Suppr超能文献

基于阳极氧化铝模板制备用于透明导电电极的铝纳米网薄膜

Preparation of Aluminum Nanomesh Thin Films from an Anodic Aluminum Oxide Template as Transparent Conductive Electrodes.

作者信息

Li Yiwen, Chen Yulong, Qiu Mingxia, Yu Hongyu, Zhang Xinhai, Sun Xiao Wei, Chen Rui

机构信息

Department of Electrical and Electronic Engineering, South University of Science and Technology of China, Shenzhen, Guangdong 518055, P. R. China.

LUMINOUS! Center of Excellence for Semiconductor Lighting and Displays, School of Electrical and Electronic Engineering, Nanyang Technological University, 50 Nanyang Avenue, 639798, Singapore.

出版信息

Sci Rep. 2016 Feb 2;6:20114. doi: 10.1038/srep20114.

Abstract

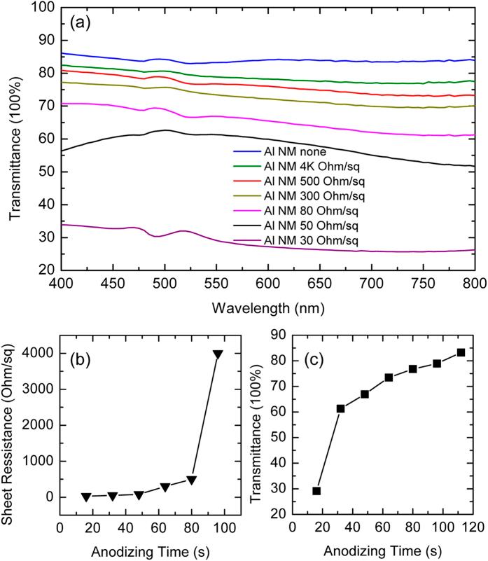
We have employed anodic aluminum oxide as a template to prepare ultrathin, transparent, and conducting Al films with a unique nanomesh structure for transparent conductive electrodes. The anodic aluminum oxide template is obtained through direct anodization of a sputtered Al layer on a glass substrate, and subsequent wet etching creates the nanomesh metallic film. The optical and conductive properties are greatly influenced by experimental conditions. By tuning the anodizing time, transparent electrodes with appropriate optical transmittance and sheet resistance have been obtained. The results demonstrate that our proposed strategy can serve as a potential method to fabricate low-cost TCEs to replace conventional indium tin oxide materials.

摘要

我们采用阳极氧化铝作为模板,制备具有独特纳米网格结构的超薄、透明且导电的铝膜,用于透明导电电极。阳极氧化铝模板是通过对玻璃基板上溅射的铝层进行直接阳极氧化获得的,随后的湿法蚀刻形成纳米网格金属膜。光学和导电性能受实验条件的影响很大。通过调整阳极氧化时间,获得了具有适当光学透过率和方块电阻的透明电极。结果表明,我们提出的策略可作为一种潜在的方法来制造低成本的透明导电电极,以取代传统的氧化铟锡材料。

https://cdn.ncbi.nlm.nih.gov/pmc/blobs/2dc5/4735723/9ea5ab0edbc1/srep20114-f1.jpg

文献检索

告别复杂PubMed语法,用中文像聊天一样搜索,搜遍4000万医学文献。AI智能推荐,让科研检索更轻松。

立即免费搜索

文件翻译

保留排版,准确专业,支持PDF/Word/PPT等文件格式,支持 12+语言互译。

免费翻译文档

深度研究

AI帮你快速写综述,25分钟生成高质量综述,智能提取关键信息,辅助科研写作。

立即免费体验