• 文献检索
  • 文档翻译
  • 深度研究
  • 学术资讯
  • Suppr Zotero 插件Zotero 插件
  • 邀请有礼
  • 套餐&价格
  • 历史记录
应用&插件
Suppr Zotero 插件Zotero 插件浏览器插件Mac 客户端Windows 客户端微信小程序
定价
高级版会员购买积分包购买API积分包
服务
文献检索文档翻译深度研究API 文档MCP 服务
关于我们
关于 Suppr公司介绍联系我们用户协议隐私条款
关注我们

Suppr 超能文献

核心技术专利:CN118964589B侵权必究
粤ICP备2023148730 号-1Suppr @ 2026

文献检索

告别复杂PubMed语法,用中文像聊天一样搜索,搜遍4000万医学文献。AI智能推荐,让科研检索更轻松。

立即免费搜索

文件翻译

保留排版,准确专业,支持PDF/Word/PPT等文件格式,支持 12+语言互译。

免费翻译文档

深度研究

AI帮你快速写综述,25分钟生成高质量综述,智能提取关键信息,辅助科研写作。

立即免费体验

为了更好地理解采后劣变:贮藏木薯(Manihot esculenta Crantz)根的生化变化。

Toward better understanding of postharvest deterioration: biochemical changes in stored cassava (Manihot esculenta Crantz) roots.

机构信息

Plant Science Center Plant Morphogenesis and Biochemistry Laboratory Postgraduate Program in Plant Genetic Resources Federal University of Santa Catarina Rodovia Admar Gonzaga 1346 CEP 88.034-001 Florianópolis SC Brazil.

Santa Catarina State Agricultural Research and Rural Extension Agency (EPAGRI) Experimental Station of Urussanga (EEUR) Rd. SC 446 Km 19 S/N Urussanga Florianópolis SC CEP 88840-000 Brazil.

出版信息

Food Sci Nutr. 2015 Oct 26;4(3):409-22. doi: 10.1002/fsn3.303. eCollection 2016 May.

DOI:10.1002/fsn3.303
PMID:27247771
原文链接:https://pmc.ncbi.nlm.nih.gov/articles/PMC4867761/
Abstract

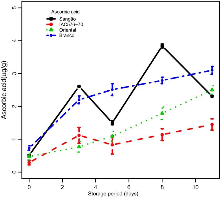
Food losses can occur during production, postharvest, and processing stages in the supply chain. With the onset of worldwide food shortages, interest in reducing postharvest losses in cassava has been increasing. In this research, the main goal was to evaluate biochemical changes and identify the metabolites involved in the deterioration of cassava roots. We found that high levels of ascorbic acid (AsA), polyphenol oxidase (PPO), dry matter, and proteins are correlated with overall lower rates of deterioration. On the other hand, soluble sugars such as glucose and fructose, as well as organic acids, mainly, succinic acid, seem to be upregulated during storage and may play a role in the deterioration of cassava roots. Cultivar Branco (BRA) was most resilient to postharvest physiological deterioration (PPD), while Oriental (ORI) was the most susceptible. Our findings suggest that PPO, AsA, and proteins may play a distinct role in PPD delay.

摘要

在供应链的生产、收获后和加工阶段都可能发生食物损失。随着全球粮食短缺的出现,人们对减少木薯收获后损失的兴趣日益增加。在这项研究中,主要目标是评估生化变化并确定与木薯根恶化相关的代谢物。我们发现,较高水平的抗坏血酸(AsA)、多酚氧化酶(PPO)、干物质和蛋白质与整体较低的恶化率相关。另一方面,葡萄糖和果糖等可溶性糖以及主要是琥珀酸等有机酸似乎在储存过程中上调,可能在木薯根的恶化中起作用。品种 Branco(BRA)对收获后生理恶化(PPD)的抵抗力最强,而 Oriental(ORI)则最敏感。我们的研究结果表明,PPO、AsA 和蛋白质可能在 PPD 延迟中发挥独特作用。

https://cdn.ncbi.nlm.nih.gov/pmc/blobs/6e2f/4867761/8dbdf8b5bb46/FSN3-4-409-g007.jpg
https://cdn.ncbi.nlm.nih.gov/pmc/blobs/6e2f/4867761/f2b306c2808b/FSN3-4-409-g001.jpg
https://cdn.ncbi.nlm.nih.gov/pmc/blobs/6e2f/4867761/5f98672b4059/FSN3-4-409-g002.jpg
https://cdn.ncbi.nlm.nih.gov/pmc/blobs/6e2f/4867761/45b658dd1f94/FSN3-4-409-g003.jpg
https://cdn.ncbi.nlm.nih.gov/pmc/blobs/6e2f/4867761/f7638233dca5/FSN3-4-409-g004.jpg
https://cdn.ncbi.nlm.nih.gov/pmc/blobs/6e2f/4867761/f4ff6247a320/FSN3-4-409-g005.jpg
https://cdn.ncbi.nlm.nih.gov/pmc/blobs/6e2f/4867761/7af78dc79615/FSN3-4-409-g006.jpg
https://cdn.ncbi.nlm.nih.gov/pmc/blobs/6e2f/4867761/8dbdf8b5bb46/FSN3-4-409-g007.jpg
https://cdn.ncbi.nlm.nih.gov/pmc/blobs/6e2f/4867761/f2b306c2808b/FSN3-4-409-g001.jpg
https://cdn.ncbi.nlm.nih.gov/pmc/blobs/6e2f/4867761/5f98672b4059/FSN3-4-409-g002.jpg
https://cdn.ncbi.nlm.nih.gov/pmc/blobs/6e2f/4867761/45b658dd1f94/FSN3-4-409-g003.jpg
https://cdn.ncbi.nlm.nih.gov/pmc/blobs/6e2f/4867761/f7638233dca5/FSN3-4-409-g004.jpg
https://cdn.ncbi.nlm.nih.gov/pmc/blobs/6e2f/4867761/f4ff6247a320/FSN3-4-409-g005.jpg
https://cdn.ncbi.nlm.nih.gov/pmc/blobs/6e2f/4867761/7af78dc79615/FSN3-4-409-g006.jpg
https://cdn.ncbi.nlm.nih.gov/pmc/blobs/6e2f/4867761/8dbdf8b5bb46/FSN3-4-409-g007.jpg

相似文献

1
Toward better understanding of postharvest deterioration: biochemical changes in stored cassava (Manihot esculenta Crantz) roots.为了更好地理解采后劣变:贮藏木薯(Manihot esculenta Crantz)根的生化变化。
Food Sci Nutr. 2015 Oct 26;4(3):409-22. doi: 10.1002/fsn3.303. eCollection 2016 May.
2
Lysozyme inhibits postharvest physiological deterioration of cassava.溶菌酶抑制木薯采后生理劣变。
J Integr Plant Biol. 2022 Mar;64(3):621-624. doi: 10.1111/jipb.13219. Epub 2022 Feb 23.
3
The role of ascorbate peroxidase, guaiacol peroxidase, and polysaccharides in cassava (Manihot esculenta Crantz) roots under postharvest physiological deterioration.抗坏血酸过氧化物酶、愈创木酚过氧化物酶和多糖在采后生理劣变条件下木薯(Manihot esculenta Crantz)根中的作用
Food Chem. 2016 Apr 15;197(Pt A):737-46. doi: 10.1016/j.foodchem.2015.11.025. Epub 2015 Nov 6.
4
RNAi inhibition of feruloyl CoA 6'-hydroxylase reduces scopoletin biosynthesis and post-harvest physiological deterioration in cassava (Manihot esculenta Crantz) storage roots.RNA干扰抑制阿魏酰辅酶A 6'-羟化酶可降低木薯(Manihot esculenta Crantz)贮藏根中莨菪亭的生物合成及采后生理劣变。
Plant Mol Biol. 2017 May;94(1-2):185-195. doi: 10.1007/s11103-017-0602-z. Epub 2017 Mar 18.
5
Proteomic analysis of injured storage roots in cassava (Manihot esculenta Crantz) under postharvest physiological deterioration.木薯(Manihot esculenta Crantz)采后生理劣变下受伤贮藏根的蛋白质组学分析
PLoS One. 2017 Mar 24;12(3):e0174238. doi: 10.1371/journal.pone.0174238. eCollection 2017.
6
Hydrogen peroxide and flavan-3-ols in storage roots of cassava (Manihot esculenta crantz) during postharvest deterioration.木薯(Manihot esculenta crantz)采后劣变期间贮藏根中的过氧化氢和黄烷-3-醇
J Agric Food Chem. 2000 Nov;48(11):5522-9. doi: 10.1021/jf000513p.
7
Proline inhibits postharvest physiological deterioration of cassava by improving antioxidant capacity.脯氨酸通过提高抗氧化能力抑制木薯采后生理劣变。
Phytochemistry. 2024 Aug;224:114143. doi: 10.1016/j.phytochem.2024.114143. Epub 2024 May 17.
8
Cassava shrunken-2 homolog MeAPL3 determines storage root starch and dry matter content and modulates storage root postharvest physiological deterioration.木薯缩节 2 同源物 MeAPL3 决定块根淀粉和干物质含量,并调节块根采后生理劣变。
Plant Mol Biol. 2022 Jun;109(3):283-299. doi: 10.1007/s11103-020-00995-z. Epub 2020 Oct 6.
9
Metabolite fingerprinting of cassava (Manihot esculenta Crantz) landraces assessed for post-harvest physiological deterioration (PPD).木薯(Manihot esculenta Crantz)地方品种采后生理劣变(PPD)评估的代谢指纹图谱。
Food Chem. 2023 Sep 30;421:136217. doi: 10.1016/j.foodchem.2023.136217. Epub 2023 Apr 18.
10
Metabolomics combined with chemometric tools (PCA, HCA, PLS-DA and SVM) for screening cassava (Manihot esculenta Crantz) roots during postharvest physiological deterioration.代谢组学结合化学计量学工具(PCA、HCA、PLS-DA 和 SVM)筛选采后生理劣变过程中的木薯(Manihot esculenta Crantz)根。
Food Chem. 2014 Oct 15;161:67-78. doi: 10.1016/j.foodchem.2014.03.110. Epub 2014 Apr 1.

引用本文的文献

1
Comparative Transcriptome Profiling of Cassava Tuberous Roots in Response to Postharvest Physiological Deterioration.比较木薯块根采后生理劣变响应的转录组谱。
Int J Mol Sci. 2022 Dec 23;24(1):246. doi: 10.3390/ijms24010246.
2
Knockdown of -Coumaroyl Shikimate/Quinate 3'-Hydroxylase Delays the Occurrence of Post-Harvest Physiological Deterioration in Cassava Storage Roots.- 香豆酰基莽草酸/奎宁酸 3'-羟化酶的敲低延迟了木薯贮藏根采后生理恶化的发生。
Int J Mol Sci. 2022 Aug 17;23(16):9231. doi: 10.3390/ijms23169231.
3
Polyphenols from Root, Tubercles and Grains Cropped in Brazil: Chemical and Nutritional Characterization and Their Effects on Human Health and Diseases.

本文引用的文献

1
Nutritional Value of Cassava for Use as a Staple Food and Recent Advances for Improvement.木薯作为主食的营养价值及近期改良进展
Compr Rev Food Sci Food Saf. 2009 Jul;8(3):181-194. doi: 10.1111/j.1541-4337.2009.00077.x.
2
Comparison and chemometric analysis of the phenolic compounds and organic acids composition of chinese wines.中国葡萄酒中酚类化合物与有机酸成分的比较及化学计量分析
J Food Sci. 2015 Jan;80(1):C20-8. doi: 10.1111/1750-3841.12691. Epub 2014 Nov 26.
3
Metabolomics combined with chemometric tools (PCA, HCA, PLS-DA and SVM) for screening cassava (Manihot esculenta Crantz) roots during postharvest physiological deterioration.
巴西根、块茎和谷物中提取的多酚:化学和营养特性及其对人类健康和疾病的影响。
Nutrients. 2017 Sep 20;9(9):1044. doi: 10.3390/nu9091044.
4
Gene expression atlas for the food security crop cassava.粮食安全作物木薯的基因表达图谱。
New Phytol. 2017 Mar;213(4):1632-1641. doi: 10.1111/nph.14443. Epub 2017 Jan 24.
代谢组学结合化学计量学工具(PCA、HCA、PLS-DA 和 SVM)筛选采后生理劣变过程中的木薯(Manihot esculenta Crantz)根。
Food Chem. 2014 Oct 15;161:67-78. doi: 10.1016/j.foodchem.2014.03.110. Epub 2014 Apr 1.
4
Extending cassava root shelf life via reduction of reactive oxygen species production.通过降低活性氧的产生来延长木薯根的货架期。
Plant Physiol. 2012 Aug;159(4):1396-407. doi: 10.1104/pp.112.200345. Epub 2012 Jun 18.
5
Using FTIR to predict saccharification from enzymatic hydrolysis of alkali-pretreated biomasses.利用傅里叶变换红外光谱法预测碱预处理生物质酶水解糖化。
Biotechnol Bioeng. 2012 Feb;109(2):353-62. doi: 10.1002/bit.23314. Epub 2011 Sep 9.
6
Moisture-pressure combination treatments for cyanide reduction in grated cassava.湿热联合处理对木薯丝中氰化物的还原作用。
J Food Sci. 2011 Jan-Feb;76(1):T20-4. doi: 10.1111/j.1750-3841.2010.01942.x. Epub 2011 Jan 6.
7
The BioCassava plus program: biofortification of cassava for sub-Saharan Africa.“生物芭蕉 Plus 项目:为撒哈拉以南非洲地区的芭蕉进行生物强化”。
Annu Rev Plant Biol. 2011;62:251-72. doi: 10.1146/annurev-arplant-042110-103751.
8
iTRAQ-based analysis of changes in the cassava root proteome reveals pathways associated with post-harvest physiological deterioration.基于 iTRAQ 的木薯根蛋白质组变化分析揭示了与采后生理劣变相关的途径。
Plant J. 2011 Jul;67(1):145-56. doi: 10.1111/j.1365-313X.2011.04582.x. Epub 2011 May 9.
9
Constituents and secondary metabolite natural products in fresh and deteriorated cassava roots.鲜木薯根和劣变木薯根中的成分和次生代谢天然产物。
Phytochemistry. 2010 Apr;71(5-6):598-604. doi: 10.1016/j.phytochem.2009.10.012.
10
A study of the antimicrobial activity of selected naturally occurring and synthetic coumarins.某些天然和合成香豆素的抗菌活性研究。
Int J Antimicrob Agents. 2009 May;33(5):421-6. doi: 10.1016/j.ijantimicag.2008.10.022. Epub 2009 Jan 19.