Suppr超能文献

块茎膨大期水氮对马铃薯源库关系的调控效应

Regulation Effects of Water and Nitrogen on the Source-Sink Relationship in Potato during the Tuber Bulking Stage.

作者信息

Li Wenting, Xiong Binglin, Wang Shiwen, Deng Xiping, Yin Lina, Li Hongbing

机构信息

Stata Key Laboratory of Soil Erosion and Dryland Farming on the Loess Plateau, Institute of Soil and Water Conservation, Chinese Academy of Sciences / Northwest A&F University, Yangling, Shaanxi, China.

University of Chinese Academy of Sciences, Beijing, China.

出版信息

PLoS One. 2016 Jan 11;11(1):e0146877. doi: 10.1371/journal.pone.0146877. eCollection 2016.

Abstract

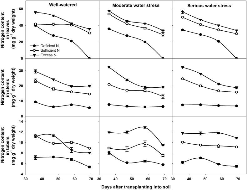
The source-sink relationship determines crop yield, and it is largely regulated by water and nutrients in agricultural production. This has been widely investigated in cereals, but fewer studies have been conducted in root and tuber crops such as potato (Solanum tuberosum L.). The objective of this study was to investigate the source-sink relationship in potato and the regulation of water and nitrogen on the source-sink relationship during the tuber bulking stage. A pot experiment using virus-free plantlets of the Atlantic potato cultivar was conducted, using three water levels (50%, 70% and 90% of field capacity) and three nitrogen levels (0, 0.2, 0.4 g N∙kg-1 soil). The results showed that, under all water and nitrogen levels, plant source capacity were small at the end of the experiment, since photosynthetic activity in leaves were low and non-structural reserves in underground stems were completely remobilized. While at this time, there were very big differences in maximum and minimum tuber number and tuber weight, indicating that the sink tuber still had a large potential capacity to take in assimilates. These results suggest that the source-supplied assimilates were not sufficient enough to meet the demands of sink growth. Thus, we concluded that, unlike cereals, potato yield is more likely to be source-limited than sink-limited during the tuber bulking stage. Water and nitrogen are two key factors in potato production management. Our results showed that water level, nitrogen level and the interaction between water and nitrogen influence potato yield mainly through affecting source capacity via the net photosynthetic rate, total leaf area and leaf life span. Well-watered, sufficient nitrogen and well-watered combined with sufficient nitrogen increased yield mainly by enhancing the source capacity. Therefore, this suggests that increasing source capacity is more crucial to improve potato yield.

摘要

源库关系决定作物产量,在农业生产中,它很大程度上受水分和养分的调控。这在谷类作物中已得到广泛研究,但针对马铃薯(Solanum tuberosum L.)等块根和块茎作物的相关研究较少。本研究的目的是探究马铃薯的源库关系以及块茎膨大期水分和氮素对源库关系的调控。采用大西洋马铃薯品种的脱毒苗进行盆栽试验,设置三个水分水平(田间持水量的50%、70%和90%)和三个氮水平(0、0.2、0.4 g N∙kg-1土壤)。结果表明,在所有水分和氮水平下,试验结束时植株的源能力较小,因为叶片的光合活性较低,地下茎中的非结构性储备已完全被调动。而此时,块茎数量的最大值和最小值以及块茎重量存在很大差异,表明库块茎仍具有很大的同化产物吸收潜力。这些结果表明,源供应的同化物不足以满足库生长的需求。因此,我们得出结论,与谷类作物不同,马铃薯在块茎膨大期产量更可能受源限制而非库限制。水分和氮素是马铃薯生产管理中的两个关键因素。我们的结果表明,水分水平、氮水平以及水分与氮素的交互作用主要通过净光合速率、总叶面积和叶片寿命影响源能力,进而影响马铃薯产量。水分充足、氮素充足以及水分充足与氮素充足相结合主要通过增强源能力来提高产量。因此,这表明增加源能力对提高马铃薯产量更为关键。

https://cdn.ncbi.nlm.nih.gov/pmc/blobs/ed02/4709089/33134fa0716b/pone.0146877.g001.jpg

文献AI研究员

20分钟写一篇综述,助力文献阅读效率提升50倍。

立即体验

用中文搜PubMed

大模型驱动的PubMed中文搜索引擎

马上搜索

文档翻译

学术文献翻译模型,支持多种主流文档格式。

立即体验