Suppr超能文献

辣椒素:从植物到抗癌剂

Capsaicin: From Plants to a Cancer-Suppressing Agent.

作者信息

Chapa-Oliver Angela M, Mejía-Teniente Laura

机构信息

Departamento de Nutrición, Universidad de Celaya, Carretera Panamericana km. 269 Col. Rancho Pinto, Celaya 38080, Mexico.

C.A. Biotecnología, Sustentabilidad e Ingeniería, Programa de Ingeniería en Biotecnología, Departamento de Ingeniería Agroindustrial, División de Ciencias de la Salud e Ingenierías, Campus Celaya-Salvatierra, Universidad de Guanajuato, Av. Mutualismo Esq. Prolongación Río Lerma S/N, Celaya, Gto. C.P. 38060, Mexico.

出版信息

Molecules. 2016 Jul 27;21(8):931. doi: 10.3390/molecules21080931.

Abstract

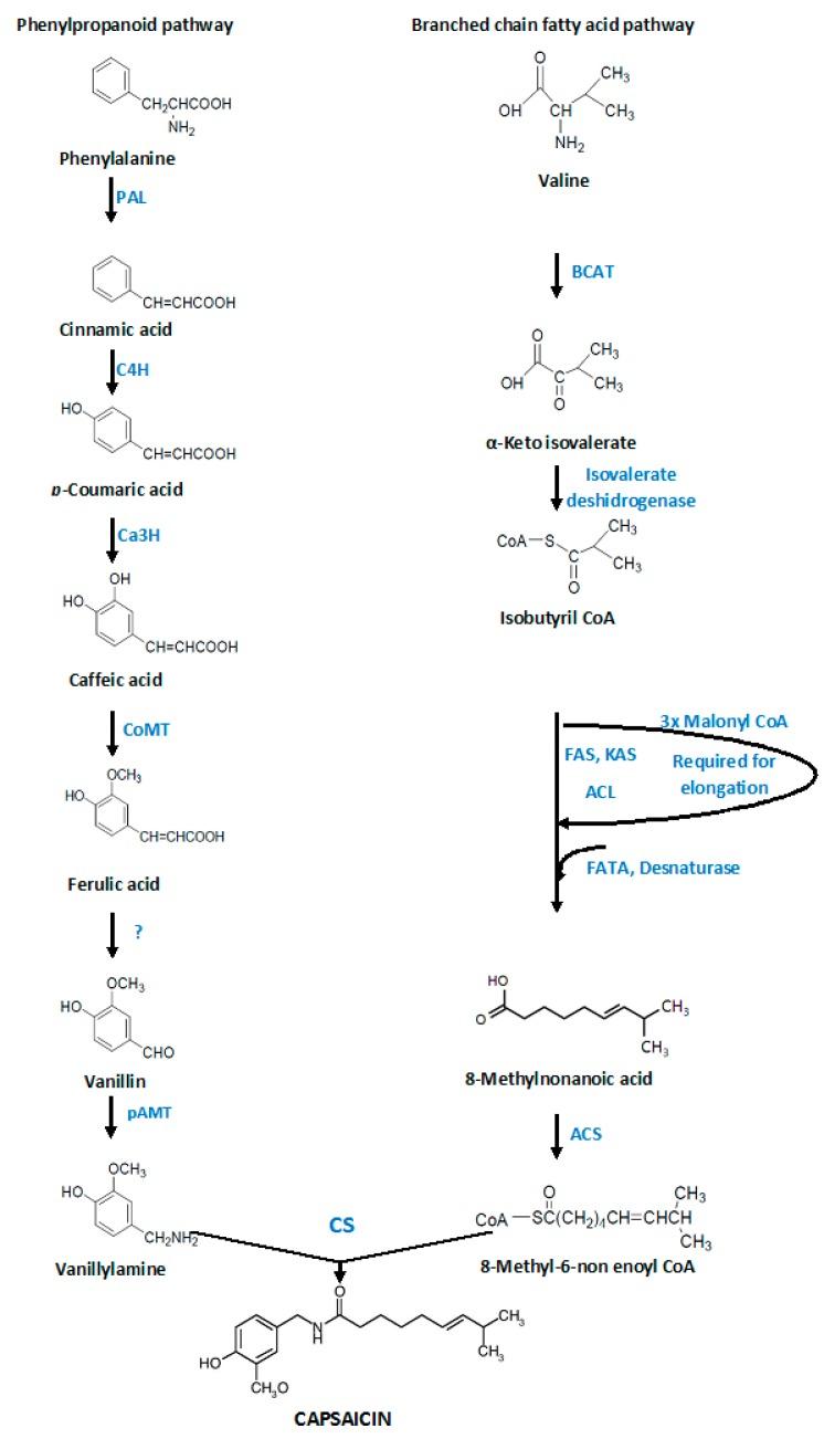
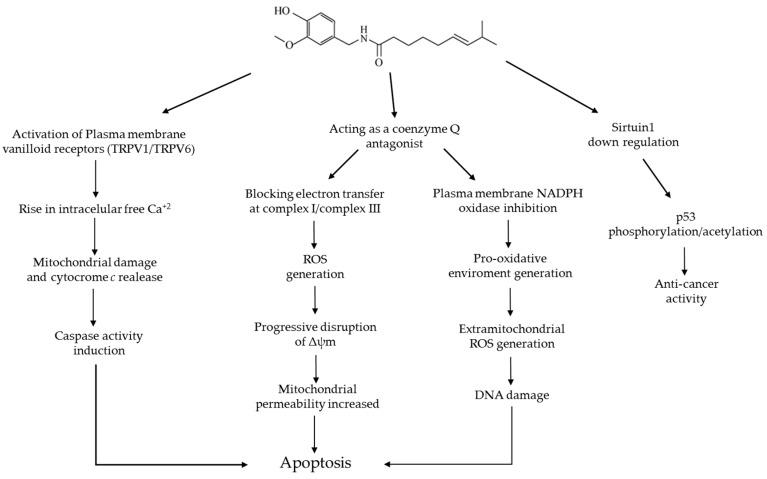
Capsaicinoids are plant secondary metabolites, capsaicin being the principal responsible for the pungency of chili peppers. It is biosynthesized through two pathways involved in phenylpropanoid and fatty acid metabolism. Plant capsaicin concentration is mainly affected by genetic, environmental and crop management factors. However, its synthesis can be enhanced by the use of elicitors. Capsaicin is employed as food additive and in pharmaceutical applications. Additionally, it has been found that capsaicin can act as a cancer preventive agent and shows wide applications against various types of cancer. This review is an approach in contextualizing the use of controlled stress on the plant to increase the content of capsaicin, highlighting its synthesis and its potential use as anticancer agent.

摘要

辣椒素类物质是植物的次生代谢产物,辣椒素是导致辣椒产生辛辣味的主要成分。它通过参与苯丙烷类和脂肪酸代谢的两条途径进行生物合成。植物中辣椒素的浓度主要受遗传、环境和作物管理因素的影响。然而,使用诱导子可以提高其合成量。辣椒素被用作食品添加剂和用于制药领域。此外,人们发现辣椒素可以作为一种癌症预防剂,在对抗各种类型的癌症方面有广泛应用。本综述旨在探讨如何利用对植物施加可控胁迫来提高辣椒素含量,重点介绍其合成过程以及作为抗癌剂的潜在用途。

https://cdn.ncbi.nlm.nih.gov/pmc/blobs/7ad2/6274000/0b3555346e45/molecules-21-00931-g001.jpg

文献AI研究员

20分钟写一篇综述,助力文献阅读效率提升50倍。

立即体验

用中文搜PubMed

大模型驱动的PubMed中文搜索引擎

马上搜索

文档翻译

学术文献翻译模型,支持多种主流文档格式。

立即体验