McClelland V M, Valentin A, Rey H G, Lumsden D E, Elze M C, Selway R, Alarcon G, Lin J-P
Department of Clinical Neurophysiology, King's College Hospital NHS Foundation Trust, London, UK Department of Basic and Clinical Neuroscience, King's College London, London, UK.
Department of Clinical Neurophysiology, King's College Hospital NHS Foundation Trust, London, UK Department of Basic and Clinical Neuroscience, King's College London, London, UK Department of Human Physiology, Faculty of Medicine, Complutense University, Madrid, Spain.
J Neurol Neurosurg Psychiatry. 2016 Sep;87(9):958-67. doi: 10.1136/jnnp-2015-311803. Epub 2016 Feb 4.
The pathophysiology underlying different types of dystonia is not yet understood. We report microelectrode data from the globus pallidus interna (GPi) and globus pallidus externa (GPe) in children undergoing deep brain stimulation (DBS) for dystonia and investigate whether GPi and GPe firing rates differ between dystonia types.
Single pass microelectrode data were obtained to guide electrode position in 44 children (3.3-18.1 years, median 10.7) with the following dystonia types: 14 primary, 22 secondary Static and 8 progressive secondary to neuronal brain iron accumulation (NBIA). Preoperative stereotactic MRI determined coordinates for the GPi target. Digitised spike trains were analysed offline, blind to clinical data. Electrode placement was confirmed by a postoperative stereotactic CT scan.
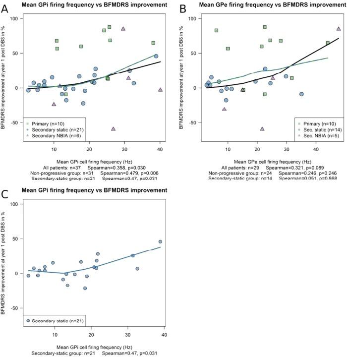
We identified 263 GPi and 87 GPe cells. Both GPi and GPe firing frequencies differed significantly with dystonia aetiology. The median GPi firing frequency was higher in the primary group than in the secondary static group (13.5 Hz vs 9.6 Hz; p=0.002) and higher in the NBIA group than in either the primary (25 Hz vs 13.5 Hz; p=0.006) or the secondary static group (25 Hz vs 9.6 Hz; p=0.00004). The median GPe firing frequency was higher in the NBIA group than in the secondary static group (15.9 Hz vs 7 Hz; p=0.013). The NBIA group also showed a higher proportion of regularly firing GPi cells compared with the other groups (p<0.001). A higher proportion of regular GPi cells was also seen in patients with fixed/tonic dystonia compared with a phasic/dynamic dystonia phenotype (p<0.001). The GPi firing frequency showed a positive correlation with 1-year outcome from DBS measured by improvement in the Burke-Fahn-Marsden Dystonia Rating Scale (BFMDRS-m) score (p=0.030). This association was stronger for the non-progressive patients (p=0.006).
Pallidal firing rates and patterns differ significantly with dystonia aetiology and phenotype. Identification of specific firing patterns may help determine targets and patient-specific protocols for neuromodulation therapy.
National Institute of Health Research, Guy's and St. Thomas' Charity, Dystonia Society UK, Action Medical Research, German National Academic Foundation.
不同类型肌张力障碍的病理生理学机制尚不清楚。我们报告了接受肌张力障碍深部脑刺激(DBS)治疗的儿童内侧苍白球(GPi)和外侧苍白球(GPe)的微电极数据,并研究了不同类型肌张力障碍中GPi和GPe的放电频率是否存在差异。
获取44名儿童(年龄3.3 - 18.1岁,中位数10.7岁)的单次微电极数据以指导电极定位,这些儿童患有以下类型的肌张力障碍:14例原发性、22例继发性静止性和8例继发于神经元脑铁沉积(NBIA)的进行性肌张力障碍。术前立体定向MRI确定GPi靶点的坐标。数字化的尖峰序列进行离线分析,分析时对临床数据保密。术后立体定向CT扫描确认电极位置。
我们识别出263个GPi细胞和87个GPe细胞。GPi和GPe的放电频率均因肌张力障碍的病因不同而有显著差异。原发性组的GPi放电频率中位数高于继发性静止性组(13.5Hz对9.6Hz;p = 0.002),NBIA组高于原发性组(25Hz对13.5Hz;p = 0.006)和继发性静止性组(25Hz对9.6Hz;p = 0.00004)。NBIA组的GPe放电频率中位数高于继发性静止性组(15.9Hz对7Hz;p = 0.013)。与其他组相比,NBIA组中规则放电的GPi细胞比例也更高(p < 0.001)。与相性/动态肌张力障碍表型相比,固定/强直性肌张力障碍患者中规则放电的GPi细胞比例也更高(p < 0.001)。GPi放电频率与DBS术后1年的疗效呈正相关,疗效通过伯克 - 法恩 - 马尔登肌张力障碍评定量表(BFMDRS - m)评分的改善来衡量(p = 0.030)。这种关联在非进行性患者中更强(p = 0.006)。
苍白球的放电频率和模式因肌张力障碍的病因和表型不同而有显著差异。识别特定的放电模式可能有助于确定神经调节治疗的靶点和针对患者的方案。
美国国立卫生研究院、盖伊和圣托马斯慈善机构、英国肌张力障碍协会、行动医学研究、德国国家学术基金会。