Sasaki Clarence T, Vageli Dimitra P
Department of Surgery, Yale Larynx Laboratory Yale School of Medicine, New Haven, CT, USA.
Department of Surgery, Yale Larynx Laboratory Yale School of Medicine, New Haven, CT, USA.
Neoplasia. 2016 Jun;18(6):329-38. doi: 10.1016/j.neo.2016.04.007. Epub 2016 May 25.
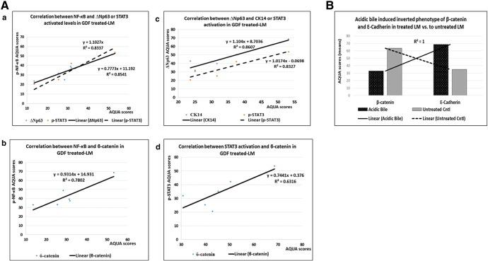
Gastroduodenal refluxate found in the upper aerodigestive tract is not clinically uncommon. We recently demonstrated the neoplastic potential of gastroduodenal fluids (GDF) on hypopharyngeal mucosa, via NF-κB, using in vitro and in vivo models. Here we will explore the in vivo effect of GDF on laryngeal mucosa (LM) to induce early preneoplastic lesions related to NF-κB activation, along with deregulation of specific microRNA (miRNA) markers previously linked to laryngeal cancer. We used histological, immunohistochemical, automated quantitative analysis and quantitative polymerase chain reaction to examine LM from 35 C57Bl/6J mice previously treated with topical GDF against corresponding controls (4 experimental and 3 control groups; 5 mice/group). Our analysis showed that GDF produced early preneoplastic lesions in treated LM related to NF-κB activation. LM treated by acid and bile combination demonstrated significantly higher expression of the analyzed cell proliferation markers (Ki67, CK14, ∆Np63), oncogenic p-STAT3, and changes of cell adhesion molecules (E-cadherin, ϐ-catenin) versus untreated LM or LM exposed to acid alone (P < .0005). Furthermore, acidic bile but not neutral bile appeared to accelerate the expression of "oncomirs" miR-21, miR-155, and miR-192 (acidic bile versus neutral bile, P < .0001), while reducing tumor suppressor miR-375 (acidic bile versus neutral bile, P = .0137), previously linked to NF-κB and laryngeal cancer. Finally, acidic bile induced reduction of miR-34a, miR-375, and miR-451a, exhibiting an inverse correlation with NF-κB activation.
Bile in combination with acid has a selective tumorigenic effect on LM, inducing deregulation of "oncomirs" and tumor suppressor miRNAs, produced by NF-κB activation with molecular and early histopathological alterations linked to neoplastic transformation. Systematic acid suppression may in part convey a protective role.
在上呼吸道消化道中发现胃十二指肠反流物在临床上并不罕见。我们最近通过体外和体内模型,利用核因子κB(NF-κB)证明了胃十二指肠液(GDF)对下咽黏膜具有致癌潜能。在此,我们将探讨GDF对喉黏膜(LM)的体内作用,以诱导与NF-κB激活相关的早期癌前病变,以及先前与喉癌相关的特定微小RNA(miRNA)标志物的失调。我们使用组织学、免疫组织化学、自动定量分析和定量聚合酶链反应,检查了35只先前经局部GDF处理的C57Bl/6J小鼠的LM,并与相应对照组(4个实验组和3个对照组;每组5只小鼠)进行比较。我们的分析表明,GDF在处理后的LM中产生了与NF-κB激活相关的早期癌前病变。与未处理的LM或仅暴露于酸的LM相比,经酸和胆汁联合处理的LM中,所分析的细胞增殖标志物(Ki67、细胞角蛋白14、ΔNp63)、致癌性p-STAT3的表达显著更高,细胞黏附分子(E-钙黏蛋白、β-连环蛋白)也发生了变化(P < 0.0005)。此外,酸性胆汁而非中性胆汁似乎加速了“致癌miRNA”miR-21、miR-155和miR-192的表达(酸性胆汁与中性胆汁相比,P < 0.0001),同时降低了先前与NF-κB和喉癌相关的肿瘤抑制性miR-375(酸性胆汁与中性胆汁相比,P = 0.0137)。最后,酸性胆汁诱导miR-34a、miR-375和miR-451a减少,与NF-κB激活呈负相关。
胆汁与酸联合对LM具有选择性致瘤作用,通过NF-κB激活诱导“致癌miRNA”和肿瘤抑制性miRNA失调,产生与肿瘤转化相关的分子和早期组织病理学改变。系统性抑酸可能在一定程度上起到保护作用。