Suppr超能文献

农业系统背景决定了半干旱环境中冬小麦深根系的价值。

Farming system context drives the value of deep wheat roots in semi-arid environments.

作者信息

Lilley Julianne M, Kirkegaard John A

机构信息

CSIRO Agriculture, GPO Box 1600, Canberra ACT 2601, Australia

CSIRO Agriculture, GPO Box 1600, Canberra ACT 2601, Australia.

出版信息

J Exp Bot. 2016 Jun;67(12):3665-81. doi: 10.1093/jxb/erw093. Epub 2016 Mar 14.

Abstract

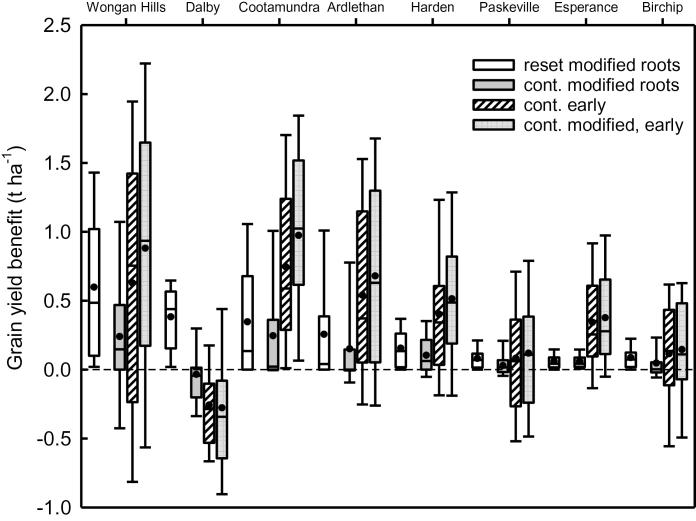
The capture of subsoil water by wheat roots can make a valuable contribution to grain yield on deep soils. More extensive root systems can capture more water, but leave the soil in a drier state, potentially limiting water availability to subsequent crops. To evaluate the importance of these legacy effects, a long-term simulation analysis at eight sites in the semi-arid environment of Australia compared the yield of standard wheat cultivars with cultivars that were (i) modified to have root systems which extract more water at depth and/or (ii) sown earlier to increase the duration of the vegetative period and hence rooting depth. We compared simulations with and without annual resetting of soil water to investigate the legacy effects of drier subsoils related to modified root systems. Simulated mean yield benefits from modified root systems declined from 0.1-0.6 t ha(-1) when annually reset, to 0-0.2 t ha(-1) in the continuous simulation due to a legacy of drier soils (mean 0-32mm) at subsequent crop sowing. For continuous simulations, predicted yield benefits of >0.2 t ha(-1) from more extensive root systems were rare (3-10% of years) at sites with shallow soils (<1.0 m), but occurred in 14-44% of years at sites with deeper soils (1.6-2.5 m). Earlier sowing had a larger impact than modified root systems on water uptake (14-31 vs 2-17mm) and mean yield increase (up to 0.7 vs 0-0.2 t ha(-1)) and the benefits occurred on deep and shallow soils and in more years (9-79 vs 3-44%). Increasing the proportion of crops in the sequence which dry the subsoil extensively has implications for the farming system productivity, and the crop sequence must be managed tactically to optimize overall system benefits.

摘要

小麦根系对深层土壤中下层土壤水分的吸收可为谷物产量做出重要贡献。更广泛的根系可以吸收更多水分,但会使土壤处于更干燥的状态,这可能会限制后续作物获得的水分。为了评估这些遗留效应的重要性,在澳大利亚半干旱环境的八个地点进行了一项长期模拟分析,比较了标准小麦品种与以下品种的产量:(i)经过改良以具有能在深层吸收更多水分的根系的品种,和/或(ii)更早播种以延长营养期从而增加生根深度的品种。我们比较了土壤水分每年重置和不重置的模拟情况,以研究与改良根系相关的较干燥下层土壤的遗留效应。由于后续作物播种时土壤较干燥(平均0 - 32毫米)的遗留影响,模拟得出改良根系带来的平均产量增益从每年重置时的0.1 - 0.6吨/公顷降至连续模拟中的0 - 0.2吨/公顷。对于连续模拟,在浅层土壤(<1.0米)的地点,根系更广泛带来的预测产量增益>0.2吨/公顷的情况很少见(占年份的3 - 10%),但在深层土壤(1.6 - 2.5米)的地点,这种情况在14 - 44%的年份出现。更早播种对水分吸收(14 - 31毫米对2 - 17毫米)和平均产量增加(高达0.7吨/公顷对0 - 0.2吨/公顷)的影响比改良根系更大,而且这些益处出现在深层和浅层土壤中,且出现的年份更多(9 - 79%对3 - 44%)。增加序列中能大量干燥下层土壤的作物比例对耕作系统生产力有影响,必须从策略上管理作物序列以优化整个系统的效益。

https://cdn.ncbi.nlm.nih.gov/pmc/blobs/8cef/4896360/de08af349dec/exbotj_erw093_f0001.jpg

文献AI研究员

20分钟写一篇综述,助力文献阅读效率提升50倍。

立即体验

用中文搜PubMed

大模型驱动的PubMed中文搜索引擎

马上搜索

文档翻译

学术文献翻译模型,支持多种主流文档格式。

立即体验