Suppr超能文献

葡萄基因组中基于CRISPR/Cas9的基因组编辑的基因组位点鉴定

Identification of genomic sites for CRISPR/Cas9-based genome editing in the Vitis vinifera genome.

作者信息

Wang Yi, Liu Xianju, Ren Chong, Zhong Gan-Yuan, Yang Long, Li Shaohua, Liang Zhenchang

机构信息

Beijing Key Laboratory of Grape Science and Enology and Key Laboratory of Plant Resource, Institute of Botany, Chinese Academy of Sciences, Beijing, 100093, P.R. China.

University of Chinese Academy of Sciences, Beijing, 100049, P.R. China.

出版信息

BMC Plant Biol. 2016 Apr 21;16:96. doi: 10.1186/s12870-016-0787-3.

Abstract

BACKGROUND

CRISPR/Cas9 has been recently demonstrated as an effective and popular genome editing tool for modifying genomes of humans, animals, microorganisms, and plants. Success of such genome editing is highly dependent on the availability of suitable target sites in the genomes to be edited. Many specific target sites for CRISPR/Cas9 have been computationally identified for several annual model and crop species, but such sites have not been reported for perennial, woody fruit species. In this study, we identified and characterized five types of CRISPR/Cas9 target sites in the widely cultivated grape species Vitis vinifera and developed a user-friendly database for editing grape genomes in the future.

RESULTS

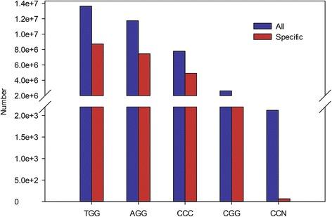
A total of 35,767,960 potential CRISPR/Cas9 target sites were identified from grape genomes in this study. Among them, 22,597,817 target sites were mapped to specific genomic locations and 7,269,788 were found to be highly specific. Protospacers and PAMs were found to distribute uniformly and abundantly in the grape genomes. They were present in all the structural elements of genes with the coding region having the highest abundance. Five PAM types, TGG, AGG, GGG, CGG and NGG, were observed. With the exception of the NGG type, they were abundantly present in the grape genomes. Synteny analysis of similar genes revealed that the synteny of protospacers matched the synteny of homologous genes. A user-friendly database containing protospacers and detailed information of the sites was developed and is available for public use at the Grape-CRISPR website ( http://biodb.sdau.edu.cn/gc/index.html ).

CONCLUSION

Grape genomes harbour millions of potential CRISPR/Cas9 target sites. These sites are widely distributed among and within chromosomes with predominant abundance in the coding regions of genes. We developed a publicly-accessible Grape-CRISPR database for facilitating the use of the CRISPR/Cas9 system as a genome editing tool for functional studies and molecular breeding of grapes. Among other functions, the database allows users to identify and select multi-protospacers for editing similar sequences in grape genomes simultaneously.

摘要

背景

CRISPR/Cas9最近已被证明是一种有效且流行的基因组编辑工具,可用于编辑人类、动物、微生物和植物的基因组。这种基因组编辑的成功高度依赖于待编辑基因组中合适靶位点的可用性。已通过计算确定了几种一年生模式植物和作物物种的许多CRISPR/Cas9特异性靶位点,但多年生木本水果物种尚未有此类位点的报道。在本研究中,我们在广泛种植的葡萄品种欧亚葡萄中鉴定并表征了五种类型的CRISPR/Cas9靶位点,并开发了一个用户友好的数据库,以便未来用于编辑葡萄基因组。

结果

本研究从葡萄基因组中总共鉴定出35,767,960个潜在的CRISPR/Cas9靶位点。其中,22,597,817个靶位点被定位到特定的基因组位置,7,269,788个被发现具有高度特异性。原间隔序列和前间隔序列相邻基序在葡萄基因组中分布均匀且丰富。它们存在于基因的所有结构元件中,编码区的丰度最高。观察到五种前间隔序列相邻基序类型,即TGG、AGG、GGG、CGG和NGG。除了NGG类型外,它们在葡萄基因组中大量存在。相似基因的共线性分析表明,原间隔序列的共线性与同源基因的共线性相匹配。开发了一个包含原间隔序列和位点详细信息的用户友好数据库,可在葡萄CRISPR网站(http://biodb.sdau.edu.cn/gc/index.html)上供公众使用。

结论

葡萄基因组含有数百万个潜在的CRISPR/Cas9靶位点。这些位点广泛分布于染色体之间和染色体内,在基因编码区中占主导地位。我们开发了一个可公开访问的葡萄CRISPR数据库,以促进将CRISPR/Cas9系统用作葡萄功能研究和分子育种的基因组编辑工具。除其他功能外,该数据库允许用户识别和选择多个原间隔序列,以便同时编辑葡萄基因组中的相似序列。

https://cdn.ncbi.nlm.nih.gov/pmc/blobs/637b/4839089/41f95fd42b83/12870_2016_787_Fig1_HTML.jpg

文献AI研究员

20分钟写一篇综述,助力文献阅读效率提升50倍。

立即体验

用中文搜PubMed

大模型驱动的PubMed中文搜索引擎

马上搜索

文档翻译

学术文献翻译模型,支持多种主流文档格式。

立即体验