Milgrom Jeannette, Danaher Brian G, Gemmill Alan W, Holt Charlene, Holt Christopher J, Seeley John R, Tyler Milagra S, Ross Jessica, Ericksen Jennifer
Parent-Infant Research Institute, Melbourne, Australia.
J Med Internet Res. 2016 Mar 7;18(3):e54. doi: 10.2196/jmir.4993.
There are few published controlled trials examining the efficacy of Internet-based treatment for postnatal depression (PND) and none that assess diagnostic status (clinical remission) as the primary outcome. This is despite the need to improve treatment uptake and accessibility because fewer than 50% of postnatally depressed women seek help, even when identified as depressed.
In a randomized controlled trial (RCT), we aimed to test the efficacy of a 6-session Internet intervention (the MumMoodBooster program, previously evaluated in a feasibility trial) in a sample of postnatal women with a clinical diagnosis of depression. The MumMoodBooster program is a cognitive behavioral therapy (CBT) intervention, is highly interactive, includes a partner website, and was supported by low-intensity telephone coaching.
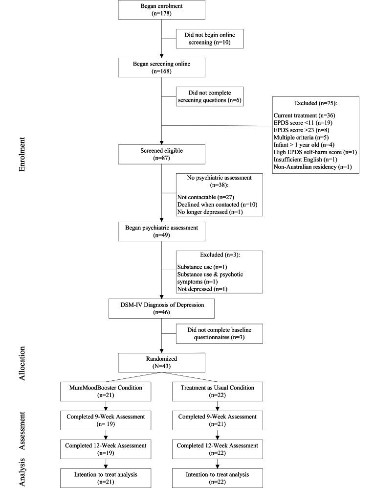
This was a parallel 2-group RCT (N=43) comparing the Internet CBT treatment (n=21) to treatment as usual (n=22). At baseline and at 12 weeks after enrollment, women's diagnostic status was assessed by telephone with the Standardized Clinical Interview for DSM-IV (SCID-IV) and symptom severity with the Beck Depression Inventory (BDI-II). Depression symptoms were measured repeatedly throughout the study period with the Patient Health Questionnaire (PHQ-9).
At the end of the study, 79% (15/19) of women who received the Internet CBT treatment no longer met diagnostic criteria for depression on the SCID-IV (these outcome data were missing for 2 intervention participants). This contrasted with only 18% (4/22) remission in the treatment as usual condition. Depression scores on the BDI-II showed a large effect favoring the intervention group (d=.83, 95% CI 0.20-1.45). Small to medium effects were found on the PHQ-9 and on measures of anxiety and stress. Adherence to the program was very good with 86% (18/21) of users completing all sessions; satisfaction with the program was rated 3.1 out of 4 on average.
Our results suggest that our Internet CBT program, MumMoodBooster, is an effective treatment option for women clinically diagnosed with PND. This is one of only two controlled evaluations of specialized online psychological treatment among women clinically diagnosed with PND. MumMoodBooster appears to be a feasible, effective treatment option, which is potentially accessible to large numbers of women in metropolitan, rural, and remote areas. Future work might be focused profitably on establishing comparability with face-to-face treatments and purely self-guided delivery. We have commenced a larger RCT comparing MumMoodBooster with face-to-face CBT.
Australian and New Zealand Clinical Trials Registry (ANZCTR): ACTRN12613000113752; https://www.anzctr.org.au/Trial/Registration/TrialReview.aspx?id=363561 (Archived by WebCite® at http://www.webcitation.org/6f64kuyLf).
关于基于互联网的产后抑郁症(PND)治疗效果的已发表对照试验较少,且没有一项将诊断状态(临床缓解)作为主要结局进行评估。尽管需要提高治疗的接受度和可及性,但即使被诊断为产后抑郁,寻求帮助的产后抑郁女性仍不到50%。
在一项随机对照试验(RCT)中,我们旨在测试一个为期6节的互联网干预方案(MumMoodBooster项目,此前已在一项可行性试验中进行评估)对临床诊断为抑郁症的产后女性样本的疗效。MumMoodBooster项目是一种认知行为疗法(CBT)干预措施,具有高度互动性,包括一个配套网站,并得到低强度电话辅导的支持。
这是一项平行两组RCT(N = 43),将互联网CBT治疗组(n = 21)与常规治疗组(n = 22)进行比较。在基线和入组后12周,通过电话使用《精神疾病诊断与统计手册》第四版标准化临床访谈(SCID-IV)评估女性的诊断状态,并使用贝克抑郁量表(BDI-II)评估症状严重程度。在整个研究期间,使用患者健康问卷(PHQ-9)反复测量抑郁症状。
在研究结束时,接受互联网CBT治疗的女性中有79%(15/19)不再符合SCID-IV的抑郁症诊断标准(2名干预参与者的这些结局数据缺失)。相比之下,常规治疗组的缓解率仅为18%(4/22)。BDI-II上的抑郁评分显示出对干预组有较大影响(d = 0.83,95%CI 0.20 - 1.45)。在PHQ-9以及焦虑和压力测量方面发现了小到中等程度的影响。该方案的依从性非常好,86%(18/21)的用户完成了所有课程;对该方案的满意度平均评分为3.1(满分4分)。
我们的结果表明,我们的互联网CBT方案MumMoodBooster是临床诊断为PND的女性的一种有效治疗选择。这是对临床诊断为PND的女性进行的仅有的两项专门在线心理治疗对照评估之一。MumMoodBooster似乎是一种可行、有效的治疗选择,对于大都市、农村和偏远地区的大量女性来说可能是可及的。未来的工作可能有益地集中在与面对面治疗以及纯粹的自我指导治疗建立可比性上。我们已经开始了一项更大的RCT,将MumMoodBooster与面对面CBT进行比较。
澳大利亚和新西兰临床试验注册中心(ANZCTR):ACTRN12613000113752;https://www.anzctr.org.au/Trial/Registration/TrialReview.aspx?id=363561(由WebCite®存档于http://www.webcitation.org/6f64kuyLf)