Suppr超能文献

利用工程改造的蜚蠊希瓦氏菌从甘油发酵生产聚(3-羟基丁酸酯-co-3-羟基戊酸酯)的菌株及工艺开发

Strain and process development for poly(3HB-co-3HP) fermentation by engineered Shimwellia blattae from glycerol.

作者信息

Sato Shunsuke, Andreeßen Björn, Steinbüchel Alexander

机构信息

Institut für Molekular Mikrobiologie und Biotechnologie, Westfälische Wilhelms-Universität Münster, Corrensstraße 3, D-48149 Münster, Germany.

Institut für Molekular Mikrobiologie und Biotechnologie, Westfälische Wilhelms-Universität Münster, Corrensstraße 3, D-48149 Münster, Germany ; Environmental Sciences Department, Faculty of Meteorogy, Environment and Arid Land Agriculture, King Abdulaziz University, Jeddah, Saudi-Arabia.

出版信息

AMB Express. 2015 Mar 4;5:18. doi: 10.1186/s13568-015-0105-8. eCollection 2015.

Abstract

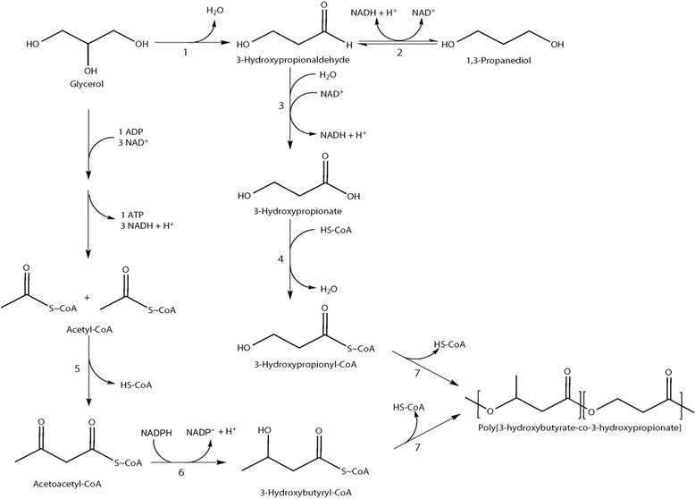
Poly(3-hydroxybytyrate-co-3-hydroxypropionate), poly(3HB-co-3HP), is a possible alternative to synthetic polymers such as polypropylene, polystyrene and polyethylene due to its low crystallinity and fragility. We already reported that recombinant strains of Shimwellia blattae expressing 1,3-propanediol dehydrogenase DhaT as well as aldehyde dehydrogenase AldD of Pseudomonas putida KT2442, propionate-CoA transferase Pct of Clostridium propionicum X2 and PHA synthase PhaC1 of Ralstonia eutropha H16 are able to accumulate up to 14.5% (wtPHA/wtCDW) of poly(3-hydroxypropionate), poly(3HP), homopolymer from glycerol as a sole carbon source (Appl Microbiol Biotechnol 98:7409-7422, 2014a). However, the cell density was rather low. In this study, we optimized the medium aiming at a more efficient PHA synthesis, and we engineered a S. blattae strain accumulating poly(3HB-co-3HP) with varying contents of the constituent 3-hydroxypropionate (3HP) depending on the cultivation conditions. Consequently, 7.12, 0.77 and 0.32 gPHA/L of poly(3HB-co-3HP) containing 2.1, 8.3 and 18.1 mol% 3HP under anaerobic/aerobic (the first 24 hours under anaerobic condition, thereafter, aerobic condition), low aeration/agitation (the minimum stirring rate required in medium mixing and small amount of aeration) and anaerobic conditions (the minimum stirring rate required in medium mixing without aeration), respectively, were synthesized from glycerol by the genetically modified S. blattae ATCC33430 strains in optimized culture medium.

摘要

聚(3-羟基丁酸酯-co-3-羟基丙酸酯),即聚(3HB-co-3HP),由于其低结晶度和脆性,是聚丙烯、聚苯乙烯和聚乙烯等合成聚合物的一种可能替代品。我们已经报道过,表达恶臭假单胞菌KT2442的1,3-丙二醇脱氢酶DhaT以及醛脱氢酶AldD、丙酸丙酸杆菌X2的丙酸-CoA转移酶Pct和富营养罗尔斯通氏菌H16的PHA合酶PhaC1的希姆韦利亚蜚蠊重组菌株,能够以甘油作为唯一碳源积累高达14.5%(wtPHA/wtCDW)的聚(3-羟基丙酸酯),即聚(3HP)均聚物(《应用微生物学与生物技术》98:7409 - 7422,2014a)。然而,细胞密度相当低。在本研究中,我们针对更高效的PHA合成对培养基进行了优化,并构建了一种希姆韦利亚蜚蠊菌株,该菌株能积累聚(3HB-co-3HP),其3-羟基丙酸酯(3HP)成分的含量会根据培养条件而变化。因此,通过基因改造的希姆韦利亚蜚蠊ATCC33430菌株在优化培养基中,分别在厌氧/好氧(前24小时厌氧条件,之后好氧条件)、低通气/搅拌(培养基混合所需的最低搅拌速率和少量通气)和厌氧条件(培养基混合所需的最低搅拌速率且无通气)下,由甘油合成了含2.1、8.3和18.1 mol% 3HP的7.12、0.77和0.32 gPHA/L的聚(3HB-co-3HP)。

https://cdn.ncbi.nlm.nih.gov/pmc/blobs/a3ef/4385116/2e424830b920/13568_2015_105_Fig1_HTML.jpg

文献检索

告别复杂PubMed语法,用中文像聊天一样搜索,搜遍4000万医学文献。AI智能推荐,让科研检索更轻松。

立即免费搜索

文件翻译

保留排版,准确专业,支持PDF/Word/PPT等文件格式,支持 12+语言互译。

免费翻译文档

深度研究

AI帮你快速写综述,25分钟生成高质量综述,智能提取关键信息,辅助科研写作。

立即免费体验