Batistel Fernanda, Osorio Johan S, Ferrari Annarita, Trevisi Erminio, Socha Michael T, Loor Juan J
Department of Animal Sciences and Division of Nutritional Sciences, University of Illinois, 1207 West Gregory Drive, 61801, Urbana, IL, United States of America.
Istituto di Zootecnica Facoltà di Scienze Agrarie, Alimentari e Ambientali, Università Cattolica del Sacro Cuore, 29122, Piacenza, Italy.
PLoS One. 2016 May 31;11(5):e0155804. doi: 10.1371/journal.pone.0155804. eCollection 2016.
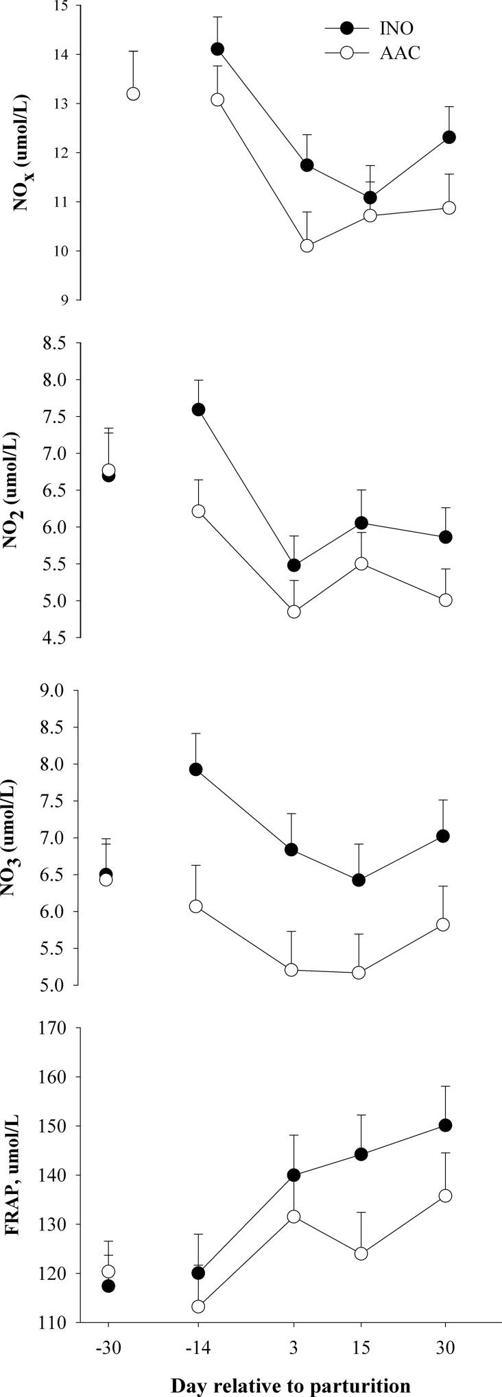
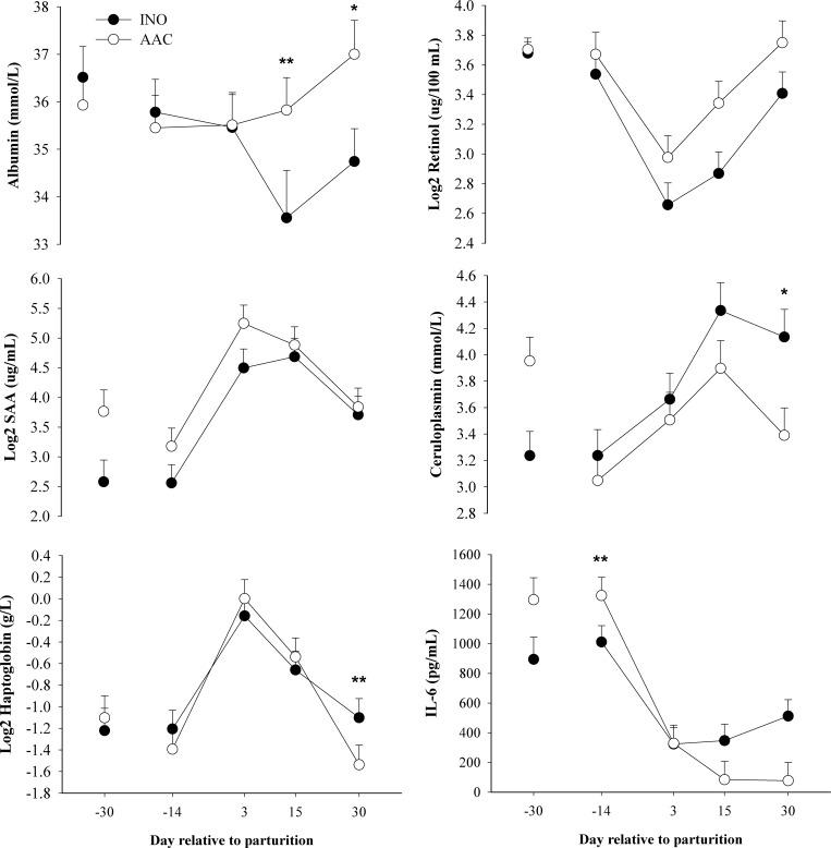
The peripartum (or transition) period is the most-critical phase in the productive life of lactating dairy cows and optimal supply of trace minerals through more bioavailable forms could minimize the negative effects associated with this phase. Twenty Holstein cows received a common prepartal diet and postpartal diet. Both diets were partially supplemented with an inorganic (INO) mix of Zn, Mn, and Cu to supply 35, 45, and 6 ppm, respectively, of the diet dry matter (DM). Cows were assigned to treatments in a randomized completed block design, receiving an daily oral bolus with INO or organic trace minerals (AAC) Zn, Mn, Cu, and Co to achieve 75, 65, 11, and 1 ppm supplemental, respectively, in the diet DM. Liver tissue and blood samples were collected throughout the experiment. The lower glutamic-oxaloacetic transaminase concentration after 15 days in milk in AAC cows indicate lower hepatic cell damage. The concentration of cholesterol and albumin increased, while IL-6 decreased over time in AAC cows compared with INO indicating a lower degree of inflammation and better liver function. Although the acute-phase protein ceruloplasmin tended to be lower in AAC cows and corresponded with the reduction in the inflammatory status, the tendency for greater serum amyloid A concentration in AAC indicated an inconsistent response on acute-phase proteins. Oxygen radical absorbance capacity increased over time in AAC cows. Furthermore, the concentrations of nitric oxide, nitrite, nitrate, and the ferric reducing ability of plasma decreased with AAC indicating a lower oxidative stress status. The expression of IL10 and ALB in liver tissue was greater overall in AAC cows reinforcing the anti-inflammatory response detected in plasma. The greater overall expression of PCK1 in AAC cows indicated a greater gluconeogenic capacity, and partly explained the greater milk production response over time. Overall, feeding organic trace minerals as complexed with amino acids during the transition period improved liver function and decreased inflammation and oxidative stress.
围产期(或过渡期)是泌乳奶牛生产周期中最关键的阶段,通过生物利用率更高的形式优化微量矿物质供应可将与该阶段相关的负面影响降至最低。20头荷斯坦奶牛接受相同的产前和产后日粮。两种日粮均部分补充了锌、锰和铜的无机(INO)混合物,分别提供占日粮干物质(DM)35、45和6 ppm的量。奶牛被随机分配到各处理组,接受每日口服大剂量的INO或有机微量矿物质(AAC)锌、锰、铜和钴,以分别在日粮DM中实现75、65、11和1 ppm的补充量。在整个实验过程中采集肝脏组织和血液样本。AAC组奶牛产奶15天后谷氨酸草酰乙酸转氨酶浓度较低,表明肝细胞损伤较小。与INO组相比,AAC组奶牛的胆固醇和白蛋白浓度随时间增加,而白细胞介素-6减少,表明炎症程度较低且肝功能较好。尽管AAC组奶牛急性期蛋白铜蓝蛋白往往较低,且与炎症状态的降低相对应,但AAC组血清淀粉样蛋白A浓度较高的趋势表明急性期蛋白的反应不一致。AAC组奶牛的氧自由基吸收能力随时间增加。此外,AAC组奶牛的一氧化氮、亚硝酸盐、硝酸盐浓度以及血浆铁还原能力降低,表明氧化应激状态较低。AAC组奶牛肝脏组织中白细胞介素1β和白蛋白的总体表达更高,这加强了在血浆中检测到的抗炎反应。AAC组奶牛磷酸烯醇式丙酮酸羧激酶1的总体表达更高,表明糖异生能力更强,部分解释了随着时间推移产奶量反应更大的原因。总体而言,在过渡期饲喂与氨基酸络合的有机微量矿物质可改善肝功能,减少炎症和氧化应激。