Suppr超能文献

低频道路噪音对驾驶员困倦及驾驶表现的影响。

The effect of low-frequency road noise on driver sleepiness and performance.

作者信息

Anund Anna, Lahti Eva, Fors Carina, Genell Anders

机构信息

Swedish National Road and Transport Research Institute, Linköping, Sweden; Rehabilitation Medicine, Linköping University, Linköping, Sweden.

Volvo Car Cooperation, Gothenburg, Sweden.

出版信息

PLoS One. 2015 Apr 15;10(4):e0123835. doi: 10.1371/journal.pone.0123835. eCollection 2015.

Abstract

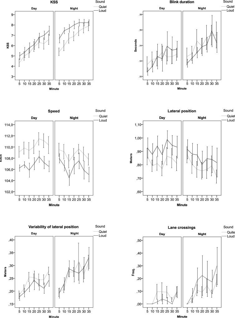
It is a well-known fact today that driver sleepiness is a contributory factor in crashes. Factors considered as sleepiness contributor are mostly related to time of the day, hours being awake and hours slept. Factors contributing to active and passive fatigue are mostly focusing on the level of cognitive load. Less is known what role external factors, e.g. type of road, sound/noise, vibrations etc., have on the ability to stay awake both under conditions of sleepiness and under active or passive fatigue. The aim of this moving base driving simulator study with 19 drivers participating in a random order day and night time, was to evaluate the effect of low-frequency road noise on driver sleepiness and performance, including both long-term and short-term effects. The results support to some extent the hypothesis that road-induced interior vehicle sound affects driving performance and driver sleepiness. Increased low-frequency noise helps to reduce speed during both day- and night time driving, but also contributes to increase the number of lane crossings during night time.

摘要

如今,驾驶员困倦是导致撞车事故的一个因素,这是一个众所周知的事实。被认为是困倦成因的因素大多与一天中的时间、清醒时长和睡眠时间有关。导致主动和被动疲劳的因素大多集中在认知负荷水平上。对于外部因素,例如道路类型、声音/噪音、振动等,在困倦状态以及主动或被动疲劳状态下对保持清醒能力的作用,人们了解得较少。这项移动基座驾驶模拟器研究的目的是评估低频道路噪音对驾驶员困倦和驾驶表现的影响,包括长期和短期影响,19名驾驶员以随机顺序在白天和夜间参与了该研究。结果在一定程度上支持了这样的假设,即道路产生的车内声音会影响驾驶表现和驾驶员困倦程度。低频噪音增加有助于在白天和夜间驾驶时降低车速,但也会导致夜间车道偏离次数增加。

https://cdn.ncbi.nlm.nih.gov/pmc/blobs/5754/4398381/2f9afe177a4b/pone.0123835.g001.jpg

文献检索

告别复杂PubMed语法,用中文像聊天一样搜索,搜遍4000万医学文献。AI智能推荐,让科研检索更轻松。

立即免费搜索

文件翻译

保留排版,准确专业,支持PDF/Word/PPT等文件格式,支持 12+语言互译。

免费翻译文档

深度研究

AI帮你快速写综述,25分钟生成高质量综述,智能提取关键信息,辅助科研写作。

立即免费体验