Xu Ji-Feng, Yang Guang-Hai, Pan Xiao-Hong, Zhang Shui-Jun, Zhao Chen, Qiu Bin-Song, Gu Hai-Feng, Hong Jian-Fei, Cao Li, Chen Yu, Xia Bing, Bi Qin, Wang Ya-Ping
Department of Orthopedics and Joint Surgery, Zhejiang Provincial People's Hospital, Hangzhou, 310014, PR China.
Department of Thoracic Surgery, Union Hospital, Tongji Medical College, Huazhong University of Science and Technology, Wuhan, 430022, PR China.
PLoS One. 2014 Dec 11;9(12):e114627. doi: 10.1371/journal.pone.0114627. eCollection 2014.
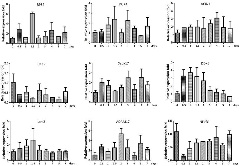
The physiological role of microRNAs (miRNAs) in osteoblast differentiation remains elusive. Exosomal miRNAs isolated from human bone marrow-derived mesenchymal stem cells (BMSCs) culture were profiled using miRNA arrays containing probes for 894 human matured miRNAs. Seventy-nine miRNAs (∼8.84%) could be detected in exosomes isolated from BMSC culture supernatants when normalized to endogenous control genes RNU44. Among them, nine exosomal miRNAs were up regulated and 4 miRNAs were under regulated significantly (Relative fold>2, p<0.05) when compared with the values at 0 day with maximum changes at 1 to 7 days. Five miRNAs (miR-199b, miR-218, miR-148a, miR-135b, and miR-221) were further validated and differentially expressed in the individual exosomal samples from hBMSCs cultured at different time points. Bioinformatic analysis by DIANA-mirPath demonstrated that RNA degradation, mRNA surveillance pathway, Wnt signaling pathway, RNA transport were the most prominent pathways enriched in quantiles with differential exosomal miRNA patterns related to osteogenic differentiation. These data demonstrated exosomal miRNA is a regulator of osteoblast differentiation.
微小RNA(miRNA)在成骨细胞分化中的生理作用仍不清楚。使用包含894种人类成熟miRNA探针的miRNA阵列对从人骨髓间充质干细胞(BMSC)培养物中分离的外泌体miRNA进行分析。以内源性对照基因RNU44进行标准化后,在从BMSC培养上清液中分离的外泌体中可检测到79种miRNA(约8.84%)。与第0天的值相比,其中9种外泌体miRNA上调,4种miRNA显著下调(相对倍数>2,p<0.05),在第1至7天变化最大。进一步验证了5种miRNA(miR-199b、miR-218、miR-148a、miR-135b和miR-221),并在不同时间点培养的hBMSC的单个外泌体样本中差异表达。DIANA-mirPath的生物信息学分析表明,RNA降解、mRNA监测途径、Wnt信号通路、RNA转运是与成骨分化相关的外泌体miRNA差异模式分位数中最显著富集的途径。这些数据表明外泌体miRNA是成骨细胞分化的调节因子。