• 文献检索
  • 文档翻译
  • 深度研究
  • 学术资讯
  • Suppr Zotero 插件Zotero 插件
  • 邀请有礼
  • 套餐&价格
  • 历史记录
应用&插件
Suppr Zotero 插件Zotero 插件浏览器插件Mac 客户端Windows 客户端微信小程序
定价
高级版会员购买积分包购买API积分包
服务
文献检索文档翻译深度研究API 文档MCP 服务
关于我们
关于 Suppr公司介绍联系我们用户协议隐私条款
关注我们

Suppr 超能文献

核心技术专利:CN118964589B侵权必究
粤ICP备2023148730 号-1Suppr @ 2026

文献检索

告别复杂PubMed语法,用中文像聊天一样搜索,搜遍4000万医学文献。AI智能推荐,让科研检索更轻松。

立即免费搜索

文件翻译

保留排版,准确专业,支持PDF/Word/PPT等文件格式,支持 12+语言互译。

免费翻译文档

深度研究

AI帮你快速写综述,25分钟生成高质量综述,智能提取关键信息,辅助科研写作。

立即免费体验

两种异化型(Nar)硝酸还原酶在甲基营养型海洋细菌嗜硝酸盐甲基食菌JAM1生长和硝酸盐还原中的重要性

Importance of the Two Dissimilatory (Nar) Nitrate Reductases in the Growth and Nitrate Reduction of the Methylotrophic Marine Bacterium Methylophaga nitratireducenticrescens JAM1.

作者信息

Mauffrey Florian, Martineau Christine, Villemur Richard

机构信息

Institut National de la Recherche Scientifique-Institut Armand-Frappier, Laval QC, Canada.

出版信息

Front Microbiol. 2015 Dec 24;6:1475. doi: 10.3389/fmicb.2015.01475. eCollection 2015.

DOI:10.3389/fmicb.2015.01475
PMID:26733997
原文链接:https://pmc.ncbi.nlm.nih.gov/articles/PMC4689864/
Abstract

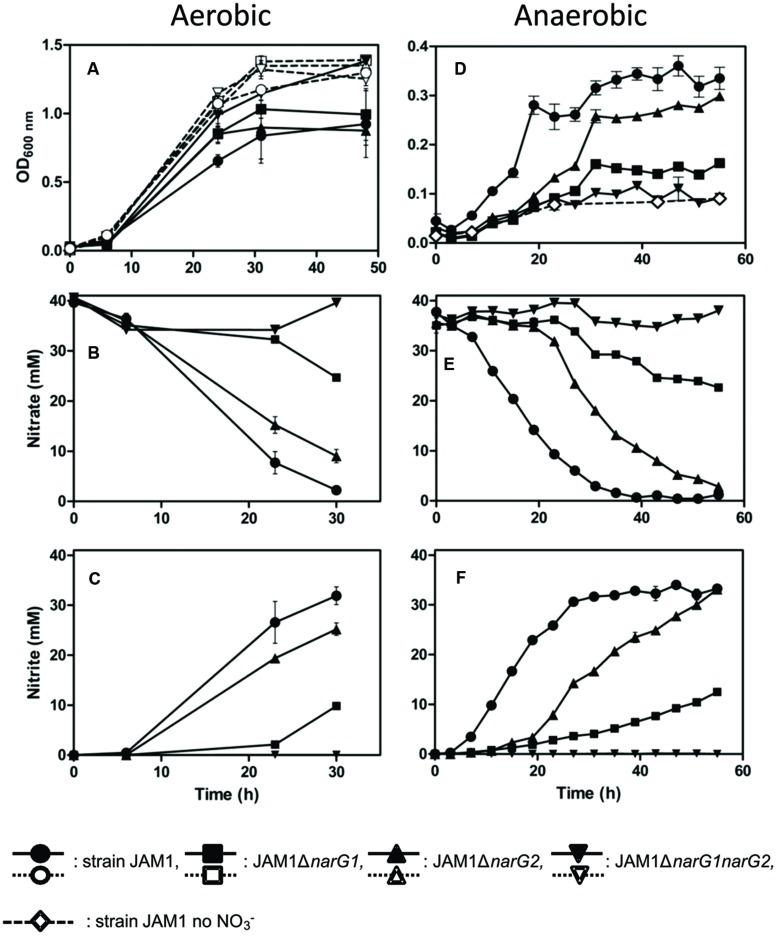
Methylophaga nitratireducenticrescens JAM1 is the only reported Methylophaga species capable of growing under anaerobic conditions with nitrate as electron acceptor. Its genome encodes a truncated denitrification pathway, which includes two nitrate reductases, Nar1 and Nar2; two nitric oxide reductases, Nor1 and Nor2; and one nitrous oxide reductase, Nos; but no nitrite reductase (NirK or NirS). The transcriptome of strain JAM1 cultivated with nitrate and methanol under anaerobic conditions showed the genes for these enzymes were all expressed. We investigated the importance of Nar1 and Nar2 by knocking out narG1, narG2 or both genes. Measurement of the specific growth rate and the specific nitrate reduction rate of the knockout mutants JAM1ΔnarG1 (Nar1) and JAM1ΔnarG2 (Nar2) clearly demonstrated that both Nar systems contributed to the growth of strain JAM1 under anaerobic conditions, but at different levels. The JAM1ΔnarG1 mutant exhibited an important decrease in the nitrate reduction rate that consequently impaired its growth under anaerobic conditions. In JAM1ΔnarG2, the mutation induced a 20-h lag period before nitrate reduction occurred at specific rate similar to that of strain JAM1. The disruption of narG1 did not affect the expression of narG2. However, the expression of the Nar1 system was highly downregulated in the presence of oxygen with the JAM1ΔnarG2 mutant. These results indicated that Nar1 is the major nitrate reductase in strain JAM1 but Nar2 appears to regulate the expression of Nar1.

摘要

嗜甲基菌属硝酸盐还原增长菌JAM1是唯一已报道的能够在厌氧条件下以硝酸盐作为电子受体进行生长的嗜甲基菌属菌种。其基因组编码一条截短的反硝化途径,该途径包括两种硝酸盐还原酶Nar1和Nar2;两种一氧化氮还原酶Nor1和Nor2;以及一种一氧化二氮还原酶Nos;但不包括亚硝酸还原酶(NirK或NirS)。在厌氧条件下用硝酸盐和甲醇培养的JAM1菌株的转录组显示这些酶的基因均有表达。我们通过敲除narG1、narG2或这两个基因来研究Nar1和Nar2的重要性。对敲除突变体JAM1ΔnarG1(Nar1)和JAM1ΔnarG2(Nar2)的比生长速率和比硝酸盐还原速率的测量清楚地表明,两个Nar系统都有助于JAM1菌株在厌氧条件下的生长,但程度不同。JAM1ΔnarG1突变体的硝酸盐还原速率显著下降,从而损害了其在厌氧条件下的生长。在JAM1ΔnarG2中,该突变导致在以与JAM1菌株相似的特定速率进行硝酸盐还原之前出现20小时的滞后期。narG1的破坏不影响narG2的表达。然而,在有氧条件下,JAM1ΔnarG2突变体中Nar1系统的表达被高度下调。这些结果表明,Nar1是JAM1菌株中的主要硝酸盐还原酶,但Nar2似乎调节Nar1的表达。

https://cdn.ncbi.nlm.nih.gov/pmc/blobs/da96/4689864/ac7c259cbcf0/fmicb-06-01475-g005.jpg
https://cdn.ncbi.nlm.nih.gov/pmc/blobs/da96/4689864/bb12ed810822/fmicb-06-01475-g001.jpg
https://cdn.ncbi.nlm.nih.gov/pmc/blobs/da96/4689864/b6ea9636f5f5/fmicb-06-01475-g002.jpg
https://cdn.ncbi.nlm.nih.gov/pmc/blobs/da96/4689864/d7e176467d15/fmicb-06-01475-g003.jpg
https://cdn.ncbi.nlm.nih.gov/pmc/blobs/da96/4689864/cf78abaed597/fmicb-06-01475-g004.jpg
https://cdn.ncbi.nlm.nih.gov/pmc/blobs/da96/4689864/ac7c259cbcf0/fmicb-06-01475-g005.jpg
https://cdn.ncbi.nlm.nih.gov/pmc/blobs/da96/4689864/bb12ed810822/fmicb-06-01475-g001.jpg
https://cdn.ncbi.nlm.nih.gov/pmc/blobs/da96/4689864/b6ea9636f5f5/fmicb-06-01475-g002.jpg
https://cdn.ncbi.nlm.nih.gov/pmc/blobs/da96/4689864/d7e176467d15/fmicb-06-01475-g003.jpg
https://cdn.ncbi.nlm.nih.gov/pmc/blobs/da96/4689864/cf78abaed597/fmicb-06-01475-g004.jpg
https://cdn.ncbi.nlm.nih.gov/pmc/blobs/da96/4689864/ac7c259cbcf0/fmicb-06-01475-g005.jpg

相似文献

1
Importance of the Two Dissimilatory (Nar) Nitrate Reductases in the Growth and Nitrate Reduction of the Methylotrophic Marine Bacterium Methylophaga nitratireducenticrescens JAM1.两种异化型(Nar)硝酸还原酶在甲基营养型海洋细菌嗜硝酸盐甲基食菌JAM1生长和硝酸盐还原中的重要性
Front Microbiol. 2015 Dec 24;6:1475. doi: 10.3389/fmicb.2015.01475. eCollection 2015.
2
Denitrifying metabolism of the methylotrophic marine bacterium strain JAM1.甲基营养型海洋细菌菌株JAM1的反硝化代谢
PeerJ. 2017 Nov 28;5:e4098. doi: 10.7717/peerj.4098. eCollection 2017.
3
Strain-level genetic diversity of confers plasticity to denitrification capacity in a methylotrophic marine denitrifying biofilm.甲基营养型海洋反硝化生物膜中菌株水平的遗传多样性赋予反硝化能力可塑性。
PeerJ. 2018 Apr 23;6:e4679. doi: 10.7717/peerj.4679. eCollection 2018.
4
Methylophaga nitratireducenticrescens sp. nov. and Methylophaga frappieri sp. nov., isolated from the biofilm of the methanol-fed denitrification system treating the seawater at the Montreal Biodome.甲基硝酸还原杆菌属新种和甲基福拉第氏菌属新种,从处理蒙特利尔生物多样性博物馆海水的甲醇喂养反硝化系统生物膜中分离得到。
Int J Syst Evol Microbiol. 2013 Jun;63(Pt 6):2216-2222. doi: 10.1099/ijs.0.044545-0. Epub 2012 Nov 12.
5
Co-culturing strain NL23 and strain JAM1 allows sustainable denitrifying activities under marine conditions.将菌株NL23和菌株JAM1共同培养可在海洋条件下实现可持续的反硝化活性。
PeerJ. 2021 Nov 1;9:e12424. doi: 10.7717/peerj.12424. eCollection 2021.
6
Dynamics of a methanol-fed marine denitrifying biofilm: 1-Impact of environmental changes on the denitrification and the co-occurrence of and .以甲醇为食源的海洋反硝化生物膜的动力学:1-环境变化对反硝化作用以及[具体物质1]和[具体物质2]共生的影响
PeerJ. 2019 Aug 13;7:e7497. doi: 10.7717/peerj.7497. eCollection 2019.
7
Dissimilatory reduction of nitrate in seawater by a Methylophaga strain containing two highly divergent narG sequences.含有两个高度不同的 narG 序列的甲基球菌属菌株对海水中硝酸盐的异化还原。
ISME J. 2010 Oct;4(10):1302-13. doi: 10.1038/ismej.2010.47. Epub 2010 Apr 15.
8
Functional diversity in the denitrifying biofilm of the methanol-fed marine denitrification system at the Montreal Biodome.在蒙特利尔生物圈的甲醇喂养海洋反硝化系统的反硝化生物膜中的功能多样性。
Microb Ecol. 2012 May;63(4):726-35. doi: 10.1007/s00248-011-9960-2. Epub 2011 Oct 18.
9
Activity of Spore-Specific Respiratory Nitrate Reductase 1 of A3(2) Requires a Functional Cytochrome Oxidase Supercomplex.A3(2) 型孢子特异性呼吸硝酸盐还原酶 1 的活性需要功能性细胞色素氧化酶超级复合物。
J Bacteriol. 2019 May 8;201(11). doi: 10.1128/JB.00104-19. Print 2019 Jun 1.
10
Oxygen-dependent control of respiratory nitrate reduction in mycelium of Streptomyces coelicolor A3(2).天蓝色链霉菌A3(2)菌丝体中呼吸性硝酸盐还原的氧依赖性调控
J Bacteriol. 2014 Dec;196(23):4152-62. doi: 10.1128/JB.02202-14. Epub 2014 Sep 15.

引用本文的文献

1
The bacterial strains JAM1 and GP59 of the species differ in their expression profiles of denitrification genes in oxic and anoxic cultures.该物种的细菌菌株 JAM1 和 GP59 在好氧和缺氧培养物中硝化作 用基因的表达谱存在差异。
PeerJ. 2024 Oct 28;12:e18361. doi: 10.7717/peerj.18361. eCollection 2024.
2
Co-culturing strain NL23 and strain JAM1 allows sustainable denitrifying activities under marine conditions.将菌株NL23和菌株JAM1共同培养可在海洋条件下实现可持续的反硝化活性。
PeerJ. 2021 Nov 1;9:e12424. doi: 10.7717/peerj.12424. eCollection 2021.
3
Dynamics of a methanol-fed marine denitrifying biofilm: 1-Impact of environmental changes on the denitrification and the co-occurrence of and .

本文引用的文献

1
Comparative Analysis of Denitrifying Activities of Hyphomicrobium nitrativorans, Hyphomicrobium denitrificans, and Hyphomicrobium zavarzinii.硝酸还原生丝微菌、反硝化生丝微菌和扎瓦尔津生丝微菌反硝化活性的比较分析
Appl Environ Microbiol. 2015 Aug;81(15):5003-14. doi: 10.1128/AEM.00848-15. Epub 2015 May 15.
2
A conservative amino acid mutation in the master regulator FleQ renders Pseudomonas aeruginosa aflagellate.主调控因子FleQ中的保守氨基酸突变使铜绿假单胞菌失去鞭毛。
PLoS One. 2014 May 14;9(5):e97439. doi: 10.1371/journal.pone.0097439. eCollection 2014.
3
Slope of the Monod equation as an indicator of advantage in nutrient competition.
以甲醇为食源的海洋反硝化生物膜的动力学:1-环境变化对反硝化作用以及[具体物质1]和[具体物质2]共生的影响
PeerJ. 2019 Aug 13;7:e7497. doi: 10.7717/peerj.7497. eCollection 2019.
4
Dynamics of a methanol-fed marine denitrifying biofilm: 2-impact of environmental changes on the microbial community.以甲醇为食源的海洋反硝化生物膜的动力学:2. 环境变化对微生物群落的影响
PeerJ. 2019 Aug 13;7:e7467. doi: 10.7717/peerj.7467. eCollection 2019.
5
Genomic organization, gene expression and activity profile of denitrification enzymes.反硝化酶的基因组组织、基因表达及活性概况
PeerJ. 2018 Sep 21;6:e5603. doi: 10.7717/peerj.5603. eCollection 2018.
6
Strain-level genetic diversity of confers plasticity to denitrification capacity in a methylotrophic marine denitrifying biofilm.甲基营养型海洋反硝化生物膜中菌株水平的遗传多样性赋予反硝化能力可塑性。
PeerJ. 2018 Apr 23;6:e4679. doi: 10.7717/peerj.4679. eCollection 2018.
7
Denitrifying metabolism of the methylotrophic marine bacterium strain JAM1.甲基营养型海洋细菌菌株JAM1的反硝化代谢
PeerJ. 2017 Nov 28;5:e4098. doi: 10.7717/peerj.4098. eCollection 2017.
Monod 方程斜率作为营养竞争优势的指标。
Microb Ecol. 1980 Dec;5(4):281-6. doi: 10.1007/BF02020335.
4
A novel protein protects bacterial iron-dependent metabolism from nitric oxide.一种新型蛋白质可保护细菌的铁依赖性代谢免受一氧化氮的影响。
J Bacteriol. 2013 Oct;195(20):4702-8. doi: 10.1128/JB.00836-13. Epub 2013 Aug 9.
5
Hyphomicrobium nitrativorans sp. nov., isolated from the biofilm of a methanol-fed denitrification system treating seawater at the Montreal Biodome.亚硝酸微菌属(Hyphomicrobium)新种,从处理海水的甲醇喂养反硝化系统生物膜中分离得到,该系统位于蒙特利尔生物多样性博物馆。
Int J Syst Evol Microbiol. 2013 Oct;63(Pt 10):3777-3781. doi: 10.1099/ijs.0.048124-0. Epub 2013 May 10.
6
Methylophaga nitratireducenticrescens sp. nov. and Methylophaga frappieri sp. nov., isolated from the biofilm of the methanol-fed denitrification system treating the seawater at the Montreal Biodome.甲基硝酸还原杆菌属新种和甲基福拉第氏菌属新种,从处理蒙特利尔生物多样性博物馆海水的甲醇喂养反硝化系统生物膜中分离得到。
Int J Syst Evol Microbiol. 2013 Jun;63(Pt 6):2216-2222. doi: 10.1099/ijs.0.044545-0. Epub 2012 Nov 12.
7
Functional diversity in the denitrifying biofilm of the methanol-fed marine denitrification system at the Montreal Biodome.在蒙特利尔生物圈的甲醇喂养海洋反硝化系统的反硝化生物膜中的功能多样性。
Microb Ecol. 2012 May;63(4):726-35. doi: 10.1007/s00248-011-9960-2. Epub 2011 Oct 18.
8
Physiological roles for two periplasmic nitrate reductases in Rhodobacter sphaeroides 2.4.3 (ATCC 17025).球形红杆菌 2.4.3(ATCC 17025)中两种周质硝酸盐还原酶的生理作用。
J Bacteriol. 2011 Dec;193(23):6483-9. doi: 10.1128/JB.05324-11. Epub 2011 Sep 23.
9
Differential expression in RNA-seq: a matter of depth.RNA-seq 中的差异表达:深度的问题。
Genome Res. 2011 Dec;21(12):2213-23. doi: 10.1101/gr.124321.111. Epub 2011 Sep 8.
10
Emended description of the genus Methylophaga Janvier et al. 1985.修改后的甲基杆菌属描述 Janvier 等人,1985 年。
Int J Syst Evol Microbiol. 2012 Jul;62(Pt 7):1644-1646. doi: 10.1099/ijs.0.033639-0. Epub 2011 Sep 2.