Suppr超能文献

APRI、AAR、FIB-4、FI、King、Lok、Forns和FibroIndex评分在预测肝硬化食管静脉曲张存在方面的诊断准确性:一项系统评价和荟萃分析

Diagnostic Accuracy of APRI, AAR, FIB-4, FI, King, Lok, Forns, and FibroIndex Scores in Predicting the Presence of Esophageal Varices in Liver Cirrhosis: A Systematic Review and Meta-Analysis.

作者信息

Deng Han, Qi Xingshun, Guo Xiaozhong

机构信息

From the Liver Cirrhosis Study Group, Department of Gastroenterology, General Hospital of Shenyang Military Area, Shenyang, China (HD, XQ, XG); and Postgraduate College, Dalian Medical University, Dalian, China (HD).

出版信息

Medicine (Baltimore). 2015 Oct;94(42):e1795. doi: 10.1097/MD.0000000000001795.

Abstract

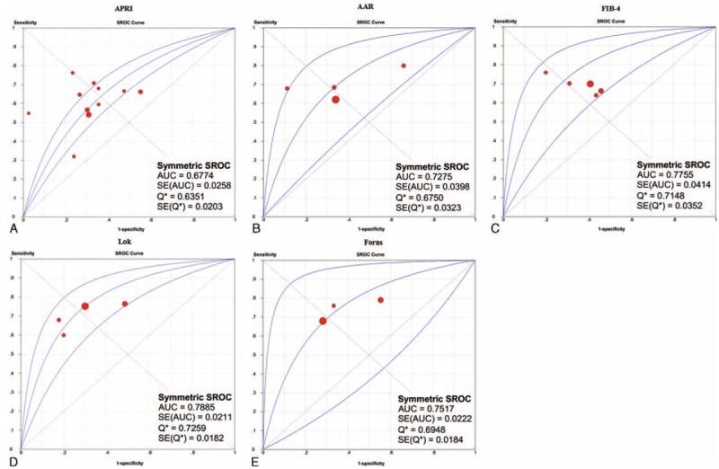
Aspartate aminotransferase-to-platelet ratio (APRI), aspartate aminotransferase-to-alanine aminotransferase ratio (AAR), FIB-4, FI, King, Lok, Forns, and FibroIndex scores may be simple and convenient noninvasive diagnostic tests, because they are based on the regular laboratory tests and demographic data. This study aimed to systematically evaluate their diagnostic accuracy for the prediction of varices in liver cirrhosis.All relevant papers were searched via PubMed, EMBASE, CNKI, and Wanfang databases. The area under the summary receiver operating characteristic curve (AUSROC), sensitivity, specificity, positive and negative likelihood ratio (PLR and NLR), and diagnostic odds ratio (DOR) were calculated.Overall, 12, 4, 5, 0, 0, 4, 3, and 1 paper was identified to explore the diagnostic accuracy of APRI, AAR, FIB-4, FI, King, Lok, Forns, and FibroIndex scores, respectively. The AUSROCs of APRI, AAR, FIB-4, Lok, and Forns scores for the prediction of varices were 0.6774, 0.7275, 0.7755, 0.7885, and 0.7517, respectively; and those for the prediction of large varices were 0.7278, 0.7448, 0.7095, 0.7264, and 0.6530, respectively. The diagnostic threshold effects of FIB-4 and Forns scores for the prediction of varices were statistically significant. The sensitivities/specificities/PLRs/NLRs/DORs of APRI, AAR, and Lok scores for the prediction of varices were 0.60/0.67/1.77/0.58/3.13, 0.64/0.63/1.97/0.54/4.18, and 0.74/0.68/2.34/0.40/5.76, respectively. The sensitivities/specificities/PLRs/NLRs/DORs of APRI, AAR, FIB-4, Lok, and Forns scores for the prediction of large varices were 0.65/0.66/2.15/0.47/4.97, 0.68/0.58/2.07/0.54/3.93, 0.62/0.64/2.02/0.56/3.57, 0.78/0.63/2.09/0.37/5.55, and 0.65/0.61/1.62/0.59/2.75, respectively.APRI, AAR, FIB-4, Lok, and Forns scores had low to moderate diagnostic accuracy in predicting the presence of varices in liver cirrhosis.

摘要

天冬氨酸氨基转移酶与血小板比值(APRI)、天冬氨酸氨基转移酶与丙氨酸氨基转移酶比值(AAR)、FIB-4、FI、King、Lok、Forns及FibroIndex评分可能是简单便捷的非侵入性诊断检查,因为它们基于常规实验室检查和人口统计学数据。本研究旨在系统评估它们预测肝硬化静脉曲张的诊断准确性。通过PubMed、EMBASE、中国知网和万方数据库检索所有相关论文。计算汇总受试者工作特征曲线下面积(AUSROC)、敏感性、特异性、阳性和阴性似然比(PLR和NLR)以及诊断比值比(DOR)。总体而言,分别有12、4、5、0、0、4、3和1篇论文探讨了APRI、AAR、FIB-4、FI、King、Lok、Forns及FibroIndex评分的诊断准确性。APRI、AAR、FIB-4、Lok及Forns评分预测静脉曲张的AUSROC分别为0.6774、0.7275、0.7755、0.7885和0.7517;预测大静脉曲张的AUSROC分别为0.7278、0.7448、0.7095、0.7264和0.6530。FIB-4和Forns评分预测静脉曲张的诊断阈值效应具有统计学意义。APRI、AAR和Lok评分预测静脉曲张的敏感性/特异性/PLR/NLR/DOR分别为0.60/0.67/1.77/0.58/3.13、0.64/0.63/1.97/0.54/4.18和0.74/0.68/2.34/0.40/5.76。APRI、AAR、FIB-4、Lok和Forns评分预测大静脉曲张的敏感性/特异性/PLR/NLR/DOR分别为0.65/0.66/2.15/0.47/4.97、0.68/0.58/2.07/0.54/3.93、0.62/0.64/2.02/0.56/3.57、0.78/0.63/2.09/0.37/5.55和0.65/0.61/1.62/0.59/2.75。APRI、AAR、FIB-4、Lok和Forns评分在预测肝硬化静脉曲张的存在方面具有低至中等的诊断准确性。

https://cdn.ncbi.nlm.nih.gov/pmc/blobs/b1e5/4620760/d51c44cef5a7/medi-94-e1795-g003.jpg

文献AI研究员

20分钟写一篇综述,助力文献阅读效率提升50倍。

立即体验

用中文搜PubMed

大模型驱动的PubMed中文搜索引擎

马上搜索

文档翻译

学术文献翻译模型,支持多种主流文档格式。

立即体验