• 文献检索
  • 文档翻译
  • 深度研究
  • 学术资讯
  • Suppr Zotero 插件Zotero 插件
  • 邀请有礼
  • 套餐&价格
  • 历史记录
应用&插件
Suppr Zotero 插件Zotero 插件浏览器插件Mac 客户端Windows 客户端微信小程序
定价
高级版会员购买积分包购买API积分包
服务
文献检索文档翻译深度研究API 文档MCP 服务
关于我们
关于 Suppr公司介绍联系我们用户协议隐私条款
关注我们

Suppr 超能文献

核心技术专利:CN118964589B侵权必究
粤ICP备2023148730 号-1Suppr @ 2026

文献检索

告别复杂PubMed语法,用中文像聊天一样搜索,搜遍4000万医学文献。AI智能推荐,让科研检索更轻松。

立即免费搜索

文件翻译

保留排版,准确专业,支持PDF/Word/PPT等文件格式,支持 12+语言互译。

免费翻译文档

深度研究

AI帮你快速写综述,25分钟生成高质量综述,智能提取关键信息,辅助科研写作。

立即免费体验

抗生素与含碳纳米管的纳米流体联合治疗的分子效应的体外研究 。 需注意,原文结尾“on.”后面内容缺失,翻译可能不太完整准确。

An in Vitro Study of Molecular Effects of a Combination Treatment with Antibiotics and Nanofluid Containing Carbon Nano-tubes on .

作者信息

Mehdizadeh Maryam, Sheikhpour Mojgan, Salahshourifar Iman, Siadat Seyed Davar, Saffarian Parvaneh

机构信息

Department of Biology, Science and Research Branch, Islamic Azad University, Tehran, Iran.

Department of Mycobacteriology and Pulmonary Research, Pasteur Institute of Iran, Tehran, Iran.

出版信息

Iran J Public Health. 2021 Nov;50(11):2292-2301. doi: 10.18502/ijph.v50i11.7585.

DOI:10.18502/ijph.v50i11.7585
PMID:35223604
原文链接:https://pmc.ncbi.nlm.nih.gov/articles/PMC8826340/
Abstract

BACKGROUND

We aimed to prepare a nanofluid, containing -MWCNTs, and investigate the antibacterial efficacy of -MWCNTs+ ciprofloxacin (cip) on by evaluating the virulence gene expression.

METHODS

This study was carried out from 2019 to 2020, in the Department of Mycobacteriology and Pulmonary Research, Pasteur Institute of Iran. The nanofluid containing antibiotic and -MWCNTs were prepared by the ultrasonic method. The minimum inhibitory concentrations (MICs) of ciprofloxacin and -MWCNTs were determined using the broth micro dilution MIC tests. For examining the antibacterial effects, the expression level of virulence genes, under the influence of -MWCNTs, was evaluated by a real-time PCR.

RESULTS

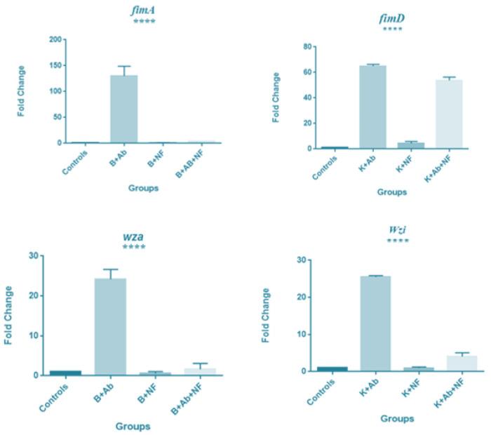
The effect of 8 μg/ml ciprofloxacin + 400 μg/ml -MWCNTs, completely inhibited the growth of the resistant isolate of , while, in the ATCC 700,603 isolate, 2 μg/ml ciprofloxacin with 100 μg/ml MWCNT could inhibit a bacterial growth. In the resistant clinical isolate after -MWCNT+cip treatment, the expression of , , and genes was significantly downregulated, compared to the ciprofloxacin treatment, and upregulated, compared to the negative control. For the ATCC 700,603 isolate treated with -MWCNT+cip, the expression of , and virulence genes showed upregulation, compared to the negative control and downregulated in comparison with the ciprofloxacin treatment.

CONCLUSION

Simultaneous treatment of resistant isolate of with -MWCNTs +antibiotic could improve the effectiveness of antibiotic at lower doses, due to the reduced expression of virulence genes in comparison with antibiotic treatment, besides the increased cell wall permeability to antibiotics.

摘要

背景

我们旨在制备一种含有多壁碳纳米管(MWCNTs)的纳米流体,并通过评估毒力基因表达来研究MWCNTs+环丙沙星(cip)对[具体细菌名称未给出]的抗菌效果。

方法

本研究于2019年至2020年在伊朗巴斯德研究所的分枝杆菌学与肺部研究部进行。通过超声法制备含有抗生素和MWCNTs的纳米流体。使用肉汤微量稀释MIC试验测定环丙沙星和MWCNTs的最低抑菌浓度(MICs)。为了检测抗菌效果,通过实时PCR评估MWCNTs影响下毒力基因的表达水平。

结果

8μg/ml环丙沙星 + 400μg/ml MWCNTs的组合完全抑制了[具体细菌名称未给出]耐药菌株的生长,而在ATCC 700,603菌株中,2μg/ml环丙沙星与100μg/ml MWCNT可抑制细菌生长。在MWCNT+cip治疗后的耐药[具体细菌名称未给出]临床分离株中,与环丙沙星治疗相比,[具体基因名称未给出]、[具体基因名称未给出]、[具体基因名称未给出]和[具体基因名称未给出]基因的表达显著下调,与阴性对照相比则上调。对于用MWCNT+cip处理的ATCC 700,603菌株,与阴性对照相比,[具体基因名称未给出]、[具体基因名称未给出]和[具体基因名称未给出]毒力基因的表达上调,与环丙沙星治疗相比则下调。

结论

用MWCNTs +抗生素同时治疗[具体细菌名称未给出]耐药分离株,与抗生素治疗相比,由于毒力基因表达降低以及细胞壁对抗生素的通透性增加,可在较低剂量下提高抗生素的有效性。

https://cdn.ncbi.nlm.nih.gov/pmc/blobs/96b4/8826340/3c47325b427b/IJPH-50-2292-g004.jpg
https://cdn.ncbi.nlm.nih.gov/pmc/blobs/96b4/8826340/9e39ba3511b8/IJPH-50-2292-g001.jpg
https://cdn.ncbi.nlm.nih.gov/pmc/blobs/96b4/8826340/e67b97e7e141/IJPH-50-2292-g002.jpg
https://cdn.ncbi.nlm.nih.gov/pmc/blobs/96b4/8826340/930f550e950f/IJPH-50-2292-g003.jpg
https://cdn.ncbi.nlm.nih.gov/pmc/blobs/96b4/8826340/3c47325b427b/IJPH-50-2292-g004.jpg
https://cdn.ncbi.nlm.nih.gov/pmc/blobs/96b4/8826340/9e39ba3511b8/IJPH-50-2292-g001.jpg
https://cdn.ncbi.nlm.nih.gov/pmc/blobs/96b4/8826340/e67b97e7e141/IJPH-50-2292-g002.jpg
https://cdn.ncbi.nlm.nih.gov/pmc/blobs/96b4/8826340/930f550e950f/IJPH-50-2292-g003.jpg
https://cdn.ncbi.nlm.nih.gov/pmc/blobs/96b4/8826340/3c47325b427b/IJPH-50-2292-g004.jpg

相似文献

1
An in Vitro Study of Molecular Effects of a Combination Treatment with Antibiotics and Nanofluid Containing Carbon Nano-tubes on .抗生素与含碳纳米管的纳米流体联合治疗的分子效应的体外研究 。 需注意,原文结尾“on.”后面内容缺失,翻译可能不太完整准确。
Iran J Public Health. 2021 Nov;50(11):2292-2301. doi: 10.18502/ijph.v50i11.7585.
2
Assessment of antibiotic resistance in Klebsiella pneumoniae exposed to sequential in vitro antibiotic treatments.对经序贯体外抗生素治疗的肺炎克雷伯菌的抗生素耐药性评估。
Ann Clin Microbiol Antimicrob. 2016 Dec 9;15(1):60. doi: 10.1186/s12941-016-0173-x.
3
Proteomics-based discrimination of differentially expressed proteins in antibiotic-sensitive and antibiotic-resistant Salmonella Typhimurium, Klebsiella pneumoniae, and Staphylococcus aureus.基于蛋白质组学的抗生素敏感和耐药鼠伤寒沙门氏菌、肺炎克雷伯菌和金黄色葡萄球菌差异表达蛋白的鉴别。
Arch Microbiol. 2019 Nov;201(9):1259-1275. doi: 10.1007/s00203-019-01693-1. Epub 2019 Jun 25.
4
Assessment of antibiotic resistance in bacteriophage-insensitive Klebsiella pneumoniae.评估噬菌体不敏感的肺炎克雷伯菌的抗生素耐药性。
Microb Pathog. 2019 Oct;135:103625. doi: 10.1016/j.micpath.2019.103625. Epub 2019 Jul 17.
5
Antibiotic delivery evaluation against Mycobacterium fortuitum using nanofluids containing carbon nanotubes.利用含碳纳米管的纳米流体评价针对分枝杆菌属的抗生素传递。
BMC Microbiol. 2022 Apr 11;22(1):96. doi: 10.1186/s12866-022-02523-z.
6
[Effect of efflux pump inhibitor 1-(1-naphthylmethyl)-piperazine to MIC values of ciprofloxacin in ciprofloxacin resistant gram-negative bacteria].[外排泵抑制剂1-(1-萘甲基)哌嗪对耐环丙沙星革兰氏阴性菌中环丙沙星最低抑菌浓度值的影响]
Mikrobiyol Bul. 2009 Jul;43(3):457-61.
7
Involvement of the AcrAB Efflux Pump in Ciprofloxacin Resistance in Clinical Klebsiella Pneumoniae Isolates.临床肺炎克雷伯菌分离株中 ACRAB 外排泵对环丙沙星耐药的作用。
Infect Disord Drug Targets. 2021;21(4):564-571. doi: 10.2174/1871526520999200905121220.
8
Genotypes of Ciprofloxacin-Resistant Klebsiella pneumoniae in Korea and Their Characteristics According to the Genetic Lineages.韩国耐环丙沙星肺炎克雷伯菌的基因型及其按遗传谱系的特征
Microb Drug Resist. 2015 Dec;21(6):622-30. doi: 10.1089/mdr.2015.0001. Epub 2015 Jul 24.
9
[Effect of Phenylalanine-arginine-beta-naphthylamide to Ciprofloxacin Minimum Inhibitory Concentration Values and Expression of Efflux Pump System Genes in Acinetobacter baumannii Isolates].[苯丙氨酸-精氨酸-β-萘酰胺对鲍曼不动杆菌分离株环丙沙星最低抑菌浓度值及外排泵系统基因表达的影响]
Mikrobiyol Bul. 2021 Jul;55(3):285-299. doi: 10.5578/mb.20219801.
10
Influence of induced ciprofloxacin resistance on efflux pump activity of Klebsiella pneumoniae.诱导的环丙沙星耐药性对肺炎克雷伯菌外排泵活性的影响。
J Zhejiang Univ Sci B. 2013 Sep;14(9):837-43. doi: 10.1631/jzus.B1200221.

引用本文的文献

1
The resistance mechanisms of bacteria against ciprofloxacin and new approaches for enhancing the efficacy of this antibiotic.细菌对抗环丙沙星的耐药机制和增强这种抗生素疗效的新方法。
Front Public Health. 2022 Dec 21;10:1025633. doi: 10.3389/fpubh.2022.1025633. eCollection 2022.
2
Anti-Infective and Toxicity Properties of Carbon Based Materials: Graphene and Functionalized Carbon Nanotubes.碳基材料的抗感染和毒性特性:石墨烯及功能化碳纳米管
Microorganisms. 2022 Dec 9;10(12):2439. doi: 10.3390/microorganisms10122439.
3
Robust antibacterial activity of functionalized carbon nanotube- levofloxacine conjugate based on in vitro and in vivo studies.

本文引用的文献

1
Antibiotic resistance, virulence-associated genes analysis and molecular typing of Klebsiella pneumoniae strains recovered from clinical samples.从临床样本中分离出的肺炎克雷伯菌菌株的抗生素耐药性、毒力相关基因分析及分子分型
AMB Express. 2021 Aug 30;11(1):122. doi: 10.1186/s13568-021-01282-w.
2
The Effects Study of Isoniazid Conjugated Multi-Wall Carbon Nanotubes Nanofluid on .异烟肼偶联多壁碳纳米管纳米流体的作用研究。
Int J Nanomedicine. 2020 Aug 13;15:5901-5909. doi: 10.2147/IJN.S251524. eCollection 2020.
3
Role of Nanofluids in Drug Delivery and Biomedical Technology: Methods and Applications.
基于体外和体内研究的功能化碳纳米管-左氧氟沙星缀合物的强大抗菌活性。
Sci Rep. 2022 Jun 16;12(1):10064. doi: 10.1038/s41598-022-14206-w.
4
Antibiotic delivery evaluation against Mycobacterium fortuitum using nanofluids containing carbon nanotubes.利用含碳纳米管的纳米流体评价针对分枝杆菌属的抗生素传递。
BMC Microbiol. 2022 Apr 11;22(1):96. doi: 10.1186/s12866-022-02523-z.
纳米流体在药物递送和生物医学技术中的作用:方法与应用
Nanotechnol Sci Appl. 2020 Jul 24;13:47-59. doi: 10.2147/NSA.S260374. eCollection 2020.
4
Nano-Based Drug Delivery or Targeting to Eradicate Bacteria for Infection Mitigation: A Review of Recent Advances.基于纳米的药物递送或靶向以根除细菌减轻感染:近期进展综述
Front Chem. 2020 Apr 24;8:286. doi: 10.3389/fchem.2020.00286. eCollection 2020.
5
presents antimicrobial drug resistance for β-lactam through the ESBL/PBP signaling pathway.通过ESBL/PBP信号通路呈现β-内酰胺类抗菌药物耐药性。
Exp Ther Med. 2020 Apr;19(4):2449-2456. doi: 10.3892/etm.2020.8498. Epub 2020 Feb 7.
6
Bacteriophages of spp., their diversity and potential therapeutic uses.种噬菌体及其多样性和潜在的治疗用途。
J Med Microbiol. 2020 Feb;69(2):176-194. doi: 10.1099/jmm.0.001141. Epub 2020 Jan 24.
7
Epidemiology, Treatment, and Prevention of Nosocomial Bacterial Pneumonia.医院获得性细菌性肺炎的流行病学、治疗与预防
J Clin Med. 2020 Jan 19;9(1):275. doi: 10.3390/jcm9010275.
8
Molecular characterization, serotypes and phenotypic and genotypic evaluation of antibiotic resistance of the strains isolated from different types of hospital-acquired infections.从不同类型医院获得性感染中分离出的菌株的分子特征、血清型以及抗生素耐药性的表型和基因型评估。
Infect Drug Resist. 2019 Mar 20;12:603-611. doi: 10.2147/IDR.S199639. eCollection 2019.
9
Synergy between Synthetic Antimicrobial Polymer and Antibiotics: A Promising Platform To Combat Multidrug-Resistant Bacteria.合成抗菌聚合物与抗生素之间的协同作用:对抗多重耐药细菌的一个有前景的平台。
ACS Infect Dis. 2019 Aug 9;5(8):1357-1365. doi: 10.1021/acsinfecdis.9b00049. Epub 2019 Apr 11.
10
Evaluating Different Virulence Traits of Using and Zebrafish Larvae as Host Models.利用 和 斑马鱼幼虫作为宿主模型评估 的不同毒力特征。
Front Cell Infect Microbiol. 2018 Feb 9;8:30. doi: 10.3389/fcimb.2018.00030. eCollection 2018.