Suppr超能文献

与基于研究的活动记录仪和多导睡眠图相比,四种个人健康监测设备的睡眠测量可靠性。

Reliability of Sleep Measures from Four Personal Health Monitoring Devices Compared to Research-Based Actigraphy and Polysomnography.

作者信息

Mantua Janna, Gravel Nickolas, Spencer Rebecca M C

机构信息

Neuroscience & Behavior Program, University of Massachusetts, Amherst, 135 Hicks Way, Amherst, MA 01003, USA.

Department of Psychological & Brain Sciences, University of Massachusetts, Amherst, 135 Hicks Way, Amherst, MA 01003, USA.

出版信息

Sensors (Basel). 2016 May 5;16(5):646. doi: 10.3390/s16050646.

Abstract

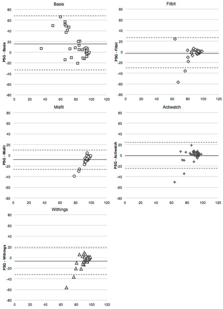
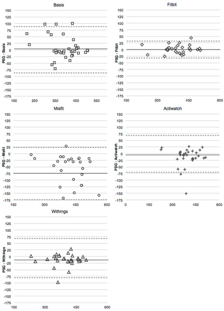
Polysomnography (PSG) is the "gold standard" for monitoring sleep. Alternatives to PSG are of interest for clinical, research, and personal use. Wrist-worn actigraph devices have been utilized in research settings for measures of sleep for over two decades. Whether sleep measures from commercially available devices are similarly valid is unknown. We sought to determine the validity of five wearable devices: Basis Health Tracker, Misfit Shine, Fitbit Flex, Withings Pulse O2, and a research-based actigraph, Actiwatch Spectrum. We used Wilcoxon Signed Rank tests to assess differences between devices relative to PSG and correlational analysis to assess the strength of the relationship. Data loss was greatest for Fitbit and Misfit. For all devices, we found no difference and strong correlation of total sleep time with PSG. Sleep efficiency differed from PSG for Withings, Misfit, Fitbit, and Basis, while Actiwatch mean values did not differ from that of PSG. Only mean values of sleep efficiency (time asleep/time in bed) from Actiwatch correlated with PSG, yet this correlation was weak. Light sleep time differed from PSG (nREM1 + nREM2) for all devices. Measures of Deep sleep time did not differ from PSG (SWS + REM) for Basis. These results reveal the current strengths and limitations in sleep estimates produced by personal health monitoring devices and point to a need for future development.

摘要

多导睡眠图(PSG)是监测睡眠的“金标准”。PSG的替代方法在临床、研究和个人使用方面都备受关注。腕部佩戴的活动记录仪设备已在研究环境中用于睡眠测量超过二十年。市售设备的睡眠测量结果是否同样有效尚不清楚。我们试图确定五种可穿戴设备的有效性:基础健康追踪器、Misfit Shine、Fitbit Flex、Withings Pulse O2以及一种基于研究的活动记录仪Actiwatch Spectrum。我们使用Wilcoxon符号秩检验来评估各设备相对于PSG的差异,并使用相关分析来评估关系的强度。Fitbit和Misfit的数据丢失最为严重。对于所有设备,我们发现总睡眠时间与PSG之间无差异且相关性很强。Withings、Misfit、Fitbit和基础健康追踪器的睡眠效率与PSG不同,而Actiwatch的平均值与PSG无差异。只有Actiwatch的睡眠效率(睡眠时间/卧床时间)平均值与PSG相关,但这种相关性较弱。所有设备的浅睡眠时间与PSG(非快速眼动睡眠1期 + 非快速眼动睡眠2期)不同。基础健康追踪器的深睡眠时间测量值与PSG(慢波睡眠 + 快速眼动睡眠)无差异。这些结果揭示了个人健康监测设备在睡眠估计方面目前的优势和局限性,并指出了未来发展的必要性。

https://cdn.ncbi.nlm.nih.gov/pmc/blobs/8121/4883337/585ac5fff774/sensors-16-00646-g001.jpg

文献AI研究员

20分钟写一篇综述,助力文献阅读效率提升50倍。

立即体验

用中文搜PubMed

大模型驱动的PubMed中文搜索引擎

马上搜索

文档翻译

学术文献翻译模型,支持多种主流文档格式。

立即体验