Suppr超能文献

在节拍化疗基础上加用雷帕霉素和羟氯喹作为二线治疗可使难治性转移性实体瘤获得较高的挽救率:一项针对小患者队列的安全性和有效性初步分析。

Addition of rapamycin and hydroxychloroquine to metronomic chemotherapy as a second line treatment results in high salvage rates for refractory metastatic solid tumors: a pilot safety and effectiveness analysis in a small patient cohort.

作者信息

Chi Kwan-Hwa, Ko Hui-Ling, Yang Kai-Lin, Lee Cheng-Yen, Chi Mau-Shin, Kao Shang-Jyh

机构信息

Department of Radiation Therapy and Oncology, Shin Kong Wu Ho-Su Memorial Hospital, Taipei, Taiwan.

School of Medicine and Institute of Biomedical Imaging and Radiological Sciences, National Yang-Ming University, Taipei, Taiwan.

出版信息

Oncotarget. 2015 Jun 30;6(18):16735-45. doi: 10.18632/oncotarget.3793.

Abstract

BACKGROUND

Autophagy is an important oncotarget that can be modulated during anti-cancer therapy. Enhancing autophagy using chemotherapy and rapamycin (Rapa) treatment and then inhibiting it using hydroxychloroquine (HCQ) could synergistically improve therapy outcome in cancer patients. It is still unclear whether addition of Rapa and HCQ to chemotherapy could be used for reversing drug resistance.

PATIENTS AND METHODS

Twenty-five stage IV cancer patients were identified. They had no clinical response to first-line metronomic chemotherapy; the patients were salvaged by adding an autophagy inducer (Rapa, 2 mg/day) and an autophagosome inhibitor (HCQ, 400 mg/day) to their current metronomic chemotherapy for at least 3 months. Patients included 4 prostate, 4 bladder, 4 lung, 4 breast, 2 colon, and 3 head and neck cancer patients as well as 4 sarcoma patients.

RESULTS

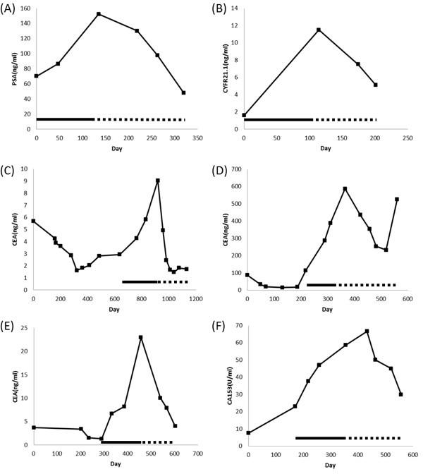
Chemotherapy was administered for a total of 137 months. The median duration of chemotherapy cycles per patient was 4 months (95% confidence interval, 3-7 months). The overall response rate to this treatment was of 40%, with an 84% disease control rate. The most frequent and clinically significant toxicities were myelotoxicities. Grade ≥3 leucopenia occurred in 6 patients (24%), grade ≥3 thrombocytopenia in 8 (32%), and anemia in 3 (12%). None of them developed febrile neutropenia. Non-hematologic toxicities were fatigue (total 32%, with 1 patient developing grade 3 fatigue), diarrhea (total 20%, 1 patient developed grade 3 fatigue), reversible grade 3 cardiotoxicity (1 patient), and grade V liver toxicity from hepatitis B reactivation (1 patient).

CONCLUSION

Our results of Rapa, HCQ and chemotherapy triplet combination suggest autophagy is a promising oncotarget and warrants further investigation in phase II studies.

摘要

背景

自噬是一种重要的肿瘤靶点,在抗癌治疗过程中可被调节。化疗联合雷帕霉素(Rapa)增强自噬,随后使用羟氯喹(HCQ)抑制自噬,可协同改善癌症患者的治疗效果。目前仍不清楚在化疗中添加Rapa和HCQ是否可用于逆转耐药性。

患者与方法

确定了25例IV期癌症患者。他们对一线节拍化疗无临床反应;通过在当前节拍化疗中添加自噬诱导剂(Rapa,2mg/天)和自噬体抑制剂(HCQ,400mg/天)进行挽救治疗,持续至少3个月。患者包括4例前列腺癌、4例膀胱癌、4例肺癌、4例乳腺癌、2例结肠癌、3例头颈癌患者以及4例肉瘤患者。

结果

化疗共进行了137个月。每位患者化疗周期的中位持续时间为4个月(95%置信区间,3 - 7个月)。该治疗的总体缓解率为40%,疾病控制率为84%。最常见且具有临床意义的毒性是骨髓毒性。6例患者(24%)发生≥3级白细胞减少,8例(32%)发生≥3级血小板减少,3例(12%)发生贫血。他们均未发生发热性中性粒细胞减少。非血液学毒性包括疲劳(共32%,1例患者发生3级疲劳)、腹泻(共20%,1例患者发生3级疲劳)、可逆性3级心脏毒性(1例患者)以及因乙肝再激活导致的V级肝毒性(1例患者)。

结论

我们关于Rapa、HCQ和化疗三联组合的研究结果表明,自噬是一个有前景的肿瘤靶点,值得在II期研究中进一步探究。

https://cdn.ncbi.nlm.nih.gov/pmc/blobs/4025/4599303/bde17b7e99b8/oncotarget-06-16735-g001.jpg

文献检索

告别复杂PubMed语法,用中文像聊天一样搜索,搜遍4000万医学文献。AI智能推荐,让科研检索更轻松。

立即免费搜索

文件翻译

保留排版,准确专业,支持PDF/Word/PPT等文件格式,支持 12+语言互译。

免费翻译文档

深度研究

AI帮你快速写综述,25分钟生成高质量综述,智能提取关键信息,辅助科研写作。

立即免费体验