Suppr超能文献

利用颅内脑电图测量和支持向量机预测自然发生的犬癫痫发作

Forecasting Seizures Using Intracranial EEG Measures and SVM in Naturally Occurring Canine Epilepsy.

作者信息

Brinkmann Benjamin H, Patterson Edward E, Vite Charles, Vasoli Vincent M, Crepeau Daniel, Stead Matt, Howbert J Jeffry, Cherkassky Vladimir, Wagenaar Joost B, Litt Brian, Worrell Gregory A

机构信息

Mayo Systems Electrophysiology Laboratory, Mayo Clinic, Rochester, MN, United States of America.

Veterinary Medical Center, University of Minnesota, St. Paul, MN, United States of America.

出版信息

PLoS One. 2015 Aug 4;10(8):e0133900. doi: 10.1371/journal.pone.0133900. eCollection 2015.

Abstract

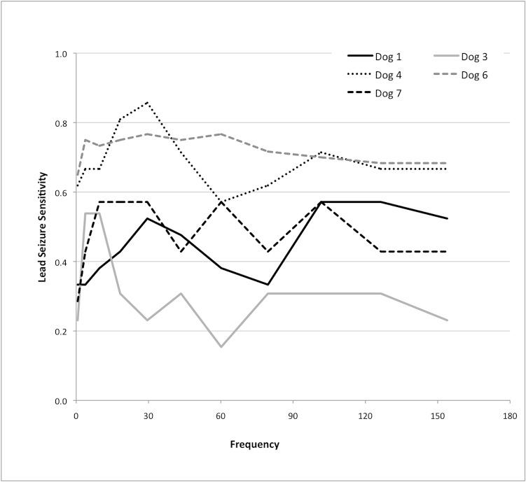
Management of drug resistant focal epilepsy would be greatly assisted by a reliable warning system capable of alerting patients prior to seizures to allow the patient to adjust activities or medication. Such a system requires successful identification of a preictal, or seizure-prone state. Identification of preictal states in continuous long- duration intracranial electroencephalographic (iEEG) recordings of dogs with naturally occurring epilepsy was investigated using a support vector machine (SVM) algorithm. The dogs studied were implanted with a 16-channel ambulatory iEEG recording device with average channel reference for a mean (st. dev.) of 380.4 (+87.5) days producing 220.2 (+104.1) days of intracranial EEG recorded at 400 Hz for analysis. The iEEG records had 51.6 (+52.8) seizures identified, of which 35.8 (+30.4) seizures were preceded by more than 4 hours of seizure-free data. Recorded iEEG data were stratified into 11 contiguous, non-overlapping frequency bands and binned into one-minute synchrony features for analysis. Performance of the SVM classifier was assessed using a 5-fold cross validation approach, where preictal training data were taken from 90 minute windows with a 5 minute pre-seizure offset. Analysis of the optimal preictal training time was performed by repeating the cross validation over a range of preictal windows and comparing results. We show that the optimization of feature selection varies for each subject, i.e. algorithms are subject specific, but achieve prediction performance significantly better than a time-matched Poisson random predictor (p<0.05) in 5/5 dogs analyzed.

摘要

一个可靠的预警系统能够在癫痫发作前提醒患者,以便患者调整活动或药物治疗,这将极大地有助于耐药性局灶性癫痫的管理。这样的系统需要成功识别发作前期或易发作状态。使用支持向量机(SVM)算法研究了在患有自然发生癫痫的犬类的连续长时间颅内脑电图(iEEG)记录中识别发作前期状态。所研究的犬类植入了一个16通道动态iEEG记录设备,平均通道参考记录时间为平均(标准差)380.4(+87.5)天,以400Hz记录了220.2(+104.1)天的颅内脑电图用于分析。iEEG记录中识别出51.6(+52.8)次癫痫发作,其中35.8(+30.4)次癫痫发作之前有超过4小时的无癫痫发作数据。记录的iEEG数据被分层为11个连续的、不重叠的频带,并被划分为1分钟的同步特征进行分析。使用5折交叉验证方法评估SVM分类器的性能,其中发作前期训练数据取自90分钟窗口,发作前偏移5分钟。通过在一系列发作前期窗口上重复交叉验证并比较结果,对最佳发作前期训练时间进行分析。我们表明,特征选择的优化因每个个体而异,即算法是个体特异性的,但在分析的5只犬中,预测性能明显优于时间匹配的泊松随机预测器(p<0.05)。

https://cdn.ncbi.nlm.nih.gov/pmc/blobs/eaeb/4524640/13d72081bdcb/pone.0133900.g001.jpg

文献AI研究员

20分钟写一篇综述,助力文献阅读效率提升50倍。

立即体验

用中文搜PubMed

大模型驱动的PubMed中文搜索引擎

马上搜索

文档翻译

学术文献翻译模型,支持多种主流文档格式。

立即体验