• 文献检索
  • 文档翻译
  • 深度研究
  • 学术资讯
  • Suppr Zotero 插件Zotero 插件
  • 邀请有礼
  • 套餐&价格
  • 历史记录
应用&插件
Suppr Zotero 插件Zotero 插件浏览器插件Mac 客户端Windows 客户端微信小程序
定价
高级版会员购买积分包购买API积分包
服务
文献检索文档翻译深度研究API 文档MCP 服务
关于我们
关于 Suppr公司介绍联系我们用户协议隐私条款
关注我们

Suppr 超能文献

核心技术专利:CN118964589B侵权必究
粤ICP备2023148730 号-1Suppr @ 2026

文献检索

告别复杂PubMed语法,用中文像聊天一样搜索,搜遍4000万医学文献。AI智能推荐,让科研检索更轻松。

立即免费搜索

文件翻译

保留排版,准确专业,支持PDF/Word/PPT等文件格式,支持 12+语言互译。

免费翻译文档

深度研究

AI帮你快速写综述,25分钟生成高质量综述,智能提取关键信息,辅助科研写作。

立即免费体验

在患有肺或肺外急性呼吸窘迫综合征的仔猪中,限制性液体复苏比非限制性液体复苏能带来更好的氧合。

Restrictive Fluid Resuscitation Leads to Better Oxygenation than Non-Restrictive Fluid Resuscitation in Piglets with Pulmonary or Extrapulmonary Acute Respiratory Distress Syndrome.

作者信息

Ye Shunan, Li Qiujie, Yuan Shiying, Shu Huaqing, Yuan Yin

机构信息

Department of Orthopedics, Union Hospital, Tongji Medical College, Huazhong University of Science and Technology, Wuhan, Hubei, China (mainland).

Department of Anesthesiology, Qingdao Municipal Hospital, Medical College of Qingdao University, Qingdao, Shandong, China (mainland).

出版信息

Med Sci Monit. 2015 Jul 12;21:2008-20. doi: 10.12659/MSM.892734.

DOI:10.12659/MSM.892734
PMID:26166324
原文链接:https://pmc.ncbi.nlm.nih.gov/articles/PMC4514267/
Abstract

BACKGROUND

Early goal-directed therapy (EGDT) is used to reduce mortality from septic shock and could be used in early fluid resuscitation of acute respiratory distress syndrome (ARDS). The aim of the present study was to assess the effects of restrictive (RFR) and nonrestrictive fluid resuscitation (NRFR) on hemodynamics, oxygenation, pulmonary function, tissue perfusion, and inflammation in piglets with pulmonary or extrapulmonary ARDS (ARDSp and ARDSexp).

MATERIAL AND METHODS

Chinese miniature piglets (6-8 weeks; 15 ± 1 kg) were randomly divided into 2 groups (n=12/group) for establishing ARDSp and ARDSexp models, and were further divided into 2 subgroups (n=6/subgroup) for performing RFR and NRFR. Piglets were anesthetized and hemodynamic, pulmonary, and oxygenation indicators were collected at different time points for 6 hours. The goal of EGDT was set for PiCCO parameters (mean arterial pressure (MAP), urine output and cardiac index (CI), and central venous oxygen saturation (ScvO2).

RESULTS

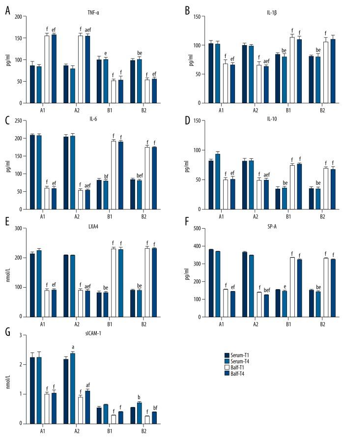
Piglets under RFR had lower urine output compared with NRFR, as well as lower total fluid volume (P<0.05). EVLW was decreased in ARDSp+RFR and NRFR, as well as in ARDSexp+RFR, but EVLW increased in ARDSexp+NRFR (P<0.05). PaO2/FiO2 decreased in ARDSp using both methods, but was higher with RFR (P<0.05), and was increased in ARDSexp+RFR. Other pulmonary indicators were comparable. The anti-inflammatory cytokines IL-10 and LXA4 were increased in ARDSexp after RFR (P<0.05), but not in the other groups.

CONCLUSIONS

RFR led to better oxygenation in ARDSp and ARDSexp compared with NRFR, but fluid restriction improved oxygenation in ARDSexp only.

摘要

背景

早期目标导向治疗(EGDT)用于降低感染性休克的死亡率,也可用于急性呼吸窘迫综合征(ARDS)的早期液体复苏。本研究旨在评估限制性液体复苏(RFR)和非限制性液体复苏(NRFR)对肺源性或肺外源性ARDS(ARDSp和ARDSexp)仔猪血流动力学、氧合、肺功能、组织灌注及炎症的影响。

材料与方法

中国小型仔猪(6 - 8周龄;体重15±1 kg)随机分为2组(每组n = 12)以建立ARDSp和ARDSexp模型,每组再进一步分为2个亚组(每组n = 6)以进行RFR和NRFR。对仔猪进行麻醉,并在6小时内的不同时间点收集血流动力学、肺和氧合指标。EGDT的目标设定为脉波指示剂连续心输出量监测(PiCCO)参数(平均动脉压(MAP)、尿量、心脏指数(CI)和中心静脉血氧饱和度(ScvO2))。

结果

与NRFR相比,RFR组仔猪尿量更低,总液体量也更低(P < 0.05)。ARDSp + RFR和NRFR组以及ARDSexp + RFR组的血管外肺水(EVLW)均降低,但ARDSexp + NRFR组的EVLW升高(P < 0.05)。两种方法用于ARDSp时动脉血氧分压/吸入氧分数值(PaO2/FiO2)均降低,但RFR时更高(P < 0.05),ARDSexp + RFR组的该指标升高。其他肺指标相当。RFR后ARDSexp组的抗炎细胞因子白细胞介素 - 10(IL - 10)和脂氧素A4(LXA4)升高(P < 0.05),但其他组未升高。

结论

与NRFR相比,RFR使ARDSp和ARDSexp的氧合情况更好,但液体限制仅改善了ARDSexp的氧合。

https://cdn.ncbi.nlm.nih.gov/pmc/blobs/bfd5/4514267/1c358e49e8f0/medscimonit-21-2008-g003.jpg
https://cdn.ncbi.nlm.nih.gov/pmc/blobs/bfd5/4514267/3d7480320ce3/medscimonit-21-2008-g001.jpg
https://cdn.ncbi.nlm.nih.gov/pmc/blobs/bfd5/4514267/f92be19958f9/medscimonit-21-2008-g002.jpg
https://cdn.ncbi.nlm.nih.gov/pmc/blobs/bfd5/4514267/1c358e49e8f0/medscimonit-21-2008-g003.jpg
https://cdn.ncbi.nlm.nih.gov/pmc/blobs/bfd5/4514267/3d7480320ce3/medscimonit-21-2008-g001.jpg
https://cdn.ncbi.nlm.nih.gov/pmc/blobs/bfd5/4514267/f92be19958f9/medscimonit-21-2008-g002.jpg
https://cdn.ncbi.nlm.nih.gov/pmc/blobs/bfd5/4514267/1c358e49e8f0/medscimonit-21-2008-g003.jpg

相似文献

1
Restrictive Fluid Resuscitation Leads to Better Oxygenation than Non-Restrictive Fluid Resuscitation in Piglets with Pulmonary or Extrapulmonary Acute Respiratory Distress Syndrome.在患有肺或肺外急性呼吸窘迫综合征的仔猪中,限制性液体复苏比非限制性液体复苏能带来更好的氧合。
Med Sci Monit. 2015 Jul 12;21:2008-20. doi: 10.12659/MSM.892734.
2
Effect of high frequency oscillatory ventilation on EVLW and lung capillary permeability of piglets with acute respiratory distress syndrome caused by pulmonary and extrapulmonary insults.高频振荡通气对肺内和肺外损伤所致急性呼吸窘迫综合征仔猪血管外肺水及肺毛细血管通透性的影响
J Huazhong Univ Sci Technolog Med Sci. 2015 Feb;35(1):93-98. doi: 10.1007/s11596-015-1395-4. Epub 2015 Feb 12.
3
[Comparative study of recruitment maneuver guided by pressure-volume curve on respiratory physiology and lung morphology between acute respiratory distress syndrome of pulmonary and extrapulmonary origin in canine models].犬模型中肺源性和肺外源性急性呼吸窘迫综合征压力-容积曲线引导下肺复张手法对呼吸生理和肺形态的比较研究
Zhongguo Wei Zhong Bing Ji Jiu Yi Xue. 2011 Jan;23(1):36-9.
4
[Effects of lung protective ventilation on inhibiting inflammatory mediators released into plasma and bronchial alveolar lavage fluid in acute respiratory distress syndrome caused by pulmonary and extrapulmonary insults in dog].[肺保护性通气对抑制犬肺内和肺外损伤所致急性呼吸窘迫综合征血浆及支气管肺泡灌洗液中炎性介质释放的影响]
Zhongguo Wei Zhong Bing Ji Jiu Yi Xue. 2004 May;16(5):262-6.
5
[Significance of monitoring pulmonary arterial pressure and cardiac function in neonates with pulmonary or extra-pulmonary acute respiratory distress syndrome].[监测肺动脉压及心功能在肺或肺外急性呼吸窘迫综合征新生儿中的意义]
Zhonghua Wei Zhong Bing Ji Jiu Yi Xue. 2021 Jul;33(7):838-843. doi: 10.3760/cma.j.cn121430-20210222-00702.
6
Comparison of the response to the prone position between pulmonary and extrapulmonary acute respiratory distress syndrome.肺源性与肺外源性急性呼吸窘迫综合征对俯卧位反应的比较。
Intensive Care Med. 2001 Mar;27(3):477-85. doi: 10.1007/s001340000848.
7
[How to choose the duration of prone-position ventilation in patients with acute respiratory distress syndrome caused by pulmonary or extrapulmonary diseases?].[如何选择由肺部或肺外疾病引起的急性呼吸窘迫综合征患者的俯卧位通气持续时间?]
Zhonghua Nei Ke Za Zhi. 2004 Dec;43(12):883-7.
8
[Effects of prone position ventilation on inflammatory factors in blood and bronchial alveolar lavage fluid of acute respiratory distress syndrome dogs caused by pulmonary and extrapulmonary insults].[俯卧位通气对肺内及肺外损伤所致急性呼吸窘迫综合征犬血液及支气管肺泡灌洗液中炎症因子的影响]
Zhonghua Yi Xue Za Zhi. 2004 Jul 17;84(14):1200-4.
9
[Effect of prone position on the oxygenation of patients with acute respiratory distress syndrome after failure recruitment maneuvers at high altitudes].[高原地区急性呼吸窘迫综合征患者肺复张失败后俯卧位通气对氧合的影响]
Zhongguo Wei Zhong Bing Ji Jiu Yi Xue. 2012 Oct;24(10):596-9.
10
[Effects of lung protective ventilation in prone or supine position on inhibiting adrenomedullin release in acute respiratory distress syndrome caused by pulmonary and extra-pulmonary insults in dog].[犬肺内及肺外损伤所致急性呼吸窘迫综合征中,俯卧位或仰卧位肺保护性通气对抑制肾上腺髓质素释放的影响]
Zhongguo Wei Zhong Bing Ji Jiu Yi Xue. 2005 Aug;17(8):459-62.

引用本文的文献

1
Study on the Relationship Between Respiratory Distress Syndrome and (rs1059057) Gene Polymorphism in Mongolian Very Premature Infants.蒙古族极早产儿呼吸窘迫综合征与(rs1059057)基因多态性的关系研究
Front Pediatr. 2020 Mar 17;8:81. doi: 10.3389/fped.2020.00081. eCollection 2020.
2
Critical hemodynamic therapy oriented resuscitation helping reduce lung water production and improve survival.以关键血流动力学治疗为导向的复苏有助于减少肺水生成并提高存活率。
Chin Med J (Engl). 2019 May 20;132(10):1139-1146. doi: 10.1097/CM9.0000000000000205.
3
Sequential Organ Failure Assessment predicts outcomes of pulse indicator contour continuous cardiac output-directed goal therapy: A prospective study.

本文引用的文献

1
Fluids in ARDS: from onset through recovery.急性呼吸窘迫综合征中的液体:从发病到康复
Curr Opin Crit Care. 2014 Aug;20(4):373-7. doi: 10.1097/MCC.0000000000000105.
2
Fluids in acute respiratory distress syndrome: pros and cons.急性呼吸窘迫综合征中的液体:利弊。
Curr Opin Crit Care. 2014 Feb;20(1):104-12. doi: 10.1097/MCC.0000000000000049.
3
Correlation of inferior vena cava respiratory variability index with central venous pressure and hemodynamic parameters in ventilated pigs with septic shock.感染性休克通气猪下腔静脉呼吸变异指数与中心静脉压及血流动力学参数的相关性
序贯器官衰竭评估可预测脉搏指示连续心输出量导向目标治疗的结果:一项前瞻性研究。
Medicine (Baltimore). 2017 Sep;96(39):e8111. doi: 10.1097/MD.0000000000008111.
4
Genetic Polymorphisms of SP-A, SP-B, and SP-D and Risk of Respiratory Distress Syndrome in Preterm Neonates.表面活性蛋白A、表面活性蛋白B和表面活性蛋白D的基因多态性与早产儿呼吸窘迫综合征的风险
Med Sci Monit. 2016 Dec 24;22:5091-5100. doi: 10.12659/msm.898553.
Biomed Environ Sci. 2013 Jun;26(6):500-3. doi: 10.3967/0895-3988.2013.06.012.
4
Does the central venous pressure predict fluid responsiveness? An updated meta-analysis and a plea for some common sense.中心静脉压能否预测液体反应性?一项更新的荟萃分析及对一些常识的呼吁。
Crit Care Med. 2013 Jul;41(7):1774-81. doi: 10.1097/CCM.0b013e31828a25fd.
5
The Berlin definition of ARDS: an expanded rationale, justification, and supplementary material.柏林急性呼吸窘迫综合征定义:扩展原理、依据和补充材料。
Intensive Care Med. 2012 Oct;38(10):1573-82. doi: 10.1007/s00134-012-2682-1. Epub 2012 Aug 25.
6
Acute respiratory distress syndrome: the Berlin Definition.急性呼吸窘迫综合征:柏林定义。
JAMA. 2012 Jun 20;307(23):2526-33. doi: 10.1001/jama.2012.5669.
7
Large-animal models of acute respiratory distress syndrome.急性呼吸窘迫综合征的大动物模型。
Ann Thorac Surg. 2012 Apr;93(4):1331-9. doi: 10.1016/j.athoracsur.2011.06.107. Epub 2012 Jan 14.
8
Fluid management in acute lung injury and ards.急性肺损伤和急性呼吸窘迫综合征的液体管理。
Ann Intensive Care. 2011 May 30;1(1):16. doi: 10.1186/2110-5820-1-16.
9
Thoracic epidural anesthesia attenuates endotoxin-induced impairment of gastrointestinal organ perfusion.胸腔硬膜外麻醉可减轻内毒素引起的胃肠道器官灌注损伤。
Anesthesiology. 2010 Jul;113(1):126-33. doi: 10.1097/ALN.0b013e3181de0fdd.
10
Accurate characterization of extravascular lung water in acute respiratory distress syndrome.急性呼吸窘迫综合征中血管外肺水的准确特征描述
Crit Care Med. 2008 Jun;36(6):1803-9. doi: 10.1097/CCM.0b013e3181743eeb.