Porta Alberto, Faes Luca, Nollo Giandomenico, Bari Vlasta, Marchi Andrea, De Maria Beatrice, Takahashi Anielle C M, Catai Aparecida M
Department of Biomedical Sciences for Health, University of Milan, Milan, Italy; Department of Cardiothoracic, Vascular Anesthesia and Intensive Care, IRCCS Policlinico San Donato, Milan, Italy.
BIOtech, Department of Industrial Engineering, University of Trento, Trento, Italy; IRCS PAT-FBK, Trento, Italy.
PLoS One. 2015 Jul 15;10(7):e0132851. doi: 10.1371/journal.pone.0132851. eCollection 2015.
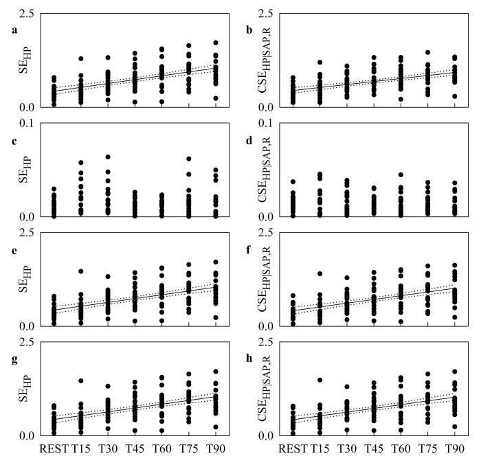
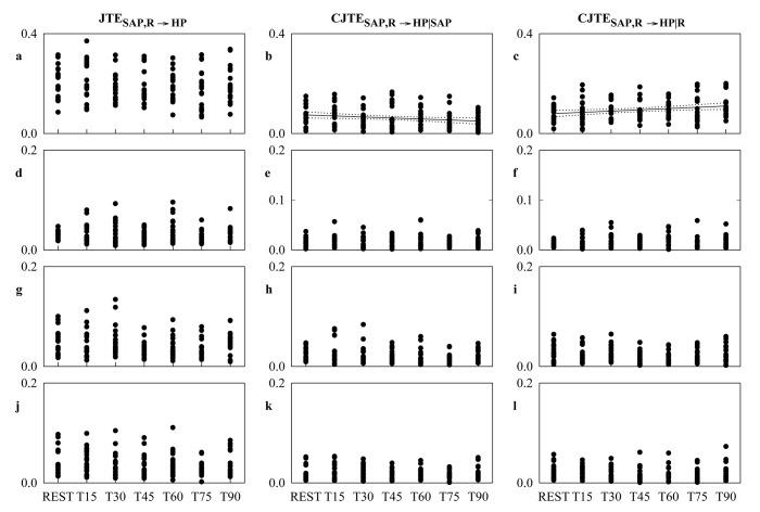
Self-entropy (SE) and transfer entropy (TE) are widely utilized in biomedical signal processing to assess the information stored into a system and transferred from a source to a destination respectively. The study proposes a more specific definition of the SE, namely the conditional SE (CSE), and a more flexible definition of the TE based on joint TE (JTE), namely the conditional JTE (CJTE), for the analysis of information dynamics in multivariate time series. In a protocol evoking a gradual sympathetic activation and vagal withdrawal proportional to the magnitude of the orthostatic stimulus, such as the graded head-up tilt, we extracted the beat-to-beat spontaneous variability of heart period (HP), systolic arterial pressure (SAP) and respiratory activity (R) in 19 healthy subjects and we computed SE of HP, CSE of HP given SAP and R, JTE from SAP and R to HP, CJTE from SAP and R to HP given SAP and CJTE from SAP and R to HP given R. CSE of HP given SAP and R was significantly smaller than SE of HP and increased progressively with the amplitude of the stimulus, thus suggesting that dynamics internal to HP and unrelated to SAP and R, possibly linked to sympathetic activation evoked by head-up tilt, might play a role during the orthostatic challenge. While JTE from SAP and R to HP was independent of tilt table angle, CJTE from SAP and R to HP given R and from SAP and R to HP given SAP showed opposite trends with tilt table inclination, thus suggesting that the importance of the cardiac baroreflex increases and the relevance of the cardiopulmonary pathway decreases during head-up tilt. The study demonstrates the high specificity of CSE and the high flexibility of CJTE over real data and proves that they are particularly helpful in disentangling physiological mechanisms and in assessing their different contributions to the overall cardiovascular regulation.
自熵(SE)和转移熵(TE)在生物医学信号处理中被广泛用于分别评估存储在系统中的信息以及从源传递到目的地的信息。该研究针对多变量时间序列中的信息动态分析,提出了SE的更具体定义,即条件自熵(CSE),以及基于联合转移熵(JTE)的TE的更灵活定义,即条件联合转移熵(CJTE)。在一个引起与直立位刺激幅度成比例的逐渐交感神经激活和迷走神经撤离的方案中,例如分级头高位倾斜试验,我们提取了19名健康受试者心跳间期(HP)、收缩期动脉压(SAP)和呼吸活动(R)的逐搏自发变异性,并计算了HP的SE、给定SAP和R时HP的CSE、从SAP和R到HP的JTE、给定SAP时从SAP和R到HP的CJTE以及给定R时从SAP和R到HP的CJTE。给定SAP和R时HP的CSE显著小于HP的SE,并随着刺激幅度的增加而逐渐增加,这表明HP内部与SAP和R无关的动态变化,可能与头高位倾斜引起的交感神经激活有关,可能在直立位挑战中起作用。虽然从SAP和R到HP的JTE与倾斜台角度无关,但给定R时从SAP和R到HP的CJTE以及给定SAP时从SAP和R到HP的CJTE随倾斜台倾斜度呈现相反趋势,这表明在头高位倾斜期间,心脏压力反射的重要性增加,心肺途径的相关性降低。该研究证明了CSE的高特异性和CJTE对实际数据的高灵活性,并证明它们在解析生理机制以及评估它们对整体心血管调节的不同贡献方面特别有帮助。