Suppr超能文献

深入了解辅酶 A 辅因子结合和来自产植物梭菌的酰化醛脱氢酶中酰基转移的机制。

Insight into Coenzyme A cofactor binding and the mechanism of acyl-transfer in an acylating aldehyde dehydrogenase from Clostridium phytofermentans.

机构信息

Institute of Quantitative Biology, Biochemistry and Biotechnology, The University of Edinburgh, Max Born Crescent, EH9 3BF, UK.

Institute for Cell and Molecular Biosciences, Newcastle University, Framlington Place, Newcastle upon Tyne, NE2 4HH, UK.

出版信息

Sci Rep. 2016 Feb 22;6:22108. doi: 10.1038/srep22108.

Abstract

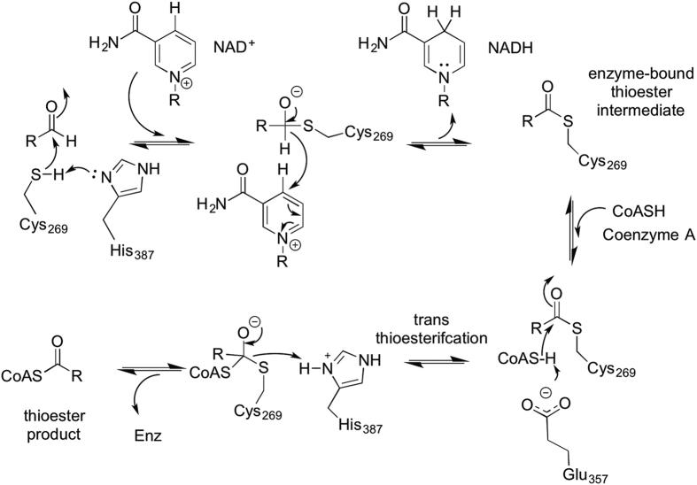
The breakdown of fucose and rhamnose released from plant cell walls by the cellulolytic soil bacterium Clostridium phytofermentans produces toxic aldehyde intermediates. To enable growth on these carbon sources, the pathway for the breakdown of fucose and rhamnose is encapsulated within a bacterial microcompartment (BMC). These proteinaceous organelles sequester the toxic aldehyde intermediates and allow the efficient action of acylating aldehyde dehydrogenase enzymes to produce an acyl-CoA that is ultimately used in substrate-level phosphorylation to produce ATP. Here we analyse the kinetics of the aldehyde dehydrogenase enzyme from the fucose/rhamnose utilisation BMC with different short-chain fatty aldehydes and show that it has activity against substrates with up to six carbon atoms, with optimal activity against propionaldehyde. We have also determined the X-ray crystal structure of this enzyme in complex with CoA and show that the adenine nucleotide of this cofactor is bound in a distinct pocket to the same group in NAD(+). This work is the first report of the structure of CoA bound to an aldehyde dehydrogenase enzyme and our crystallographic model provides important insight into the differences within the active site that distinguish the acylating from non-acylating aldehyde dehydrogenase enzymes.

摘要

植物细胞壁中的岩藻糖和鼠李糖被纤维素分解土壤细菌 Clostridium phytofermentans 分解产生有毒的醛中间产物。为了能够利用这些碳源,岩藻糖和鼠李糖的分解途径被包裹在细菌微隔间(BMC)内。这些蛋白质细胞器隔离有毒的醛中间产物,并允许酰化醛脱氢酶有效地作用,产生酰基辅酶 A,最终用于底物水平磷酸化以产生 ATP。在这里,我们分析了来自岩藻糖/鼠李糖利用 BMC 的醛脱氢酶与不同短链脂肪酸醛的动力学,并表明它对多达六个碳原子的底物具有活性,对丙醛的活性最佳。我们还确定了该酶与 CoA 形成复合物的 X 射线晶体结构,并表明该辅因子的腺嘌呤核苷酸结合在一个独特的口袋中,与 NAD(+)中的相同基团结合。这项工作首次报道了与醛脱氢酶结合的 CoA 的结构,我们的晶体结构模型提供了关于区分酰化和非酰化醛脱氢酶的活性位点内差异的重要见解。

https://cdn.ncbi.nlm.nih.gov/pmc/blobs/ab98/4762007/6e6e5bf7da1e/srep22108-f1.jpg

文献AI研究员

20分钟写一篇综述,助力文献阅读效率提升50倍。

立即体验

用中文搜PubMed

大模型驱动的PubMed中文搜索引擎

马上搜索

文档翻译

学术文献翻译模型,支持多种主流文档格式。

立即体验