Bao Aili, Liang Zhijun, Zhao Zhuqing, Cai Hongmei
Key Laboratory of Arable Land Conservation (Middle and Lower Reaches of Yangtze River), Microelement Research Center, Ministry of Agriculture, Huazhong Agricultural University, Wuhan 430070, China.
Int J Mol Sci. 2015 Apr 23;16(5):9037-63. doi: 10.3390/ijms16059037.
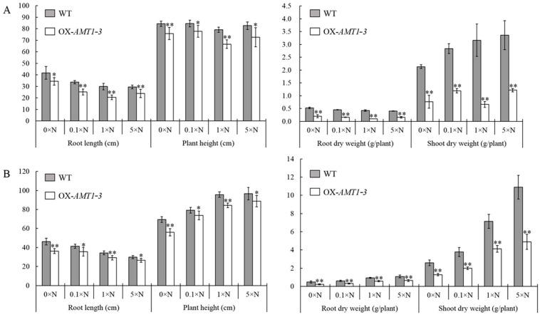
AMT1-3 encodes the high affinity NH₄⁺ transporter in rice roots and is predominantly expressed under nitrogen starvation. In order to evaluate the effect of AMT1-3 gene on rice growth, nitrogen absorption and metabolism, we generated AMT1-3-overexpressing plants and analyzed the growth phenotype, yield, carbon and nitrogen metabolic status, and gene expression profiles. Although AMT1-3 mRNA accumulated in transgenic plants, these plants displayed significant decreases in growth when compared to the wild-type plants. The nitrogen uptake assay using a 15N tracer revealed poor nitrogen uptake ability in AMT1-3-overexpressing plants. We found significant decreases in AMT1-3-overexpressing plant leaf carbon and nitrogen content accompanied with a higher leaf C/N ratio. Significant changes in soluble proteins and carbohydrates were also observed in AMT1-3-overexpressing plants. In addition, metabolite profile analysis demonstrated significant changes in individual sugars, organic acids and free amino acids. Gene expression analysis revealed distinct expression patterns of genes that participate in carbon and nitrogen metabolism. Additionally, the correlation between the metabolites and gene expression patterns was consistent in AMT1-3-overexpressing plants under both low and high nitrogen growth conditions. Therefore, we hypothesized that the carbon and nitrogen metabolic imbalance caused by AMT1-3 overexpressing attributed to the poor growth and yield of transgenic plants.
AMT1-3编码水稻根系中的高亲和力铵转运蛋白,且主要在氮饥饿条件下表达。为了评估AMT1-3基因对水稻生长、氮吸收和代谢的影响,我们构建了过表达AMT1-3的植株,并分析了其生长表型、产量、碳氮代谢状况以及基因表达谱。尽管AMT1-3 mRNA在转基因植株中积累,但与野生型植株相比,这些植株的生长显著下降。使用¹⁵N示踪剂进行的氮吸收测定显示,过表达AMT1-3的植株氮吸收能力较差。我们发现,过表达AMT1-3的植株叶片碳氮含量显著下降,同时叶片碳氮比更高。在过表达AMT1-3的植株中还观察到可溶性蛋白质和碳水化合物的显著变化。此外,代谢物谱分析表明,个别糖类、有机酸和游离氨基酸发生了显著变化。基因表达分析揭示了参与碳氮代谢的基因具有不同的表达模式。此外,在低氮和高氮生长条件下,过表达AMT1-3的植株中代谢物与基因表达模式之间的相关性是一致的。因此,我们推测,过表达AMT1-3导致的碳氮代谢失衡是转基因植株生长不良和产量降低的原因。