Suppr超能文献

使用聚乙二醇及其油胺共轭物增强金纳米颗粒的体内透皮递送

Enhancing the in vivo transdermal delivery of gold nanoparticles using poly(ethylene glycol) and its oleylamine conjugate.

作者信息

Hsiao Pa Fan, Peng Sydney, Tang Ting-Cheng, Lin Shuian-Yin, Tsai Hsieh-Chih

机构信息

Department of Dermatology, Mackay Memorial Hospital, New Taipei City, Taipei, Taiwan; Mackay Medicine, Nursing and Management College, New Taipei City, Taipei, Taiwan; Mackay Medical College, New Taipei City, Taipei, Taiwan.

Graduate Institute of Applied Science and Technology, National Taiwan University of Science and Technology, Taipei, Taiwan.

出版信息

Int J Nanomedicine. 2016 May 2;11:1867-78. doi: 10.2147/IJN.S102599. eCollection 2016.

Abstract

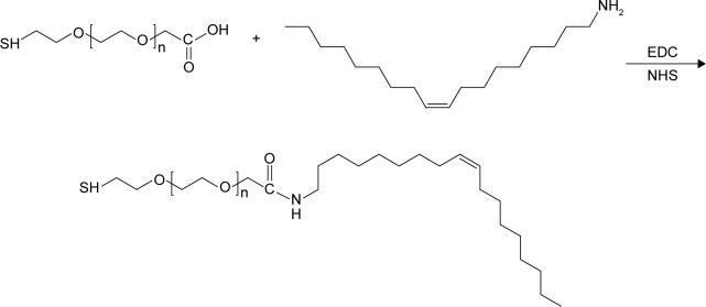
In this study, we investigated the effect of (ethylene glycol) (PEG) and PEG-oleylamine (OAm) functionalization on the skin permeation property of gold nanoparticles (GNS) in vivo. Chemisorption of polymers onto GNS was verified by a red shift in the ultraviolet-visible spectrum as well as by a change in the nanoparticle surface charge. The physicochemical properties of pristine and functionalized nanoparticles were analyzed by ultraviolet-visible spectroscopy, zeta potential analyzer, and transmission electron microscopy. Transmission electron microscopy revealed that the interparticle distance between nanoparticles increased after GNS functionalization. Comparing the skin permeation profile of pristine and functionalized GNS, the follicular deposition of GNS increased twofold after PEG-OAm functionalization. Moreover, PEG- and PEG-OAm-functionalized nanoparticles were able to overcome the skin barrier and deposit in the deeper subcutaneous adipose tissue. These findings demonstrate the potential of PEG- and PEG-OAm-functionalized GNS in serving a multitude of applications in transdermal pharmaceuticals.

摘要

在本研究中,我们调查了(乙二醇)(PEG)和聚乙二醇 - 油胺(OAm)功能化对金纳米颗粒(GNS)体内皮肤渗透特性的影响。聚合物在GNS上的化学吸附通过紫外 - 可见光谱中的红移以及纳米颗粒表面电荷的变化得到证实。通过紫外 - 可见光谱、zeta电位分析仪和透射电子显微镜对原始和功能化纳米颗粒的物理化学性质进行了分析。透射电子显微镜显示,GNS功能化后纳米颗粒之间的粒子间距离增加。比较原始和功能化GNS的皮肤渗透情况,PEG - OAm功能化后GNS的毛囊沉积增加了两倍。此外,PEG和PEG - OAm功能化的纳米颗粒能够克服皮肤屏障并沉积在更深层的皮下脂肪组织中。这些发现证明了PEG和PEG - OAm功能化GNS在透皮药物众多应用中的潜力。

https://cdn.ncbi.nlm.nih.gov/pmc/blobs/49f7/4859419/12559c32eee3/ijn-11-1867Fig1.jpg

文献AI研究员

20分钟写一篇综述,助力文献阅读效率提升50倍。

立即体验

用中文搜PubMed

大模型驱动的PubMed中文搜索引擎

马上搜索

文档翻译

学术文献翻译模型,支持多种主流文档格式。

立即体验