Suppr超能文献

HIV感染得到良好控制的儿童与未感染HIV儿童的口腔细菌群落。

The Oral Bacterial Communities of Children with Well-Controlled HIV Infection and without HIV Infection.

作者信息

Goldberg Brittany E, Mongodin Emmanuel F, Jones Cheron E, Chung Michelle, Fraser Claire M, Tate Anupama, Zeichner Steven L

机构信息

Division of Pediatric Infectious Diseases, Children's National Medical Center, Washington, DC, United States of America.

Institute for Genome Sciences, University of Maryland School of Medicine, Baltimore, Maryland, United States of America; Department of Microbiology and Immunology, University of Maryland School of Medicine, Baltimore, Maryland, United States of America.

出版信息

PLoS One. 2015 Jul 6;10(7):e0131615. doi: 10.1371/journal.pone.0131615. eCollection 2015.

Abstract

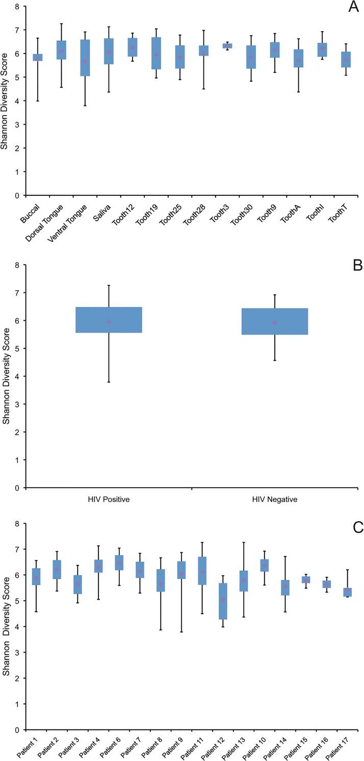
The oral microbial community (microbiota) plays a critical role in human health and disease. Alterations in the oral microbiota may be associated with disorders such as gingivitis, periodontitis, childhood caries, alveolar osteitis, oral candidiasis and endodontic infections. In the immunosuppressed population, the spectrum of potential oral disease is even broader, encompassing candidiasis, necrotizing gingivitis, parotid gland enlargement, Kaposi's sarcoma, oral warts and other diseases. Here, we used 454 pyrosequencing of bacterial 16S rRNA genes to examine the oral microbiome of saliva, mucosal and tooth samples from HIV-positive and negative children. Patient demographics and clinical characteristics were collected from a cross-section of patients undergoing routine dental care. Multiple specimens from different sampling sites in the mouth were collected for each patient. The goal of the study was to observe the potential diversity of the oral microbiota among individual patients, sample locations, HIV status and various dental characteristics. We found that there were significant differences in the microbiome among the enrolled patients, and between sampling locations. The analysis was complicated by uneven enrollment in the patient cohorts, with only five HIV-negative patients enrolled in the study and by the rapid improvement in the health of HIV-infected children between the time the study was conceived and completed. The generally good oral health of the HIV-negative patients limited the number of dental plaque samples that could be collected. We did not identify significant differences between well-controlled HIV-positive patients and HIV-negative controls, suggesting that well-controlled HIV-positive patients essentially harbor similar oral flora compared to patients without HIV. Nor were significant differences in the oral microbiota identified between different teeth or with different dental characteristics. Additional studies are needed to better characterize the oral microbiome in children and those with poorly-controlled HIV infections.

摘要

口腔微生物群落(微生物群)在人类健康和疾病中起着关键作用。口腔微生物群的改变可能与牙龈炎、牙周炎、儿童龋齿、干槽症、口腔念珠菌病和牙髓感染等疾病有关。在免疫抑制人群中,潜在的口腔疾病谱甚至更广,包括念珠菌病、坏死性牙龈炎、腮腺肿大、卡波西肉瘤、口腔疣和其他疾病。在此,我们使用细菌16S rRNA基因的454焦磷酸测序法,对来自HIV阳性和阴性儿童的唾液、黏膜和牙齿样本的口腔微生物组进行检测。从接受常规牙科护理的患者横断面收集患者人口统计学和临床特征。为每位患者从口腔的不同采样部位收集多个样本。本研究的目的是观察个体患者、样本位置、HIV状态和各种牙科特征之间口腔微生物群的潜在多样性。我们发现,入组患者之间以及采样部位之间的微生物组存在显著差异。患者队列入组不均衡使分析变得复杂,本研究仅纳入了5名HIV阴性患者,并且在研究构思和完成之间,HIV感染儿童的健康状况迅速改善。HIV阴性患者总体良好的口腔健康状况限制了可收集的牙菌斑样本数量。我们未发现病情得到良好控制的HIV阳性患者与HIV阴性对照之间存在显著差异,这表明病情得到良好控制的HIV阳性患者与未感染HIV的患者相比,其口腔菌群基本相似。不同牙齿之间或具有不同牙科特征的患者之间,口腔微生物群也未发现显著差异。需要进一步研究以更好地表征儿童以及HIV感染控制不佳者的口腔微生物组。

https://cdn.ncbi.nlm.nih.gov/pmc/blobs/8966/4492946/ff726da34f3e/pone.0131615.g001.jpg

文献AI研究员

20分钟写一篇综述,助力文献阅读效率提升50倍。

立即体验

用中文搜PubMed

大模型驱动的PubMed中文搜索引擎

马上搜索

文档翻译

学术文献翻译模型,支持多种主流文档格式。

立即体验