Ma Yanhong, Li Jing, Huang Meixiang, Liu Lan, Wang Jun, Lin Yongcheng
School of Pharmaceutical Sciences, Sun Yat-sen University, Guangzhou 510006, China.
School of Marine Sciences, Sun Yat-sen University, Guangzhou 510006, China.
Mar Drugs. 2015 Oct 10;13(10):6306-18. doi: 10.3390/md13106306.
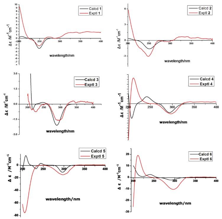
Six new compounds with polyketide decalin ring, peaurantiogriseols A-F (1-6), along with two known compounds, aspermytin A (7), 1-propanone,3-hydroxy-1- (1,2,4a,5,6,7,8,8a-octahydro-2,5-dihydroxy-1,2,6-trimethyl-1-naphthalenyl) (8), were isolated from the fermentation products of mangrove endophytic fungus Penicillium aurantiogriseum 328#. Their structures were elucidated based on their structure analysis. The absolute configurations of compounds 1 and 2 were determined by ¹H NMR analysis of their Mosher esters; the absolute configurations of 3-6 were determined by using theoretical calculations of electronic circular dichroism (ECD). Compounds 1-8 showed low inhibitory activity against human aldose reductase, no activity of inducing neurite outgrowth, nor antimicrobial activity.
从红树林内生真菌桔灰青霉328#的发酵产物中分离出六种具有聚酮萘烷环的新化合物,即桔灰青霉醇A-F(1-6),以及两种已知化合物,aspermytin A(7)、1-丙酮,3-羟基-1-(1,2,4a,5,6,7,8,8a-八氢-2,5-二羟基-1,2,6-三甲基-1-萘基)(8)。通过结构分析阐明了它们的结构。化合物1和2的绝对构型通过其莫舍尔酯的¹H NMR分析确定;化合物3-6的绝对构型通过电子圆二色性(ECD)理论计算确定。化合物1-8对人醛糖还原酶显示出低抑制活性,没有诱导神经突生长的活性,也没有抗菌活性。