Suppr超能文献

尿大分子肝素对纳米COM和纳米COD晶体聚集的抑制作用。

Inhibition of urinary macromolecule heparin on aggregation of nano-COM and nano-COD crystals.

作者信息

Ou Yan, Xue Jun-Fa, Tan Cai-Yan, Gui Bao-Song, Sun Xin-Yuan, Ouyang Jian-Ming

机构信息

Department of Nephrology, the Second Hospital of Xi'an Jiaotong University, Xi'an 710004, China.

Institute of Biomineralization and Lithiasis Research, Jinan University, Guangzhou 510632, China.

出版信息

Molecules. 2015 Jan 19;20(1):1626-42. doi: 10.3390/molecules20011626.

Abstract

PURPOSE

This research aims to study the influences of heparin (HP) on the aggregation of nano calcium oxalate monohydrate (COM) and nano calcium oxalate dihydrate (COD) with mean diameter of about 50 nm.

METHOD

The influences of different concentrations of HP on the mean diameter and Zeta potential of nano COM and nano COD were investigated using a nanoparticle size Zeta potential analyzer.

RESULTS

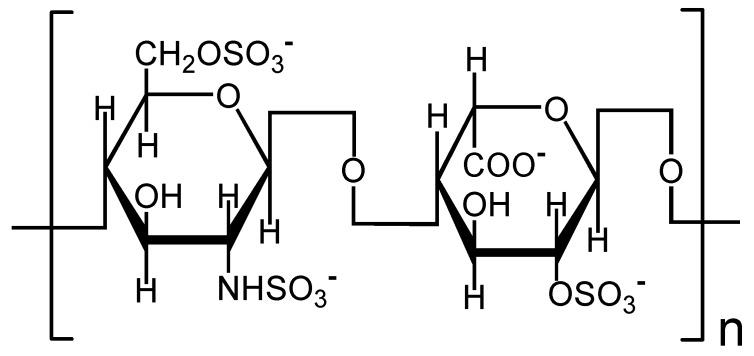
HP could be adsorbed on the surface of nano COM and nano COD crystals, leading to an increase in the absolute value of Zeta potential on the crystals and an increase in the electrostatic repulsion force between crystals. Consequently, the aggregation of the crystals is reduced and the stability of the system is improved. The strong adsorption ability of HP was closely related to the -OSO3- and -COO- groups contained in the HP molecules. X-ray photoelectron spectroscopy confirmed the coordination of HP with Ca2+ ions of COM and COD crystals.

CONCLUSION

HP could inhibit the aggregation of nano COM and nano COD crystals and increase their stability in aqueous solution, which is conducive in inhibiting the formation of calcium oxalate stones.

摘要

目的

本研究旨在探讨肝素(HP)对平均直径约为50 nm的纳米一水合草酸钙(COM)和纳米二水合草酸钙(COD)聚集的影响。

方法

使用纳米粒度Zeta电位分析仪研究不同浓度的HP对纳米COM和纳米COD平均直径和Zeta电位的影响。

结果

HP可吸附在纳米COM和纳米COD晶体表面,导致晶体表面Zeta电位绝对值增加,晶体间静电斥力增大。因此,晶体的聚集减少,体系稳定性提高。HP的强吸附能力与HP分子中含有的 -OSO3- 和 -COO- 基团密切相关。X射线光电子能谱证实了HP与COM和COD晶体的Ca2+离子配位。

结论

HP可抑制纳米COM和纳米COD晶体的聚集并增加其在水溶液中的稳定性,这有利于抑制草酸钙结石的形成。

https://cdn.ncbi.nlm.nih.gov/pmc/blobs/15f7/6272453/7e83c345f470/molecules-20-01626-g001.jpg

文献AI研究员

20分钟写一篇综述,助力文献阅读效率提升50倍。

立即体验

用中文搜PubMed

大模型驱动的PubMed中文搜索引擎

马上搜索

文档翻译

学术文献翻译模型,支持多种主流文档格式。

立即体验