Dosunmu Ejovwoke, Chaudhari Atul A, Singh Shree R, Dennis Vida A, Pillai Shreekumar R
Center for NanoBiotechnology Research, Alabama State University, Montgomery, AL, USA.
Int J Nanomedicine. 2015 Aug 5;10:5025-34. doi: 10.2147/IJN.S85219. eCollection 2015.
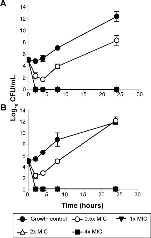
The antimicrobial activity of silver-coated carbon nanotubes (AgCNTs) and their potential mode of action against mucoid and nonmucoid strains of Pseudomonas aeruginosa was investigated in vitro. The results showed that AgCNTs exhibited antimicrobial activity against both strains with minimum inhibitory concentrations of approximately 8 µg/mL, indicating a high sensitivity of P. aeruginosa to AgCNTs. AgCNTs were also bactericidal against both strains at the same minimum inhibitory concentration. Scanning and transmission electron-microscopy studies further revealed that a majority of the cells treated with AgCNTs transformed from smooth rod-shape morphology to disintegrated cells with broken/damaged membranes, resulting in leakage of cytoplasmic contents to produce ghost cells. The molecular effects of AgCNTs on P. aeruginosa genes involved in virulence and pathogenicity, stress response, and efflux pumps were evaluated for changes in their expression. Quantitative real-time PCR (qRT-PCR) showed that after exposure to AgCNTs, the expression levels of the rpoS, rsmZ, and oprD genes were significantly downregulated in both strains of P. aeruginosa compared to the untreated samples. These results suggest that the mechanism of action of AgCNTs may be attributed to their effect on cell-membrane integrity, downregulation of virulence-gene expression, and induction of general and oxidative stress in P. aeruginosa.
研究了银包覆碳纳米管(AgCNTs)的抗菌活性及其对黏液型和非黏液型铜绿假单胞菌菌株的潜在作用方式。结果表明,AgCNTs对两种菌株均表现出抗菌活性,最低抑菌浓度约为8 µg/mL,表明铜绿假单胞菌对AgCNTs高度敏感。在相同的最低抑菌浓度下,AgCNTs对两种菌株也具有杀菌作用。扫描电子显微镜和透射电子显微镜研究进一步表明,大多数用AgCNTs处理的细胞从光滑的杆状形态转变为细胞膜破裂/受损的解体细胞,导致细胞质内容物泄漏,产生空壳细胞。评估了AgCNTs对铜绿假单胞菌中与毒力、致病性、应激反应和外排泵相关基因的分子效应,以观察其表达变化。定量实时PCR(qRT-PCR)显示,与未处理的样本相比,暴露于AgCNTs后,两种铜绿假单胞菌菌株中rpoS、rsmZ和oprD基因的表达水平均显著下调。这些结果表明,AgCNTs的作用机制可能归因于其对细胞膜完整性的影响、毒力基因表达的下调以及对铜绿假单胞菌的一般应激和氧化应激的诱导。