Suppr超能文献

氢键相互作用引发铁(III)卟啉配合物中的自旋翻转。

Hydrogen-Bonding Interactions Trigger a Spin-Flip in Iron(III) Porphyrin Complexes.

作者信息

Sahoo Dipankar, Quesne Matthew G, de Visser Sam P, Rath Sankar Prasad

机构信息

Department of Chemistry, Indian Institute of Technology Kanpur Kanpur-208016 (India).

出版信息

Angew Chem Weinheim Bergstr Ger. 2015 Apr 13;127(16):4878-4882. doi: 10.1002/ange.201411399. Epub 2015 Jan 30.

Abstract

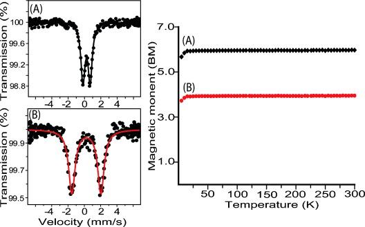
A key step in cytochrome P450 catalysis includes the spin-state crossing from low spin to high spin upon substrate binding and subsequent reduction of the heme. Clearly, a weak perturbation in P450 enzymes triggers a spin-state crossing. However, the origin of the process whereby enzymes reorganize their active site through external perturbations, such as hydrogen bonding, is still poorly understood. We have thus studied the impact of hydrogen-bonding interactions on the electronic structure of a five-coordinate iron(III) octaethyltetraarylporphyrin chloride. The spin state of the metal was found to switch reversibly between high (S=/) and intermediate spin (S=/) with hydrogen bonding. Our study highlights the possible effects and importance of hydrogen-bonding interactions in heme proteins. This is the first example of a synthetic iron(III) complex that can reversibly change its spin state between a high and an intermediate state through weak external perturbations.

摘要

细胞色素P450催化的关键步骤包括底物结合后从低自旋到高自旋的自旋态转变以及随后血红素的还原。显然,P450酶中的微弱扰动会引发自旋态转变。然而,酶通过外部扰动(如氢键)重组其活性位点的过程的起源仍知之甚少。因此,我们研究了氢键相互作用对五配位氯化八乙基四芳基卟啉铁(III)电子结构的影响。发现金属的自旋态通过氢键在高自旋(S = /)和中间自旋(S = /)之间可逆切换。我们的研究突出了氢键相互作用在血红素蛋白中的可能影响和重要性。这是第一个通过微弱外部扰动可在高自旋态和中间自旋态之间可逆改变其自旋态的合成铁(III)配合物的例子。

https://cdn.ncbi.nlm.nih.gov/pmc/blobs/b073/4470476/40bf2f50b37a/ange0127-4878-f7.jpg

文献AI研究员

20分钟写一篇综述,助力文献阅读效率提升50倍。

立即体验

用中文搜PubMed

大模型驱动的PubMed中文搜索引擎

马上搜索

文档翻译

学术文献翻译模型,支持多种主流文档格式。

立即体验