和蛋氨酸,而脂肪族残基较少。对耐寒性和高折射率的选择有时会相互矛盾,这使得牙鱼晶状体蛋白成为进一步研究结构蛋白生物物理特性的理想模型系统。

https://cdn.ncbi.nlm.nih.gov/pmc/blobs/b303/4254003/56469325588a/jp-2014-09134d_0001.jpg

文献检索

告别复杂PubMed语法,用中文像聊天一样搜索,搜遍4000万医学文献。AI智能推荐,让科研检索更轻松。

立即免费搜索

文件翻译

保留排版,准确专业,支持PDF/Word/PPT等文件格式,支持 12+语言互译。

免费翻译文档

深度研究

AI帮你快速写综述,25分钟生成高质量综述,智能提取关键信息,辅助科研写作。

立即免费体验