Suppr超能文献

红细胞分布宽度与急性脑卒中患者的神经评分系统。

Red cell distribution width and neurological scoring systems in acute stroke patients.

机构信息

Department of Emergency Medicine, Faculty of Medicine, Selcuk University, Konya, Turkey.

Department of Biochemistry, Faculty of Medicine, Selcuk University, Konya, Turkey.

出版信息

Neuropsychiatr Dis Treat. 2015 Mar 18;11:733-9. doi: 10.2147/NDT.S81525. eCollection 2015.

Abstract

OBJECTIVES

The purpose of the present study was to evaluate the association between the red blood cell distribution width (RDW) and the Glasgow Coma Scale (GCS), Canadian Neurological Scale (CNS), and National Institutes of Health Stroke Scale (NIHSS) scores in patients who had acute ischemic stroke.

METHODS

This prospective observational cohort study included 88 patients who have had acute ischemic stroke and a control group of 40 patients who were evaluated in the Emergency Department for disorders other than acute ischemic stroke. All subjects had RDW determined, and stroke patients had scoring with the GCS, CNS, and NIHSS scores. The GCS, CNS, and NIHSS scores of the patients were rated as mild, moderate, or severe and compared with RDW.

RESULTS

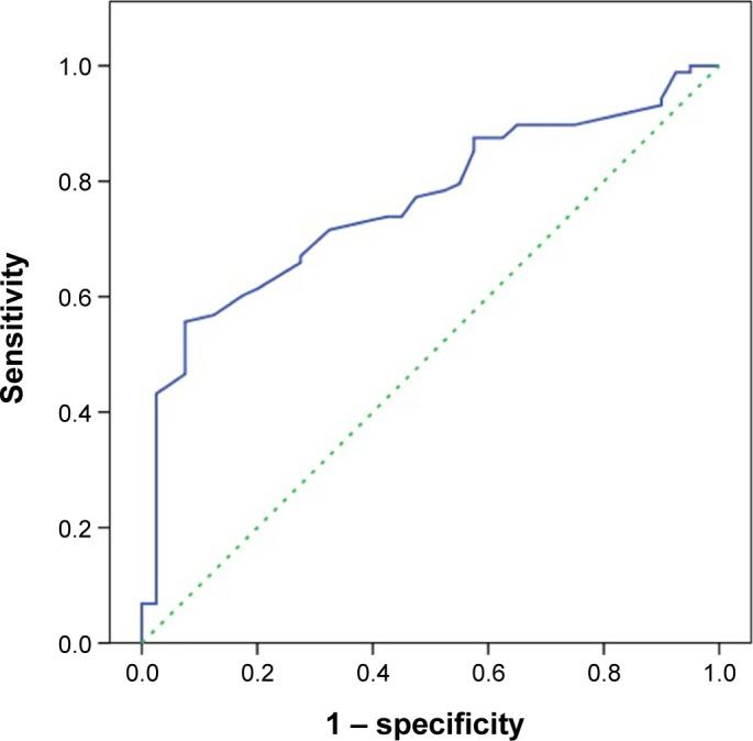
Stroke patients had significantly higher median RDW than control subjects. The median RDW values were significantly elevated in patients who had more severe rather than milder strokes rated with all three scoring systems (GCS, CNS, and NIHSS). The median RDW values were significantly elevated for patients who had moderate rather than mild strokes rated by GCS and CNS and for patients who had severe rather than mild strokes rated by NIHSS. The area under the receiver operating characteristic curve was 0.760 (95% confidence interval, 0.676-0.844). Separation of stroke patients and control groups was optimal with RDW 14% (sensitivity, 71.6%; specificity, 67.5%; accuracy, 70.3%).

CONCLUSION

In stroke patients who have symptoms <24 hours, the RDW may be useful in predicting the severity and functional outcomes of the stroke.

摘要

目的

本研究旨在评估红细胞分布宽度(RDW)与格拉斯哥昏迷量表(GCS)、加拿大神经功能量表(CNS)和美国国立卫生研究院卒中量表(NIHSS)评分在急性缺血性卒中患者中的相关性。

方法

本前瞻性观察性队列研究纳入了 88 例急性缺血性卒中患者和 40 例在急诊科因非急性缺血性卒中就诊的对照组患者。所有患者均进行了 RDW 检测,卒中患者进行了 GCS、CNS 和 NIHSS 评分。将 GCS、CNS 和 NIHSS 评分评定为轻度、中度或重度,并与 RDW 进行比较。

结果

卒中患者的 RDW 中位数显著高于对照组。与轻度卒中相比,所有三种评分系统(GCS、CNS 和 NIHSS)评估的中重度卒中患者的 RDW 中位数明显升高。与 GCS 和 CNS 评估的中度卒中相比,RDW 对 GCS 和 CNS 评估的中度卒中患者和 NIHSS 评估的重度卒中患者的 RDW 中位数升高更为显著。ROC 曲线下面积为 0.760(95%置信区间,0.676-0.844)。以 RDW 14%作为截断值时,卒中患者和对照组的分离效果最佳(灵敏度 71.6%,特异性 67.5%,准确性 70.3%)。

结论

在症状发作<24 小时的卒中患者中,RDW 可能有助于预测卒中的严重程度和功能结局。

https://cdn.ncbi.nlm.nih.gov/pmc/blobs/3a3a/4370912/cb2d159698d5/ndt-11-733Fig1.jpg

文献AI研究员

20分钟写一篇综述,助力文献阅读效率提升50倍。

立即体验

用中文搜PubMed

大模型驱动的PubMed中文搜索引擎

马上搜索

文档翻译

学术文献翻译模型,支持多种主流文档格式。

立即体验