Suppr超能文献

磷酸二酯酶-4抑制剂和选择性5-羟色胺再摄取抑制剂治疗可减轻流感病毒诱导的动物肺部炎症并降低死亡率。

Reduction of influenza virus-induced lung inflammation and mortality in animals treated with a phosophodisestrase-4 inhibitor and a selective serotonin reuptake inhibitor.

作者信息

Sharma Geeta, Champalal Sharma Danilal, Hwei Fen Leong, Pathak Mukta, Bethur Nijaguna, Pendharkar Vishal, Peiris Malik, Altmeyer Ralf

机构信息

CombinatoRx-Singapore Pte. Ltd., 138667 Singapore ;

Forma (Singapore) Therapeutics Pte. Ltd., 138667 Singapore ;

出版信息

Emerg Microbes Infect. 2013 Aug;2(8):e54. doi: 10.1038/emi.2013.52. Epub 2013 Aug 21.

Abstract

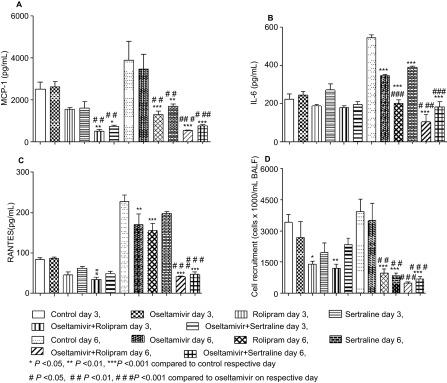
Inflammatory responses contribute to the morbidity and mortality of severe influenza. Current antiviral therapy offers limited success in treating severe influenza infection with both H1N1 and H5N1 viruses. We evaluated the effect of a neuraminidase inhibitor in combination with immunomodulatory drugs in vitro and in a mouse model of influenza A H1N1 infection by determining survival rate, lung inflammation markers and histopathology. Sertraline and rolipram significantly improved survival in mice infected with a lethal dose of influenza A H1N1 virus. Prophylactic treatment resulted in survival rates of 40% (rolipram), 30% (oseltamivir), 0% (sertraline), 100% (rolipram/oseltamivir) and 70% (sertraline/oseltamivir). Treatment in a therapeutic setting (24 h post-infection) resulted in 80% (rolipram/oseltamivir) and 40% (sertraline/oseltamivir) survival. Sertraline and rolipram had no effect on virus replication in vitro and in vivo, but significantly reduced lung inflammation. A significant reduction in cellular infiltration (10-fold) along with inflammatory cytokines monocyte chemotactic protein-1 (10-fold), interleukin-6 (5-fold) and regulated on activation normal T cell expressed and secreted (5-fold) was observed in the animals treated with the combination compared to oseltamivir alone. Lung histopathology of mice treated with combinations revealed significantly reduced consolidation, infiltration and alveolitis compared to oseltamivir alone. Rolipram and sertraline reduced H1N1 virus-induced lung inflammation and mortality. These data support further development of immunomodulatory agents for severe influenza.

摘要

炎症反应会导致严重流感的发病和死亡。目前的抗病毒疗法在治疗H1N1和H5N1病毒引起的严重流感感染方面成效有限。我们通过测定存活率、肺部炎症标志物和组织病理学,在体外和甲型H1N1流感感染小鼠模型中评估了神经氨酸酶抑制剂与免疫调节药物联合使用的效果。舍曲林和咯利普兰显著提高了感染致死剂量甲型H1N1流感病毒小鼠的存活率。预防性治疗的存活率分别为40%(咯利普兰)、30%(奥司他韦)、0%(舍曲林)、100%(咯利普兰/奥司他韦)和70%(舍曲林/奥司他韦)。治疗性给药(感染后24小时)的存活率为80%(咯利普兰/奥司他韦)和40%(舍曲林/奥司他韦)。舍曲林和咯利普兰在体外和体内对病毒复制均无影响,但能显著减轻肺部炎症。与单独使用奥司他韦相比,联合用药治疗的动物中细胞浸润(10倍)以及炎症细胞因子单核细胞趋化蛋白-1(10倍)、白细胞介素-6(5倍)和活化正常T细胞表达和分泌因子(5倍)显著减少。联合用药治疗小鼠的肺部组织病理学显示,与单独使用奥司他韦相比,实变、浸润和肺泡炎明显减轻。咯利普兰和舍曲林减轻了H1N1病毒诱导的肺部炎症和死亡率。这些数据支持进一步开发用于严重流感的免疫调节药物。

https://cdn.ncbi.nlm.nih.gov/pmc/blobs/da6e/3821288/98664e050a12/emi201352f1.jpg

文献AI研究员

20分钟写一篇综述,助力文献阅读效率提升50倍。

立即体验

用中文搜PubMed

大模型驱动的PubMed中文搜索引擎

马上搜索

文档翻译

学术文献翻译模型,支持多种主流文档格式。

立即体验