• 文献检索
  • 文档翻译
  • 深度研究
  • 学术资讯
  • Suppr Zotero 插件Zotero 插件
  • 邀请有礼
  • 套餐&价格
  • 历史记录
应用&插件
Suppr Zotero 插件Zotero 插件浏览器插件Mac 客户端Windows 客户端微信小程序
定价
高级版会员购买积分包购买API积分包
服务
文献检索文档翻译深度研究API 文档MCP 服务
关于我们
关于 Suppr公司介绍联系我们用户协议隐私条款
关注我们

Suppr 超能文献

核心技术专利:CN118964589B侵权必究
粤ICP备2023148730 号-1Suppr @ 2026

文献检索

告别复杂PubMed语法,用中文像聊天一样搜索,搜遍4000万医学文献。AI智能推荐,让科研检索更轻松。

立即免费搜索

文件翻译

保留排版,准确专业,支持PDF/Word/PPT等文件格式,支持 12+语言互译。

免费翻译文档

深度研究

AI帮你快速写综述,25分钟生成高质量综述,智能提取关键信息,辅助科研写作。

立即免费体验

Delta-He:一种预测腹膜透析患者死亡率和促红细胞生成素反应的新型炎症标志物。

Delta-He: a novel marker of inflammation predicting mortality and ESA response in peritoneal dialysis patients.

作者信息

Danielson Kristin, Beshara Soheir, Qureshi Abdul Rashid, Heimbürger Olof, Lindholm Bengt, Hansson Magnus, Hylander Britta, Germanis Guna, Stenvinkel Peter, Barany Peter

机构信息

Institution of Laboratory Medicine , Karolinska Institutet , Stockholm , Sweden.

Division of Baxter Novum, CLINTEC, Department of Clinical Science, Intervention and Technology , Karolinska Institutet , Stockholm , Sweden ; Renal Medicine, CLINTEC , Karolinska institutet , Stockholm , Sweden.

出版信息

Clin Kidney J. 2014 Jun;7(3):275-81. doi: 10.1093/ckj/sfu038. Epub 2014 May 14.

DOI:10.1093/ckj/sfu038
PMID:25852889
原文链接:https://pmc.ncbi.nlm.nih.gov/articles/PMC4377757/
Abstract

BACKGROUND

Inflammation impairs erythropoiesis, iron availability and is associated with a higher mortality risk in patients with end-stage renal disease. We studied the associations between Delta-He [the difference between the reticulocyte haemoglobin content (Ret-He) and erythrocyte haemoglobin content], a suggested marker of iron availability, and markers of inflammation, iron status, response to erythropoiesis-stimulating agents (ESAs) and mortality in prevalent peritoneal dialysis (PD) patients.

METHODS

Eighty-two PD patients were followed weekly for 12 weeks with an additional follow-up of 36 months. Delta-He, Ret-He and high-sensitivity C-reactive protein (hs-CRP) were measured weekly and interleukin-6 (IL-6) and iron markers every fourth week. Mortality risk was assessed by Cox proportional hazards model adjusting for potential confounding factors. The relationships between ESA response, inflammatory markers, iron markers and Delta-He were evaluated in the PD patients. The relationship between Delta-He and iron markers was analysed in 87 healthy subjects.

RESULTS

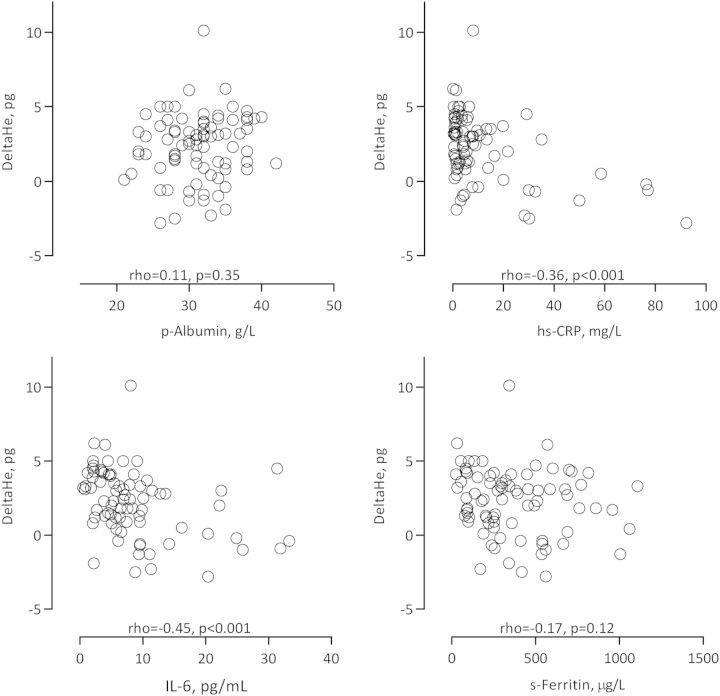
Delta-He correlated with IL-6 (rho = 0.48, P < 0.001), hs-CRP (rho = 0.36, P < 0.001) and ESA hyporesponsivess index (EHRI; rho = -0.44, P < 0.001) in the PD patients. Delta-He did not correlate with iron markers in PD patients nor in healthy subjects. The mean Delta-He levels were significantly different between the tertiles of EHRI (P < 0.01). Delta-He was associated with all-cause mortality risk in PD patients after adjusting for age, gender, hs-CRP, comorbidity and nutritional status [OR 0.70 (0.51-0.96), P < 0.05].

CONCLUSIONS

Delta-He independently predicts all-cause mortality in PD patients after adjusting for potential confounders and is a predictor of ESA response in PD patients.

摘要

背景

炎症会损害红细胞生成和铁的可用性,并且与终末期肾病患者较高的死亡风险相关。我们研究了作为铁可用性指标的Δ-血红蛋白(网织红细胞血红蛋白含量(Ret-He)与红细胞血红蛋白含量之间的差值)与炎症指标、铁状态、促红细胞生成素(ESA)反应及腹膜透析(PD)患者死亡率之间的关联。

方法

82例PD患者每周随访12周,并额外随访36个月。每周测量Δ-血红蛋白、Ret-He和高敏C反应蛋白(hs-CRP),每四周测量白细胞介素-6(IL-6)和铁指标。通过Cox比例风险模型评估死亡风险,并对潜在混杂因素进行校正。评估PD患者中ESA反应、炎症指标、铁指标与Δ-血红蛋白之间的关系。在87名健康受试者中分析Δ-血红蛋白与铁指标之间的关系。

结果

在PD患者中,Δ-血红蛋白与IL-6(ρ = 0.48,P < 0.001)、hs-CRP(ρ = 0.36,P < 0.001)和ESA低反应指数(EHRI;ρ = -0.44,P < 0.001)相关。在PD患者和健康受试者中,Δ-血红蛋白与铁指标均无相关性。EHRI三分位数之间的平均Δ-血红蛋白水平存在显著差异(P < 0.01)。在对年龄、性别、hs-CRP、合并症和营养状况进行校正后,Δ-血红蛋白与PD患者的全因死亡风险相关[比值比0.70(0.51 - 0.96),P < 0.05]。

结论

校正潜在混杂因素后,Δ-血红蛋白可独立预测PD患者的全因死亡率,并且是PD患者ESA反应的预测指标。

https://cdn.ncbi.nlm.nih.gov/pmc/blobs/317b/4377757/3a7b3e53ccff/sfu03804.jpg
https://cdn.ncbi.nlm.nih.gov/pmc/blobs/317b/4377757/5d315488816a/sfu03801.jpg
https://cdn.ncbi.nlm.nih.gov/pmc/blobs/317b/4377757/3ceec763efc6/sfu03802.jpg
https://cdn.ncbi.nlm.nih.gov/pmc/blobs/317b/4377757/479181d9b7d7/sfu03803.jpg
https://cdn.ncbi.nlm.nih.gov/pmc/blobs/317b/4377757/3a7b3e53ccff/sfu03804.jpg
https://cdn.ncbi.nlm.nih.gov/pmc/blobs/317b/4377757/5d315488816a/sfu03801.jpg
https://cdn.ncbi.nlm.nih.gov/pmc/blobs/317b/4377757/3ceec763efc6/sfu03802.jpg
https://cdn.ncbi.nlm.nih.gov/pmc/blobs/317b/4377757/479181d9b7d7/sfu03803.jpg
https://cdn.ncbi.nlm.nih.gov/pmc/blobs/317b/4377757/3a7b3e53ccff/sfu03804.jpg

相似文献

1
Delta-He: a novel marker of inflammation predicting mortality and ESA response in peritoneal dialysis patients.Delta-He:一种预测腹膜透析患者死亡率和促红细胞生成素反应的新型炎症标志物。
Clin Kidney J. 2014 Jun;7(3):275-81. doi: 10.1093/ckj/sfu038. Epub 2014 May 14.
2
IL-6 is an independent risk factor for resistance to erythropoiesis-stimulating agents in hemodialysis patients without iron deficiency.白细胞介素-6是无缺铁情况的血液透析患者对促红细胞生成素产生抵抗的独立危险因素。
Hemodial Int. 2012 Jan;16(1):31-7. doi: 10.1111/j.1542-4758.2011.00635.x.
3
Association of Erythropoietin-Stimulating Agent Responsiveness with Mortality in Hemodialysis and Peritoneal Dialysis Patients.促红细胞生成素刺激剂反应性与血液透析和腹膜透析患者死亡率的关联
PLoS One. 2015 Nov 20;10(11):e0143348. doi: 10.1371/journal.pone.0143348. eCollection 2015.
4
High-volume online haemodiafiltration improves erythropoiesis-stimulating agent (ESA) resistance in comparison with low-flux bicarbonate dialysis: results of the REDERT study.与低通量碳酸氢盐透析相比,高通量在线血液透析滤过可改善促红细胞生成素(ESA)抵抗:REDERT研究结果
Nephrol Dial Transplant. 2015 Apr;30(4):682-9. doi: 10.1093/ndt/gfu345. Epub 2014 Nov 10.
5
2008 Japanese Society for Dialysis Therapy: guidelines for renal anemia in chronic kidney disease.2008年日本透析治疗学会:慢性肾脏病肾性贫血指南
Ther Apher Dial. 2010 Jun;14(3):240-75. doi: 10.1111/j.1744-9987.2010.00836.x.
6
Dialysis modality and nutritional status are associated with variability of inflammatory markers.透析方式和营养状况与炎症标志物的变异性相关。
Nephrol Dial Transplant. 2016 Aug;31(8):1320-7. doi: 10.1093/ndt/gfw104. Epub 2016 May 24.
7
Serum albumin, C-reactive protein, interleukin 6, and fetuin a as predictors of malnutrition, cardiovascular disease, and mortality in patients with ESRD.血清白蛋白、C反应蛋白、白细胞介素6和胎球蛋白A作为终末期肾病患者营养不良、心血管疾病及死亡率的预测指标。
Am J Kidney Dis. 2006 Jan;47(1):139-48. doi: 10.1053/j.ajkd.2005.09.014.
8
Anaemia and resistance to erythropoiesis-stimulating agents as prognostic factors in haemodialysis patients: results from the RISCAVID study.贫血和对红细胞生成刺激剂的抵抗作为血液透析患者的预后因素:来自 RISCAVID 研究的结果。
Nephrol Dial Transplant. 2011 Aug;26(8):2641-8. doi: 10.1093/ndt/gfq802. Epub 2011 Feb 16.
9
Is a single time point C-reactive protein predictive of outcome in peritoneal dialysis patients?单次时间点的C反应蛋白能否预测腹膜透析患者的预后?
J Am Soc Nephrol. 2003 Jul;14(7):1871-9. doi: 10.1097/01.asn.0000070071.57901.b3.
10
Comparison of reticulocyte hemoglobin equivalent with traditional markers of iron and erythropoiesis in pediatric dialysis.小儿透析中网织红细胞血红蛋白当量与传统铁及红细胞生成标志物的比较。
Pediatr Nephrol. 2016 May;31(5):819-26. doi: 10.1007/s00467-015-3284-2. Epub 2015 Dec 14.

引用本文的文献

1
Utility of reticulocyte hemoglobin as a new predictor of anemia in intensive care unit patients.网织红细胞血红蛋白作为重症监护病房患者贫血新预测指标的效用
Front Med (Lausanne). 2025 Apr 9;12:1577047. doi: 10.3389/fmed.2025.1577047. eCollection 2025.
2
Delta-He as a Novel Predictive and Prognostic Biomarker in Patients With NSCLC Treated With PD-1/PD-L1 Inhibitors.Delta-He作为接受PD-1/PD-L1抑制剂治疗的非小细胞肺癌患者的新型预测和预后生物标志物。
Cancer Med. 2025 Apr;14(7):e70826. doi: 10.1002/cam4.70826.
3
Estimating the association between systemic Interleukin-6 and mortality in the dialysis population. Re-analysis of the global fluid study, systematic review and meta-analysis.

本文引用的文献

1
Reticulocyte hemoglobin equivalent to detect thalassemia and thalassemic hemoglobin variants.网织红细胞血红蛋白当量用于检测地中海贫血和地中海贫血血红蛋白变异体。
Int J Lab Hematol. 2012 Dec;34(6):605-13. doi: 10.1111/j.1751-553X.2012.01442.x. Epub 2012 Jul 6.
2
Intraindividual interleukin-6 variations on the cardiovascular prognosis of patients with chronic renal disease.个体内白细胞介素-6 变化对慢性肾脏病患者心血管预后的影响。
Ren Fail. 2012;34(8):1002-9. doi: 10.3109/0886022X.2012.696469. Epub 2012 Jun 29.
3
Mortality associated with dose response of erythropoiesis-stimulating agents in hemodialysis versus peritoneal dialysis patients.
评估透析人群中系统性白细胞介素-6 与死亡率之间的关联。全球液体研究的重新分析、系统评价和荟萃分析。
BMC Nephrol. 2023 Oct 26;24(1):312. doi: 10.1186/s12882-023-03370-4.
4
Improved Diagnosis of Iron Deficiency Anemia in the Critically Ill via Fluorescence Flowcytometric Hemoglobin Biomarkers.荧光流式细胞术血红蛋白生物标志物改善危重症患者缺铁性贫血的诊断。
Cells. 2022 Dec 29;12(1):140. doi: 10.3390/cells12010140.
在血液透析和腹膜透析患者中,红细胞生成刺激剂剂量反应与死亡率的相关性。
Am J Nephrol. 2012;35(2):198-208. doi: 10.1159/000335685. Epub 2012 Jan 26.
4
IL-6 is an independent risk factor for resistance to erythropoiesis-stimulating agents in hemodialysis patients without iron deficiency.白细胞介素-6是无缺铁情况的血液透析患者对促红细胞生成素产生抵抗的独立危险因素。
Hemodial Int. 2012 Jan;16(1):31-7. doi: 10.1111/j.1542-4758.2011.00635.x.
5
Hepcidin and iron regulation, 10 years later.十年后的铁调素与铁稳态调控
Blood. 2011 Apr 28;117(17):4425-33. doi: 10.1182/blood-2011-01-258467. Epub 2011 Feb 23.
6
Anaemia and resistance to erythropoiesis-stimulating agents as prognostic factors in haemodialysis patients: results from the RISCAVID study.贫血和对红细胞生成刺激剂的抵抗作为血液透析患者的预后因素:来自 RISCAVID 研究的结果。
Nephrol Dial Transplant. 2011 Aug;26(8):2641-8. doi: 10.1093/ndt/gfq802. Epub 2011 Feb 16.
7
Inflammation in end-stage renal disease--what have we learned in 10 years?终末期肾病中的炎症——我们在十年中学到了什么?
Semin Dial. 2010 Sep-Oct;23(5):498-509. doi: 10.1111/j.1525-139X.2010.00784.x.
8
Diagnosis of iron deficiency in patients undergoing hemodialysis.诊断正在接受血液透析的患者的缺铁症。
Am J Clin Pathol. 2010 Jun;133(6):949-54. doi: 10.1309/AJCPQAX0JFHFS0OA.
9
Persistent inflammation as a catalyst for other risk factors in chronic kidney disease: a hypothesis proposal.持续性炎症作为慢性肾脏病中其他危险因素的催化剂:假说提出。
Clin J Am Soc Nephrol. 2009 Dec;4 Suppl 1:S49-55. doi: 10.2215/CJN.02720409.
10
Potential utility of the new Sysmex XE 5000 red blood cell extended parameters in the study of disorders of iron metabolism.新希森美康 XE-5000 红细胞扩展参数在铁代谢紊乱研究中的潜在应用。
Clin Chem Lab Med. 2009;47(11):1411-6. doi: 10.1515/CCLM.2009.301.