Suppr超能文献

二氧化锡/石墨烯复合材料作为锂离子电池负极材料具有优异的循环性能和高可逆容量。

Superior cycle performance and high reversible capacity of SnO2/graphene composite as an anode material for lithium-ion batteries.

作者信息

Liu Lilai, An Maozhong, Yang Peixia, Zhang Jinqiu

机构信息

1] State Key Laboratory of Urban Water Resource and Environment, School of Chemical Engineering and Technology, Harbin Institute of Technology, Harbin 150001, China [2] College of Environmental and Chemical Engineering, Heilongjiang University of Science and Technology, Harbin 150022, China.

State Key Laboratory of Urban Water Resource and Environment, School of Chemical Engineering and Technology, Harbin Institute of Technology, Harbin 150001, China.

出版信息

Sci Rep. 2015 Mar 12;5:9055. doi: 10.1038/srep09055.

Abstract

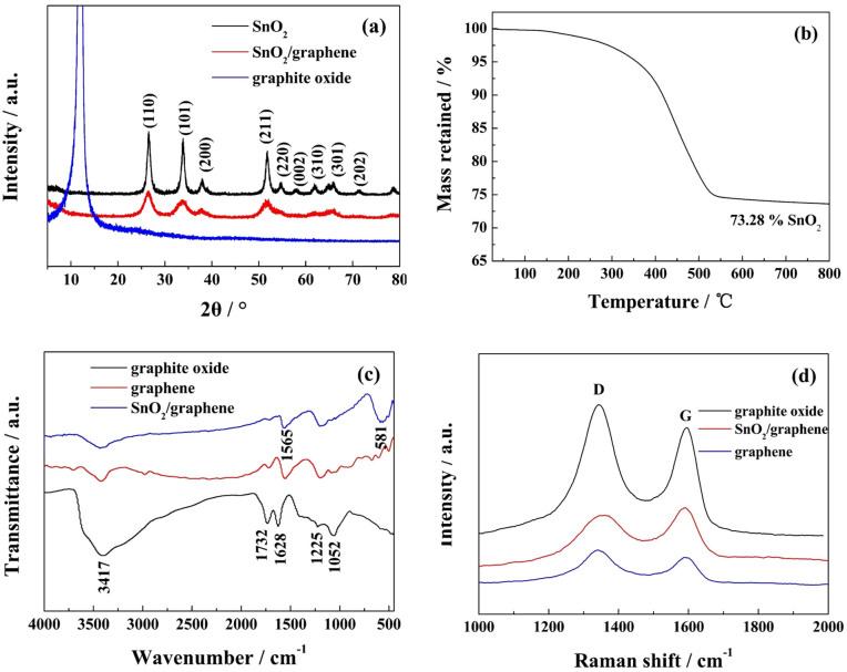
SnO2/graphene composite with superior cycle performance and high reversible capacity was prepared by a one-step microwave-hydrothermal method using a microwave reaction system. The SnO2/graphene composite was characterized by X-ray diffraction, thermogravimetric analysis, Fourier-transform infrared spectroscopy, Raman spectroscopy, scanning electron microscope, X-ray photoelectron spectroscopy, transmission electron microscopy and high resolution transmission electron microscopy. The size of SnO2 grains deposited on graphene sheets is less than 3.5 nm. The SnO2/graphene composite exhibits high capacity and excellent electrochemical performance in lithium-ion batteries. The first discharge and charge capacities at a current density of 100 mA g(-1) are 2213 and 1402 mA h g(-1) with coulomb efficiencies of 63.35%. The discharge specific capacities remains 1359, 1228, 1090 and 1005 mA h g(-1) after 100 cycles at current densities of 100, 300, 500 and 700 mA g(-1), respectively. Even at a high current density of 1000 mA g(-1), the first discharge and charge capacities are 1502 and 876 mA h g(-1), and the discharge specific capacities remains 1057 and 677 mA h g(-1) after 420 and 1000 cycles, respectively. The SnO2/graphene composite demonstrates a stable cycle performance and high reversible capacity for lithium storage.

摘要

采用微波反应系统,通过一步微波水热法制备了具有优异循环性能和高可逆容量的SnO₂/石墨烯复合材料。利用X射线衍射、热重分析、傅里叶变换红外光谱、拉曼光谱、扫描电子显微镜、X射线光电子能谱、透射电子显微镜和高分辨率透射电子显微镜对SnO₂/石墨烯复合材料进行了表征。沉积在石墨烯片上的SnO₂晶粒尺寸小于3.5 nm。SnO₂/石墨烯复合材料在锂离子电池中表现出高容量和优异的电化学性能。在100 mA g⁻¹的电流密度下,首次放电和充电容量分别为2213和1402 mA h g⁻¹,库仑效率为63.35%。在100、300、500和700 mA g⁻¹的电流密度下循环100次后,放电比容量分别保持在1359、1228、1090和1005 mA h g⁻¹。即使在1000 mA g⁻¹的高电流密度下,首次放电和充电容量分别为1502和876 mA h g⁻¹,在420次和1000次循环后,放电比容量分别保持在1057和677 mA h g⁻¹。SnO₂/石墨烯复合材料展示了稳定的循环性能和高的锂存储可逆容量。

https://cdn.ncbi.nlm.nih.gov/pmc/blobs/0921/4357011/ffe57e64b7c4/srep09055-f1.jpg

文献AI研究员

20分钟写一篇综述,助力文献阅读效率提升50倍。

立即体验

用中文搜PubMed

大模型驱动的PubMed中文搜索引擎

马上搜索

文档翻译

学术文献翻译模型,支持多种主流文档格式。

立即体验